Psyllium Improves the Quality and Shelf Life of Gluten-Free Bread
Abstract
1. Introduction
2. Material and Methods
2.1. Ingredients
2.2. Methods
Preparation and Storage of Gluten-Free Breads
2.3. Bread Evaluation
2.4. Statistical Analysis
3. Results and Discussion
3.1. Bread Quality
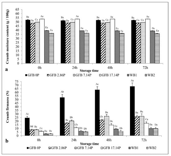
3.2. Shelf Life
3.3. Relationships between Crumb Porosity and Physical and Sensorial Properties during Storage
4. Conclusions
Author Contributions
Funding
Data Availability Statement
Acknowledgments
Conflicts of Interest
References
- El Khoury, D.; Balfour-Ducharme, S.; Joye, I.J. A review on the gluten-free diet: Technological and nutritional challenges. Nutrients 2018, 10, 1410. [Google Scholar] [CrossRef]
- Capriles, V.D.; Santos, F.G.; dos Aguiar, E.V. Innovative gluten-free breadmaking. In Trends in Wheat and Bread Making; Elsevier: Amsterdam, The Netherlands, 2020; pp. 371–404. [Google Scholar]
- Kamiński, M.; Skonieczna-Żydecka, K.; Nowak, J.K.; Stachowska, E. Global and local diet popularity rankings, their secular trends, and seasonal variation in Google Trends data. Nutrition 2020, 79–80, 110759. [Google Scholar] [CrossRef] [PubMed]
- Laszkowska, M.; Shiwani, H.; Belluz, J.; Ludvigsson, J.F.; Green, P.H.; Sheehan, D.; Rundle, A.; Lebwohl, B. Socioeconomic vs. Health-related Factors Associated With Google Searches for Gluten-Free Diet. Clin. Gastroenterol. Hepatol. 2018, 16, 295–297. [Google Scholar] [CrossRef] [PubMed]
- Melini, V.; Melini, F. Strategies to extend bread and GF bread shelf-life: From Sourdough to antimicrobial active packaging and nanotechnology. Fermentation 2018, 4, 5–10. [Google Scholar]
- Santos, F.G.; Fratelli, C.; Muniz, D.G.; Capriles, V.D. Mixture Design Applied to the Development of Chickpea-Based Gluten-Free Bread with Attractive Technological, Sensory, and Nutritional Quality. J. Food Sci. 2018, 83, 188–197. [Google Scholar] [CrossRef]
- Cappelli, A.; Canessa, J.; Cini, E. Effects of CO2 snow addition during kneading on thermoregulation, dough rheological properties, and bread characteristics: A focus on ancient and modern wheat cultivars. Int. J. Refrig. 2020, 117, 52–60. [Google Scholar] [CrossRef]
- Cappelli, A.; Bettaccini, L.; Cini, E. The kneading process: A systematic review of the effects on dough rheology and resulting bread characteristics, including improvement strategies. Trends Food Sci. Technol. 2020, 104, 91–101. [Google Scholar] [CrossRef]
- Cappelli, A.; Oliva, N.; Cini, E. A systematic review of gluten-free dough and bread: Dough rheology, bread characteristics, and improvement strategies. Appl Sci. 2020, 10, 6559. [Google Scholar] [CrossRef]
- Masure, H.G.; Wouters, A.G.B.; Fierens, E.; Delcour, J.A. Impact of egg white and soy proteins on structure formation and crumb firming in gluten-free breads. Food Hydrocoll. 2019, 95, 406–417. [Google Scholar] [CrossRef]
- Cappelli, A.; Oliva, N.; Bonaccorsi, G.; Lorini, C.; Cini, E. Assessment of the rheological properties and bread characteristics obtained by innovative protein sources (Cicer arietinum, Acheta domesticus, Tenebrio molitor): Novel food or potential improvers for wheat flour? LWT 2020, 118, 108867. [Google Scholar] [CrossRef]
- Crockett, R.; Ie, P.; Vodovotz, Y. Effects of soy protein isolate and egg white solids on the physicochemical properties of gluten-free bread. Food Chem. 2011, 129, 84–91. [Google Scholar] [CrossRef]
- Cappelli, A.; Cini, E. Challenges and opportunities in wheat flour, pasta, bread, and bakery product production chains: A systematic review of innovations and improvement strategies to increase sustainability, productivity, and product quality. Sustainability 2021, 13, 2608. [Google Scholar] [CrossRef]
- Capriles, V.D.; Arêas, J.A.G. Approaches to reduce the glycemic response of gluten-free products: In vivo and in vitro studies. Food Funct. 2016, 7, 1266–1272. [Google Scholar] [CrossRef]
- Bender, D.; Schönlechner, R. Innovative approaches towards improved gluten-free bread properties. J. Cereal Sci. 2020, 91. [Google Scholar] [CrossRef]
- Franco, E.A.N.; Sanches-Silva, A.; Ribeiro-Santos, R.; de Melo, N.R. Psyllium (Plantago ovata Forsk): From evidence of health benefits to its food application. Trends Food Sci. Technol. 2020, 96, 166–175. [Google Scholar] [CrossRef]
- Fratelli, C.; Muniz, D.G.; Santos, F.G.; Capriles, V.D. Modelling the effects of psyllium and water in gluten-free bread: An approach to improve the bread quality and glycemic response. J. Funct. Foods 2018, 42, 339–345. [Google Scholar] [CrossRef]
- Mancebo, C.M.; San Miguel, M.Á.; Martínez, M.M.; Gómez, M. Optimisation of rheological properties of gluten-free doughs with HPMC, psyllium and different levels of water. J. Cereal Sci. 2015, 61, 8–15. [Google Scholar] [CrossRef]
- Ziemichód, A.; Wójcik, M.; Różyło, R. Seeds of Plantago psyllium and Plantago ovata: Mineral composition, grinding, and use for gluten-free bread as substitutes for hydrocolloids. J. Food Process Eng. 2019, 42, 1–9. [Google Scholar] [CrossRef]
- Santos, F.G.; Aguiar, E.V.; Centeno, A.C.L.S.; Rosell, C.M.; Capriles, V.D. Effect of added psyllium and food enzymes on quality attributes and shelf life of chickpea-based gluten-free bread. LWT 2020, 134, 110025. [Google Scholar] [CrossRef]
- Santos, F.G.; dos Fratelli, C.; Alencar, N.M.M.; Capriles, V.D. Modelling the effects of psyllium and water on dough parameters using Mixolab® and their relationship with physical properties and acceptability of gluten-free bread. Res. Soc. Dev. 2020, 9, 1–12. [Google Scholar]
- Santos, F.G.; Aguiar, E.V.; Braga, A.R.C.; Alencar, N.M.M.; Rosell, C.M.; Capriles, V.D. An integrated instrumental and sensory approach to describe the effects of chickpea flour, psyllium, and their combination at reducing gluten-free bread staling. Food Packag. Shelf Life 2021, 28, 100659. [Google Scholar] [CrossRef]
- American Association of Cereal Chemists International. Approved Methods of Analysis, 11th ed.; American Association of Cereal Chemists International: Saint Paul, MN, USA, 2010. [Google Scholar]
- Santos, F.G.; Aguiar, E.V.; Rosell, C.M.; Capriles, V.D. Potential of chickpea and psyllium in gluten-free breadmaking: Assessing bread’s quality, sensory acceptability, and glycemic and satiety indexes. Food Hydrocoll. 2021, 113, 106487. [Google Scholar] [CrossRef]
- Capriles, V.D.; Arêas, J.A.G. Effects of prebiotic inulin-type fructans on structure, quality, sensory acceptance and glycemic response of gluten-free breads. Food Funct. 2013, 4, 104–110. [Google Scholar] [CrossRef]
- Health Ministry Brazil. Law N° 12 of January 2nd; Health Ministry Brazil: Brasilia, Brazil, 2001. [Google Scholar]
- Kornachi, J.L.; Johnson, J.L. Compendium of Methods for the Microbiological Examination of Foods, 4th ed.; APHA: Washington, DC, USA, 2001; pp. 9–81. [Google Scholar]
- Andrews, W.H.; Wang, H.; Jacobson, A.; Ge, B.; Zhang, G.; Hammack, T. Bacteriological Analytical Manual (BAM). 2018. Available online: https://www.fda.gov/Food/FoodScienceResearch/LaboratoryMethods/ucm070149.htm (accessed on 20 March 2021).
- Beuchat, L.R.; Cousin, M.A. Yeasts and molds. In Compendium of Methods for the Microbiological Examination of Foods; Downes, F.P., Ito, K., Eds.; APHA: Washington, DC, USA, 2001. [Google Scholar]
- Villanueva, N.D.M.; Petenate, A.J.; Da Silva, M.A.A.P. Performance of the hybrid hedonic scale as compared to the traditional hedonic, self-adjusting and ranking scales. Food Qual. Prefer. 2005, 16, 691–703. [Google Scholar] [CrossRef]
- Fadda, C.; Sanguinetti, A.M.; Del Caro, A.; Collar, C.; Piga, A. Bread Staling: Updating the View. Compr. Rev. Food Sci. Food Saf. 2014, 13, 473–492. [Google Scholar] [CrossRef]
- Cappa, C.; Lucisano, M.; Mariotti, M. Influence of Psyllium, sugar beet fibre and water on gluten-free dough properties and bread quality. Carbohydr. Polym. 2013, 98, 1657–1666. [Google Scholar] [CrossRef] [PubMed]
- Föste, M.; Verheyen, C.; Jekle, M.; Becker, T. Fibres of milling and fruit processing by-products in gluten-free bread making: A review of hydration properties, dough formation and quality-improving strategies. Food Chem. 2020, 306, 125451. [Google Scholar] [CrossRef]
- Conte, P.; Fadda, C.; Drabińska, N.; Krupa-Kozak, U. Technological and nutritional challenges, and novelty in gluten-free breadmaking: A review. Pol. J. Food Nutr. Sci. 2019, 69, 5–21. [Google Scholar] [CrossRef]
- Capriles, V.D.; Arêas, J.A.G. Novel approaches in gluten-free breadmaking: Interface between food science, nutrition, and health. Compr. Rev. Food Sci. Food Saf. 2014, 13, 871–890. [Google Scholar] [CrossRef]
- Roman, L.; Belorio, M.; Gomez, M. Gluten-Free Breads: The Gap Between Research and Commercial Reality. Compr. Rev. Food Sci. Food Saf. 2019, 18, 690–702. [Google Scholar] [CrossRef]





| Gluten-Free Bread † | Wheat Bread ‡ | |||||
|---|---|---|---|---|---|---|
| GFB0P | GFB2.86P | GFB7.14P | GFB17.14P | WB1 | WB2 | |
| Specific volume (cm3/g) § | 1.41 c ± 0.02 | 2.15 b ± 0.12 | 2.06 b ± 0.04 | 2.08 b ± 0.05 | 2.73 a ± 0.10 | 2.84 a ± 0.08 |
| Height/width ratio § | 0.67 c ± 0.01 | 0.90 d ± 0.01 | 0.91 d ± 0.04 | 1.00 c ± 0.02 | 1.29 a ± 0.01 | 1.11 b ± 0.01 |
| Crumb grain § | ||||||
| Number of cells | 43.50 c ± 0.71 | 72.00 c ± 2.83 | 132.50 b ± 14.85 | 160.50 ab ± 13.44 | 172.00 a ± 9.90 | 150.50 ab ± 4.95 |
| Average size (mm2) | 0.17 ab ± 0.02 | 0.22 a ± 0.04 | 0.13 b ± 0.01 | 0.12 b ± 0.01 | 0.14 b ± 0.02 | 0.14 ab ± 0.01 |
| Cell area (%) | 11.43 c ± 1.44 | 25.50 b ± 5.53 | 26.87 ab ± 1.13 | 30.83 ab ± 0.24 | 37.45 a ± 3.37 | 34.06 ab ± 0.64 |
| Crumb firmness (N) | 24.72 a ± 2.10 | 8.27 b ± 0.89 | 8.33 b ± 0.71 | 6.12 c ± 0.58 | 2.71 d ± 0.33 | 2.71 d ± 0.43 |
| Crumb moisture (%) § | 52.46 b ± 0.62 | 48.62 d ± 0.04 | 49.73 c ± 0.06 | 53.45 a ± 0.14 | 39.63 e ± 0.23 | 36.30 f ± 0.10 |
| Acceptability scores on a 10-cm scale α | ||||||
| Aroma | 7.68 b ± 2.19 | 7.72 b ± 2.10 | 8.36 ab ± 1.97 | 8.13 ab ± 1.86 | 8.62 ab ± 1.32 | 8.75 a ± 1.54 |
| Texture | 6.96 b ± 2.38 | 7.96 ab ± 2.11 | 8.02 ab ± 1.78 | 8.17 a ± 2.34 | 8.19 a ± 1.89 | 8.80 a ± 1.41 |
| Flavor | 7.67 a ± 2.04 | 8.09 a ± 1.77 | 8.25 a ± 1.51 | 8.34 a ± 1.87 | 8.52 a ± 1.45 | 8.42 a ± 1.55 |
| Crumb Porosity | Crumb Moisture | Crumb Firmness | Aroma | Texture | Flavor | |
|---|---|---|---|---|---|---|
| Crumb porosity | 1.000 | 0.303 | 0.722 | 0.844 | 0.963 | 0.946 |
| Crumb moisture | 0.303 | 1.000 | 0.369 | 0.313 | 0.376 | 0.143 |
| Crumb firmness | 0.722 | 0.369 | 1.000 | 0.324 | 0.782 | 0.529 |
| Aroma | 0.844 | 0.313 | 0.324 | 1.000 | 0.764 | 0.886 |
| Texture | 0.963 | 0.376 | 0.782 | 0.764 | 1.000 | 0.883 |
| Flavor | 0.946 | 0.143 | 0.529 | 0.886 | 0.883 | 1.000 |
Publisher’s Note: MDPI stays neutral with regard to jurisdictional claims in published maps and institutional affiliations. |
© 2021 by the authors. Licensee MDPI, Basel, Switzerland. This article is an open access article distributed under the terms and conditions of the Creative Commons Attribution (CC BY) license (https://creativecommons.org/licenses/by/4.0/).
Share and Cite
Fratelli, C.; Santos, F.G.; Muniz, D.G.; Habu, S.; Braga, A.R.C.; Capriles, V.D. Psyllium Improves the Quality and Shelf Life of Gluten-Free Bread. Foods 2021, 10, 954. https://doi.org/10.3390/foods10050954
Fratelli C, Santos FG, Muniz DG, Habu S, Braga ARC, Capriles VD. Psyllium Improves the Quality and Shelf Life of Gluten-Free Bread. Foods. 2021; 10(5):954. https://doi.org/10.3390/foods10050954
Chicago/Turabian StyleFratelli, Camilly, Fernanda Garcia Santos, Denise Garcia Muniz, Sascha Habu, Anna Rafaela Cavalcante Braga, and Vanessa Dias Capriles. 2021. "Psyllium Improves the Quality and Shelf Life of Gluten-Free Bread" Foods 10, no. 5: 954. https://doi.org/10.3390/foods10050954
APA StyleFratelli, C., Santos, F. G., Muniz, D. G., Habu, S., Braga, A. R. C., & Capriles, V. D. (2021). Psyllium Improves the Quality and Shelf Life of Gluten-Free Bread. Foods, 10(5), 954. https://doi.org/10.3390/foods10050954

