Application of Absorption and Scattering Properties Obtained through Image Pre-Classification Method Using a Laser Backscattering Imaging System to Detect Kiwifruit Chilling Injury
Abstract
:1. Introduction
2. Materials and Methods
2.1. Fruit Materials
2.2. LBI Image Capture
2.3. Kiwifruit Quality Assessment
2.4. Kiwifruit CI Assessment
2.5. LBI Profile Analysis
2.6. Liquid Phantoms and Pre-Classification Model
2.7. Data Analysis
3. Results and Discussion
3.1. Pre-Classification Model
3.2. Kiwifruit Segregation
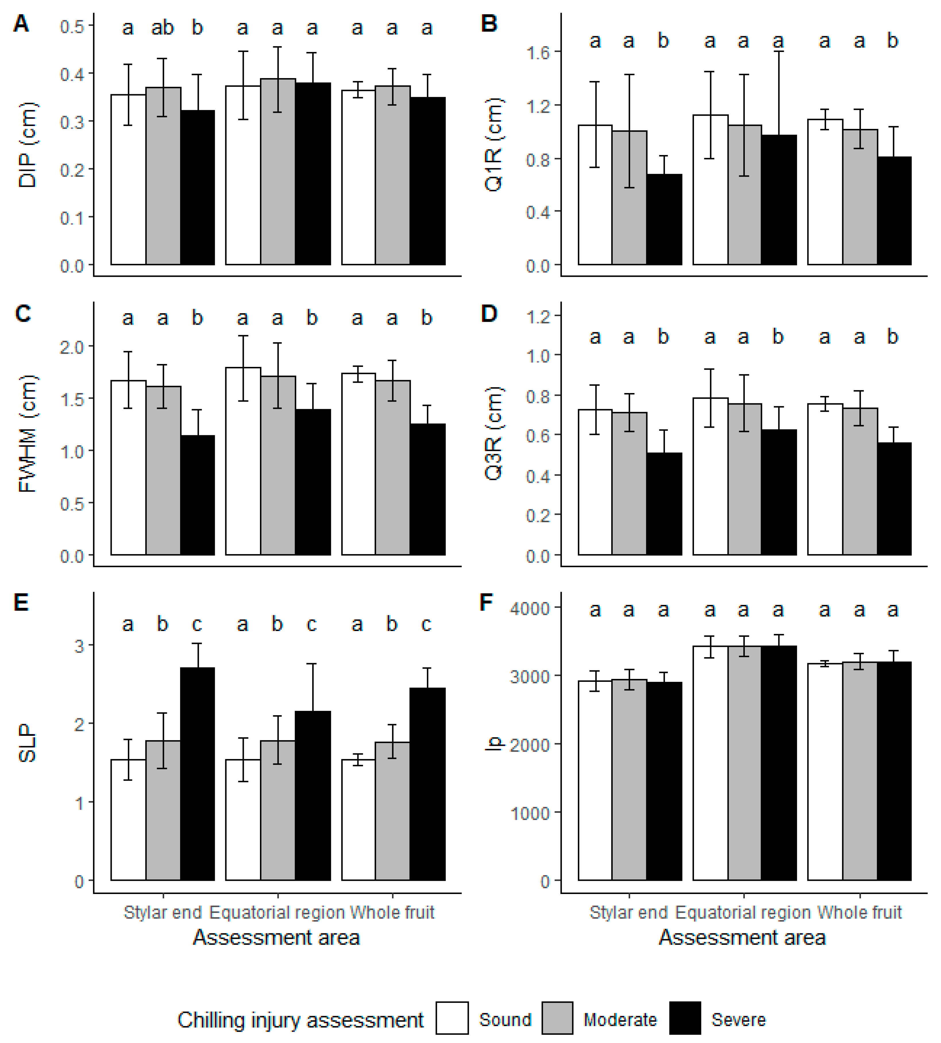
3.2.1. Kiwifruit LBI Profiles
3.2.2. Kiwifruit LBI Optical Properties
3.2.3. Segregation of Kiwifruit CI Severity
4. Conclusions
Author Contributions
Funding
Acknowledgments
Conflicts of Interest
References
- Parkin, K.L.; Marangoni, A.; Jackman, R.L.; Yada, R.Y.; Stanley, D.W. Chilling Injury. A Review of Possible Mechanisms. J. Food Biochem. 1989, 13, 127–153. [Google Scholar] [CrossRef]
- Burdon, J.; Lallu, N. Kiwifruit (Actinidia spp.). In Postharvest Biology and Technology of Tropical and Subtropical Fruits; Elsevier: Amsterdam, The Netherlands, 2011; pp. 326–362. ISBN 978-1-84569-735-8. [Google Scholar]
- Burdon, J.; Wohlers, M.; Pidakala, P.; Laurie, T.; Punter, M.; Billing, D. The Potential for Commonly Measured At-Harvest Fruit Characteristics to Predict Chilling Susceptibility of ‘Hort16A’ Kiwifruit. Postharvest Biol. Technol. 2014, 94, 41–48. [Google Scholar] [CrossRef]
- Zhao, J.M.; Bronlund, J.E.; East, A.R. Effect of Cooling Rate on Kiwifruit Firmness and Rot Incidence in Subsequent Storage. Acta Hortic. 2015, 1079, 313–318. [Google Scholar] [CrossRef]
- Gwanpua, S.G.; Jabbar, A.; Zhao, M.; Heyes, J.A.; East, A.R. Investigating the Potential of Dual Temperature Storage as a Postharvest Management Practice to Mitigate Chilling Injury in Kiwifruit. Int. J. Refrig. 2018, 86, 62–72. [Google Scholar] [CrossRef]
- Jabbar, A.; East, A.R. Quantifying the Ethylene Induced Softening and Low Temperature Breakdown of ‘Hayward’ Kiwifruit in Storage. Postharvest Biol. Technol. 2016, 113, 87–94. [Google Scholar] [CrossRef]
- Kader, A.A. Postharvest Technology of Horticultural Crops, 3rd ed.; University of California Agriculture and Natural Resources: Davis, CA, USA, 2002; Volume 3311. [Google Scholar]
- Wang, C.Y. Chilling Injury of Tropical Horticultural Commodities. HortScience 1994, 29, 986–988. [Google Scholar] [CrossRef] [Green Version]
- Haishi, T.; Koizumi, H.; Arai, T.; Koizumi, M.; Kano, H. Rapid Detection of Infestation of Apple Fruits by the Peach Fruit Moth, Carposina Sasakii Matsumura, Larvae Using a 0.2-T Dedicated Magnetic Resonance Imaging Apparatus. Appl. Magn. Reson. 2011, 41, 1–18. [Google Scholar] [CrossRef] [PubMed] [Green Version]
- McCarthy, M.J.; Zion, B.; Chen, P.; Ablett, S.; Darke, A.H.; Lillford, P.J. Diamagnetic Susceptibility Changes in Apple Tissue after Bruising. J. Sci. Food Agric. 1995, 67, 13–20. [Google Scholar] [CrossRef]
- Barreiro, P.; Moya, A.; Correa, E.; Ruiz-Altisent, M.; Fernández-Valle, M.; Peirs, A.; Wright, K.M.; Hills, B.P. Prospects for the Rapid Detection of Mealiness in Apples by Nondestructive NMR Relaxometry. Appl. Magn. Reson. 2002, 22, 387–400. [Google Scholar] [CrossRef] [Green Version]
- Shahin, M.A.; Tollner, E.W.; McClendon, R.W.; Arabnia, H.R. Apple Classification Based on Surface Bruises Using Image Processing and Neural Networks. Trans. Am. Soc. Agric. Eng. 2002, 45, 1619–1627. [Google Scholar]
- Kim, S.; Schatzki, T.F. Apple Watercore Sorting System Using X-Ray Imagery: I. Algorithm Development. Trans. Am. Soc. Agric. Eng. 2000, 43, 1695–1702. [Google Scholar] [CrossRef]
- Varith, J.; Hyde, G.M.; Baritelle, A.L.; Fellman, J.K.; Sattabongkot, T. Non-Contact Bruise Detection in Apples by Thermal Imaging. Innov. Food Sci. Emerg. Technol. 2003, 4, 211–218. [Google Scholar] [CrossRef]
- Walsh, K.B.; Blasco, J.; Zude-Sasse, M.; Sun, X. Visible-NIR ‘Point’ Spectroscopy in Postharvest Fruit and Vegetable Assessment: The Science behind Three Decades of Commercial Use. Postharvest Biol. Technol. 2020, 168, 111246. [Google Scholar] [CrossRef]
- Wang, Z.; Künnemeyer, R.; McGlone, A.; Burdon, J. Potential of Vis-NIR Spectroscopy for Detection of Chilling Injury in Kiwifruit. Postharvest Biol. Technol. 2020, 164, 111160. [Google Scholar] [CrossRef]
- Kemsley, E.K.; Tapp, H.S.; Binns, R.; Mackin, R.O.; Peyton, A.J. Feasibility Study of NIR Diffuse Optical Tomography on Agricultural Produce. Postharvest Biol. Technol. 2008, 48, 223–230. [Google Scholar] [CrossRef]
- Lu, R.; Van Beers, R.; Saeys, W.; Li, C.; Cen, H. Measurement of Optical Properties of Fruits and Vegetables: A Review. Postharvest Biol. Technol. 2020, 159, 111003. [Google Scholar] [CrossRef]
- Cen, H.; Lu, R.; Zhu, Q.; Mendoza, F. Nondestructive Detection of Chilling Injury in Cucumber Fruit Using Hyperspectral Imaging with Feature Selection and Supervised Classification. Postharvest Biol. Technol. 2016, 111, 352–361. [Google Scholar] [CrossRef]
- ElMasry, G.; Wang, N.; Vigneault, C. Detecting Chilling Injury in Red Delicious Apple Using Hyperspectral Imaging and Neural Networks. Postharvest Biol. Technol. 2009, 52, 1–8. [Google Scholar] [CrossRef]
- Li, M.; Pullanagari, R.R.; Pranamornkith, T.; Yule, I.J.; East, A.R. Quantitative Prediction of Post Storage ‘Hayward’ Kiwifruit Attributes Using at Harvest Vis-NIR Spectroscopy. J. Food Eng. 2017, 202, 46–55. [Google Scholar] [CrossRef]
- Farrell, T.J.; Patterson, M.S.; Wilson, B. A Diffusion Theory Model of Spatially Resolved, Steady-State Diffuse Reflectance for the Noninvasive Determination of Tissue Optical Properties in Vivo. Med. Phys. 1992, 19, 879–888. [Google Scholar] [CrossRef]
- Hashim, N.; Pflanz, M.; Regen, C.; Janius, R.B.; Abdul Rahman, R.; Osman, A.; Shitan, M.; Zude, M. An Approach for Monitoring the Chilling Injury Appearance in Bananas by Means of Backscattering Imaging. J. Food Eng. 2013, 116, 28–36. [Google Scholar] [CrossRef]
- Lu, R.; Peng, Y. Assessing Peach Firmness by Multi-Spectral Scattering. J. Near Infrared Spectrosc. 2005, 13, 27–35. [Google Scholar] [CrossRef]
- Van Beers, R.; Aernouts, B.; León Gutiérrez, L.; Erkinbaev, C.; Rutten, K.; Schenk, A.; Nicolaï, B.; Saeys, W. Optimal Illumination-Detection Distance and Detector Size for Predicting Braeburn Apple Maturity from Vis/NIR Laser Reflectance Measurements. Food Bioprocess Technol. 2015, 8, 2123–2136. [Google Scholar] [CrossRef] [Green Version]
- Peng, Y.; Lu, R. Improving Apple Fruit Firmness Predictions by Effective Correction of Multispectral Scattering Images. Postharvest Biol. Technol. 2006, 41, 266–274. [Google Scholar] [CrossRef]
- Baranyai, L.; Zude, M. Analysis of Laser Light Migration in Apple Tissue by Monte Carlo Simulation. Prog. Agric. Eng. Sci. 2008, 4, 45–59. [Google Scholar] [CrossRef]
- Zude-Sasse, M.; Hashim, N.; Hass, R.; Polley, N.; Regen, C. Validation Study for Measuring Absorption and Reduced Scattering Coefficients by Means of Laser-Induced Backscattering Imaging. Postharvest Biol. Technol. 2019, 153, 161–168. [Google Scholar] [CrossRef]
- Aernouts, B.; Erkinbaev, C.; Watté, R.; Van Beers, R.; Do Trong, N.N.; Nicolai, B.; Saeys, W. Estimation of Bulk Optical Properties of Turbid Media from Hyperspectral Scatter Imaging Measurements: Metamodeling Approach. Opt. Express 2015, 23, 26049. [Google Scholar] [CrossRef] [PubMed]
- Watté, R.; Aernouts, B.; Beers, R.V.; Saeys, W. Robust Metamodel-Based Inverse Estimation of Bulk Optical Properties of Turbid Media from Spatially Resolved Diffuse Reflectance Measurements. Opt. Express 2015, 23, 27880–27898. [Google Scholar] [CrossRef] [Green Version]
- Yang, Z.; Baranyai, L.; Li, M.; East, A.; Regen, C.; Zude-Sasse, M. Absorption and Reduced Scattering Coefficients of Kiwifruit. Presented at the International Symposium on Precision Management of Orchards and Vineyards, Palermo, Italy, 7–11 October 2019. [Google Scholar]
- Olatunji, J.R.; Love, R.J.; Shim, Y.M.; East, A.R. A Shape Equation for Hayward Kiwifruit. Int. J. Food Prop. 2019, 22, 371–382. [Google Scholar] [CrossRef] [Green Version]
- Adebayo, S.E.; Hashim, N.; Hass, R.; Reich, O.; Regen, C.; Münzberg, M.; Abdan, K.; Hanafi, M.; Zude-Sasse, M. Using Absorption and Reduced Scattering Coefficients for Non-Destructive Analyses of Fruit Flesh Firmness and Soluble Solids Content in Pear (Pyrus Communis ‘Conference’)—An Update When Using Diffusion Theory. Postharvest Biol. Technol. 2017, 130, 56–63. [Google Scholar] [CrossRef]
- Aernouts, B.; Zamora-Rojas, E.; Beers, R.V.; Watté, R.; Wang, L.; Tsuta, M.; Lammertyn, J.; Saeys, W. Supercontinuum Laser Based Optical Characterization of Intralipid® Phantoms in the 500-2250 Nm Range. Opt. Express 2013, 21, 32450–32467. [Google Scholar] [CrossRef]
- Cubeddu, R.; Musolino, M.; Pifferi, A.; Taroni, P.; Valentini, G. Time-Resolved Reflectance: A Systematic Study for Application to the Optical Characterization of Tissues. IEEE J. Quantum Electron. 1994, 30, 2421–2430. [Google Scholar] [CrossRef]
- Qin, J.; Lu, R. Measurement of the Optical Properties of Fruits and Vegetables Using Spatially Resolved Hyperspectral Diffuse Reflectance Imaging Technique. Postharvest Biol. Technol. 2008, 49, 355–365. [Google Scholar] [CrossRef]
- Bauchot, A.D.; Hallett, I.C.; Redgwell, R.J.; Lallu, N. Cell Wall Properties of Kiwifruit Affected by Low Temperature Breakdown. Postharvest Biol. Technol. 1999, 16, 245–255. [Google Scholar] [CrossRef]
- Wang, Z.; Künnemeyer, R.; McGlone, A.; Sun, J.; Burdon, J. Comparison of a Dual-Laser and a Vis-NIR Spectroscopy System for Detection of Chilling Injury in Kiwifruit. Postharvest Biol. Technol. 2021, 175, 111418. [Google Scholar] [CrossRef]
- Liu, D.; Guo, W.; Li, Q.; Xie, D. Effect of a Plant Growth Regulator on Optical Properties of Kiwifruit during Growth in Wavelength Range of 950-1650 Nm. Postharvest Biol. Technol. 2019, 156, 110918. [Google Scholar] [CrossRef]
- Cubeddu, R.; D’Andrea, C.; Pifferi, A.; Taroni, P.; Torricelli, A.; Valentini, G.; Dover, C.; Johnson, D.; Ruiz-Altisent, M.; Valero, C. Nondestructive Quantification of Chemical and Physical Properties of Fruits by Time-Resolved Reflectance Spectroscopy in the Wavelength Range 650–1000 Nm. Appl. Opt. 2001, 40, 538–543. [Google Scholar] [CrossRef] [Green Version]
- Fang, Z.; Fu, X.; He, X. Investigation of Absorption and Scattering Characteristics of Kiwifruit Tissue Using a Single Integrating Sphere System. J. Zhejiang Univ. Sci. B 2016, 17, 484–492. [Google Scholar] [CrossRef] [PubMed] [Green Version]
- Tu, K.; Baerdemaeker, J.D.; Deltour, R.; Barsy, T.D. Monitoring Post-Harvest Quality of Granny Smith Apple under Simulated Shelf-Life Conditions: Destructive, Non-Destructive and Analytical Measurements. Int. J. Food Sci. Technol. 1996, 31, 267–276. [Google Scholar] [CrossRef]








| µs’* | Range | µs’ (µa* = 0) | µs’ (Open Range) | µs’ (with Pre-Classification) |
|---|---|---|---|---|
| 1.86 | 0.1–2.5 | 1.41 | 3.39 | 1.11 |
| 3.10 | 2.6–3.6 | 1.56 | 3.93 | 2.61 |
| 4.34 | 3.7–4.8 | 1.73 | 4.26 | 3.57 |
| 5.59 | 4.9–6.5 | 1.90 | 4.31 | 4.36 |
| LBI | Open-Range | Pre-Classification | |
|---|---|---|---|
| µs’ (cm−1) | 87.5 | 39.3 | 91.5 |
| µa (cm−1) | 65.6 | 75.0 | 65.6 |
| CI Assessment | SunGold™ | Hayward | ||||
|---|---|---|---|---|---|---|
| n | FF (kgf) 1 | SSC (%) | n | FF (kgf) | SSC (%) | |
| Sound | 320 | 0.88a | 15.79a | 137 | 1.21a | 15.25a |
| Moderate | 64 | 0.76b | 14.22b | 179 | 0.97b | 15.01b |
| Severe | 12 | 0.74b | 12.23c | 84 | 0.57c | 14.61c |
| LBI Parameter | µa and µs’ | |||||
|---|---|---|---|---|---|---|
| Sound | Moderate | Severe | Sound | Moderate | Severe | |
| ‘SunGold™’ (n = 36) | ||||||
| Stylar end | 82 | 71 | 94 | 100 | 0 | 76 |
| Equatorial region | 82 | 53 | 82 | 100 | 0 | 18 |
| Whole fruit | 83 | 75 | 92 | 100 | 0 | 75 |
| ‘Hayward’ (n = 252) | ||||||
| Stylar end | 49 | 47 | 61 | 76 | 43 | 1 |
| Equatorial region | 46 | 42 | 57 | 95 | 8 | 12 |
| Whole fruit | 52 | 36 | 58 | 70 | 21 | 35 |
| Sound-Moderate | Severe | F1 Score | |
|---|---|---|---|
| ‘SunGold™’ | n = 384 | n = 12 | |
| LBI parameters | 98 | 92 | 0.73 |
| µa and µs’ | 99 | 75 | 0.72 |
| ‘Hayward’ | n = 316 | n = 84 | |
| LBI parameters | 97 | 39 | 0.53 |
| µa and µs’ | 100 | 5 | 0.09 |
Publisher’s Note: MDPI stays neutral with regard to jurisdictional claims in published maps and institutional affiliations. |
© 2021 by the authors. Licensee MDPI, Basel, Switzerland. This article is an open access article distributed under the terms and conditions of the Creative Commons Attribution (CC BY) license (https://creativecommons.org/licenses/by/4.0/).
Share and Cite
Yang, Z.; Li, M.; East, A.R.; Zude-Sasse, M. Application of Absorption and Scattering Properties Obtained through Image Pre-Classification Method Using a Laser Backscattering Imaging System to Detect Kiwifruit Chilling Injury. Foods 2021, 10, 1446. https://doi.org/10.3390/foods10071446
Yang Z, Li M, East AR, Zude-Sasse M. Application of Absorption and Scattering Properties Obtained through Image Pre-Classification Method Using a Laser Backscattering Imaging System to Detect Kiwifruit Chilling Injury. Foods. 2021; 10(7):1446. https://doi.org/10.3390/foods10071446
Chicago/Turabian StyleYang, Zhuo, Mo Li, Andrew R. East, and Manuela Zude-Sasse. 2021. "Application of Absorption and Scattering Properties Obtained through Image Pre-Classification Method Using a Laser Backscattering Imaging System to Detect Kiwifruit Chilling Injury" Foods 10, no. 7: 1446. https://doi.org/10.3390/foods10071446
APA StyleYang, Z., Li, M., East, A. R., & Zude-Sasse, M. (2021). Application of Absorption and Scattering Properties Obtained through Image Pre-Classification Method Using a Laser Backscattering Imaging System to Detect Kiwifruit Chilling Injury. Foods, 10(7), 1446. https://doi.org/10.3390/foods10071446

