Physicochemical, Microbiological, and Sensorial Quality Attributes of a Fermented Milk Drink (Laban) Fortified with Date Syrup (Dibs) during Cold Storage
Abstract
:1. Introduction
2. Materials and Methods
2.1. Materials
2.2. Preparation of Laban Drink
2.3. Determination of Total Soluble Solids and Water Activity
2.4. Color Analysis
2.5. Determination of pH
2.6. Chemical Composition
2.7. Total Energy
2.8. Determination of Lactose Contents
2.9. Determination of Sugar Contents
2.10. Determination of Minerals and Vitamins
2.11. Determination of Microbial Counts
2.12. Sensory Evaluation
2.13. Statistical Analysis
3. Results and Discussion
3.1. Physicochemical Composition of Raw Materials (Date Dibs and Laban)
3.2. Sensory Analysis of Laban Drink Fortified with Different Concentrations of Date Syrup
3.3. Chemical Composition of Date Syrup-Fortified Laban Drink (DSL) during Cold Storage
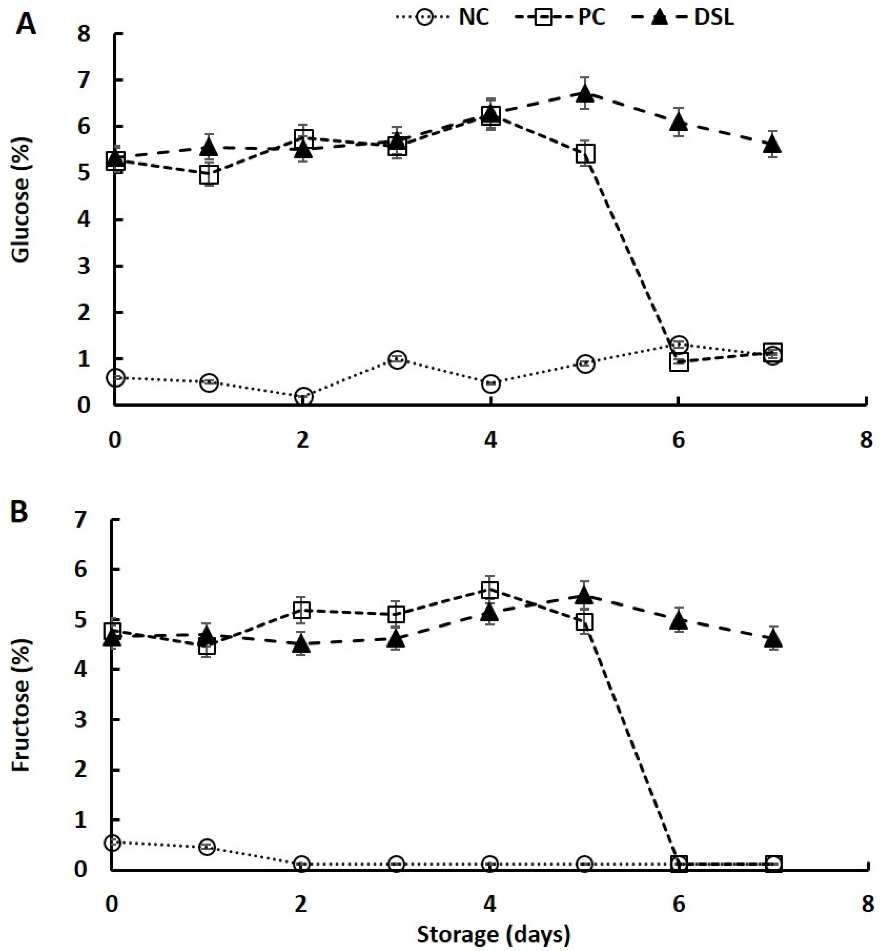
3.4. Sugar Content of Date Syrup-Fortified Laban Drink (DSL) during Cold Storage
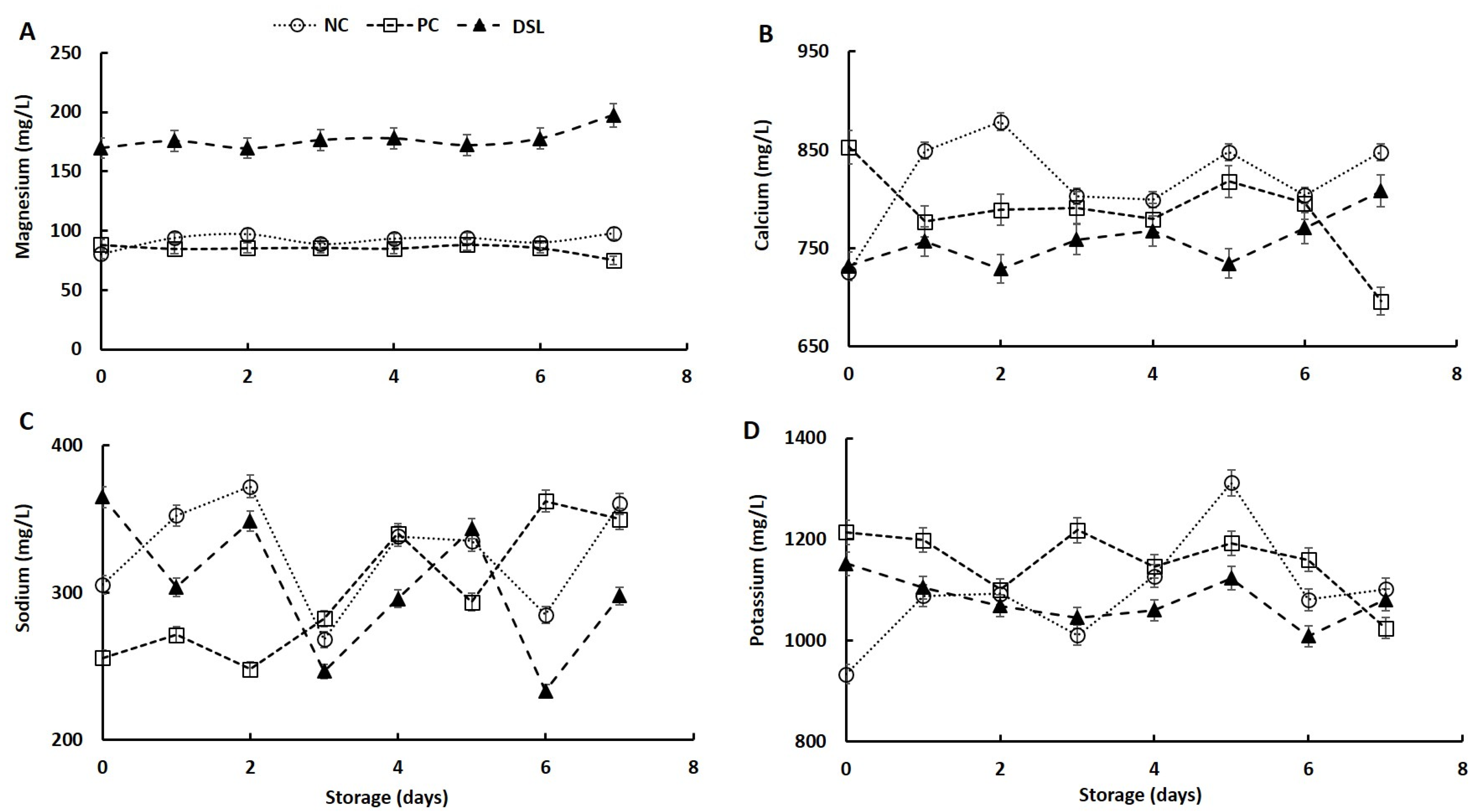
3.5. Mineral Content of Date Syrup-Fortified Laban Drink (DSL) during Cold Storage
3.6. Microbial Load of Date Syrup-Fortified Laban Drink (DSL) during Cold Storage
3.7. Sensory Evaluation of Date Syrup-Fortified Laban Drink (DSL) during Cold Storage
4. Conclusions
Author Contributions
Funding
Institutional Review Board Statement
Informed Consent Statement
Data Availability Statement
Acknowledgments
Conflicts of Interest
References
- FAOSTAT. Food and Agriculture Organization of the United Nation Data for Crops and Livestock Products; FAOSTAT: Rome, Italy, 2021. [Google Scholar]
- Mohamed, H.I.; El-Beltagi, H.S.; Jain, S.M.; Al-Khayri, J.M. Date palm (Phoenix dactylifera L.) secondary metabolites: Bioactivity and pharmaceutical potential. In Phytomedicine: A Treasure of Pharmacologically Active Products from Plants; Bhat, R.A., Hakeem, K.R., Devash, M.A., Eds.; Elsevier Inc.: Amsterdam, The Netherlands, 2021; pp. 483–531. [Google Scholar]
- Shehzad, M.; Rasheed, H.; Naqvi, S.A.; Al-Khayri, J.M.; Lorenzo, J.M.; Alaghbari, M.A.; Manzoor, M.F.; Aadil, R.M. Therapeutic potential of date palm against human infertility: A review. Metabolites 2021, 11, 408. [Google Scholar] [CrossRef] [PubMed]
- Vijayanand, P.; Kulkarni, S.G. Processing of dates into value-added products. In Dates Production, Processing, Food, and Medicinal Values; Manickavasagan, A., Mohamed, M., Essa, E., Sukumar, E., Eds.; CRC Press, Taylor & Francis Group: Boca Raton, FL, USA, 2012; pp. 255–264. [Google Scholar]
- Bouhlali, E.D.T.; Alem, C.; Benlyas, M.; Filali-Zegzouti, Y. Antioxidant and antihemolytic activities of phenolic constituents of six Moroccan date fruit (Phoenix dactylifera L.) syrups. J. Glob. Innov. Agric. Sci. 2015, 3, 63–67. [Google Scholar] [CrossRef]
- Bouhlali, E.D.T.; Derouich, M.; Meziani, R.; Bourkhis, B.; Filali-Zegzouti, Y.; Alem, C. Nutritional, mineral and organic acid composition of syrups produced from six Moroccan date fruit (Phoenix dactylifera L.) varieties. J. Food Compos. Anal. 2020, 93, 103591. [Google Scholar] [CrossRef]
- Alqaisi, O.; Ndambi, O.A.; Mohi Uddin, M.; Hemme, T. Current situation and the development of the dairy industry in Jordan, Saudi Arabia, and Syria. Trop. Anim. Health Prod. 2010, 42, 1063–1071. [Google Scholar] [CrossRef] [PubMed]
- Bin Masalam, M.S.; Bahieldin, A.; Alharbi, M.G.; Al-Masaudi, S.; Al-Jaouni, S.K.; Harakeh, S.M.; Al-Hindi, R.R. Isolation, molecular characterization and probiotic potential of lactic acid bacteria in Saudi raw and fermented milk. Evid.-Based Complement. Altern. Med. 2018, 7970463. [Google Scholar] [CrossRef] [Green Version]
- Béal, C.; Chammas, G. Production of Laban. In Handbook of Animal-Based Fermented Food and Beverage Technology, 2nd ed.; Hui, Y.H., Ed.; CRC Press, Taylor & Francis Group: Boca Raton, FL, USA, 2012; pp. 181–212. [Google Scholar]
- Yasir, M.; Bibi, F.; Hashem, A.M.; Azhar, E.I. Comparative metagenomics and characterization of antimicrobial resistance genes in pasteurized and homemade fermented Arabian laban. Food Res. Int. 2020, 137, 109639. [Google Scholar] [CrossRef]
- Speer, E.; Mixa, A. Market milk, milk drinks and cream products. In Milk and Dairy Product Technology; Marcel Dekker: New York, NY, USA, 1998; pp. 155–202. [Google Scholar]
- Goff, H.D.; Griffith, M.W. Major advances in fresh milk and milk products: Fluid milk products and frozen desserts. J. Dairy Sci. 2006, 89, 1163–1173. [Google Scholar] [CrossRef]
- Ramirez-Sucre, M.O.; Velez-Ruiz, J.F. Physicochemical, rheological and stability characterization of a caramel flavored yogurt. LWT Food Sci. Technol. 2013, 51, 233–241. [Google Scholar] [CrossRef]
- Gab-Allah, R.H.; Shehta, H.A. A new functional whey beverage, containing calcium and date syrup (dibs). Egypt. J. Nutr. 2020, 35, 53–75. [Google Scholar]
- Al-Otaibi, M.M.; Saleh, F.A.; Al-Obaid, R. Influences of sugar substitution with date syrup (dibs) on the functional properties of probiotic ice cream. Alex. Sci. Exch. J. 2015, 36, 599–615. [Google Scholar]
- Yousif, A.K.; Alghamdi, A.S.; Ahmed, A. Processing and evaluation of date juice milk drink. Egypt. J. Dairy Sci. 1996, 24, 277–288. [Google Scholar]
- Abdel-Ghany, A.S.; Zaki, D.A. Production of novel functional yoghurt fortified with bovine colostrum and date syrup for children. Alex. Sci. Exch. J. 2018, 39, 615–662. [Google Scholar] [CrossRef] [Green Version]
- Al-Jasass, F.M.; Aleid, S.M.; El-Neshwy, A.A. Utilization of Dates in the Manufacture of New Probiotic Dairy Food; First Annual Report, Project No. PR3; Date Palm Research Center, King Faisal University: AlAhsa, Saudi Arabia, 2010. [Google Scholar]
- ISO 18787. Foodstuff-Determination of Water Activity; International Organization for Standardization: Geneva, Switzerland, 2017. [Google Scholar]
- Alhamdan, A.; Hassan, B.; Alkahtani, H.; Abdelkarim, D.; Younis, M. Freezing of fresh Barhi dates for quality preservation during frozen storage. Saudi J. Biol. Sci. 2018, 25, 1552–1561. [Google Scholar] [CrossRef] [PubMed] [Green Version]
- AOAC. Official Methods of Analysis, 17th ed.; Association of Official Analytical Chemists: Gaithersburg, MD, USA, 2000. [Google Scholar]
- AOAC. Official Methods of Analysis, 18th ed.; 1st Revision; AOAC International: Gaithersburg, MD, USA, 2005. [Google Scholar]
- Teles, F.F.; Young, C.K.; Stull, J.W. A method for rapid determination of lactose. J. Dairy Sci. 1978, 61, 506–508. [Google Scholar] [CrossRef]
- Singh, M.; Yadav, P.; Garg, V.K.; Sharma, A.; Singh, B.; Sharma, H. Quantification of minerals and trace elements in raw caprine milk using flame atomic absorption spectrophotometry and flame photometry. J. Food Sci. Technol. 2015, 52, 5299–5304. [Google Scholar] [CrossRef] [Green Version]
- Kadioglu, Y.; Demirkaya, F.; Demirkaya, A.K. Quantitative determination of underivatized α-tocopherol in cow milk, vitamin and multivitamin drugs by GC-FID. Chromatographia 2009, 70, 665–670. [Google Scholar] [CrossRef]
- Kunadu, A.P.-H.; Holmes, M.; Miller, E.L.; Grant, A.J. Microbiological quality and antimicrobial resistance characterization of Salmonella spp. in fresh milk value chains in Ghana. Int. J. Food Microbiol. 2018, 277, 41–49. [Google Scholar]
- Musaiger, A.O.; Al-Saad, J.A.; Al-Hooti, D.S.; Khunji, Z.A. Chemical composition of fermented dairy products consumed in Bahrain. Food Chem. 1998, 61, 49–52. [Google Scholar] [CrossRef]
- Roger, P.; Eric, B.; Elie, F.; Germain, K.; Michel, P.; Joëlle, L.; Frédéric, G. Composition of raw cow milk and artisanal yoghurt collected in Maroua (Cameroon). Afr. J. Biotechnol. 2013, 12, 6866–6875. [Google Scholar]
- Ortiz-Rivera, Y.; Sánchez-Vega, R.; Gutiérrez-Méndez, N.; León-Félix, J.; Acosta-Muñiz, C.; Sepulveda, D.R. Production of reuterin in a fermented milk product by Lactobacillus reuteri: Inhibition of pathogens, spoilage microorganisms, and lactic acid bacteria. J. Dairy Sci. 2017, 100, 4258–4268. [Google Scholar] [CrossRef] [Green Version]
- Sani, A.M.; Rahbar, M.; Sheikhzadeh, M. Traditional beverages in different countries: Milk-based beverages. Milk Based Beverages 2019, 9, 239–272. [Google Scholar]
- Ashraf, Z.; Hamidi-Esfahani, Z. Date and date processing: A review. Food Rev. Int. 2011, 27, 101–133. [Google Scholar] [CrossRef]
- Abbès, F.; Kchaou, W.; Blecker, C.; Ongena, M.; Lognay, G.; Attia, H.; Besbes, S. Effect of processing conditions on phenolic compounds and antioxidant properties of date syrup. Ind. Crops Prod. 2013, 44, 634–642. [Google Scholar] [CrossRef]
- El-Nagga, E.A.; El-Tawab, Y.A. Compositional characteristics of date syrup extracted by different methods in some fermented dairy products. Ann. Agric. Sci. 2012, 57, 29–36. [Google Scholar] [CrossRef] [Green Version]
- Hariri, A.; Ouis, N.; Ibri, K.; Bouhadi, D.; Benatouche, Z. Technological characteristics of fermented milk product manufactured by milk-dates mixtures. Acta Agric. Serbica 2020, 25, 27–35. [Google Scholar] [CrossRef]
- Tawfek, M.A.; Baker, E.A.; El-Sayed, H.A. Study properties of fermented camels’ and goats’ milk beverages fortified with date palm (Phoenix dactylifera L.). Food Nutr. Sci. 2021, 12, 418–428. [Google Scholar]
- Abdollahzadeh, S.M.; Zahedani, M.R.; Rahmdel, S.; Hemmati, F.; Mazloomi, S.M. Development of Lactobacillus acidophilus-fermented milk fortified with date extract. LWT Food Sci. Technol. 2018, 98, 577–582. [Google Scholar] [CrossRef]
- Amirdivani, S.; Baba, A.S. Changes in yogurt fermentation characteristics, and antioxidant potential and in vitro inhibition of angiotensin-1 converting enzyme upon the inclusion of peppermint, dill and basil. LWT Food Sci. Technol. 2011, 44, 1458–1464. [Google Scholar] [CrossRef] [Green Version]
- El-Loly, M.M.; Farahat, E.S.A.; Mohamed, A.G. Novel approach for producing processed cheese fortified with date syrup. ASC Food Sci. Technol. 2021, 1, 737–744. [Google Scholar] [CrossRef]
- Irigoyen, A.; Arana, I.; Castiella, M.; Torre, P.; Ibanez, F.C. Microbiological, physicochemical, and sensory characteristics of kefir during storage. Food Chem. 2005, 90, 613–620. [Google Scholar] [CrossRef]
- Bonczar, G.; Walczycka, M.; Duda, I. The changes of protein fractions shares in milk and fermented milk drinks. Acta Sci. Pol. Technol. Aliment. 2016, 15, 379–389. [Google Scholar] [CrossRef] [Green Version]
- Berthels, N.J.; Cordero Otero, R.R.; Bauer, F.F.; Thevelein, J.M.; Pretorius, I.S. Discrepancy in glucose and fructose utilization during fermentation by Saccharomyces cerevisiae wine yeast strains. FEMS Yeast Res. 2004, 4, 683–689. [Google Scholar] [CrossRef] [PubMed] [Green Version]
- Bau, T.R.; Garcia, S.; Ida, E.I. Changes in soymilk during fermentation with kefir culture: Oligosaccharides hydrolysis and isoflavone aglycone production. Int. J. Food Sci. Nutr. 2015, 66, 845–850. [Google Scholar] [CrossRef] [PubMed]
- Lourens-Hattingh, A.; Viljoen, B.C. Growth and survival of a probiotic yeast in dairy products. Food Res. Int. 2001, 34, 791–796. [Google Scholar] [CrossRef]
- Magalhaes, K.T.; de Pereira, M.; Dias, G.V.; Schwan, D.R. Microbial communities and chemical changes during fermentation of sugary Brazilian kefir. World J. Microbiol. Biotechnol. 2010, 26, 1241–1250. [Google Scholar] [CrossRef]
- Dhaouadi, K.; Raboudi, F.; Estevan, C.; Barrajón, E.; Vilanova, E.; Hamdaoui, M.; Fattouch, S. Cell viability effects and antioxidant and antimicrobial activities of tunisian date syrup (rub el tamer) polyphenolic extracts. J. Agric. Food Chem. 2010, 59, 402–406. [Google Scholar] [CrossRef] [PubMed]
- Taleb, H.; Maddocks, S.E.; Morris, R.K.; Kanekanian, A.D. The antibacterial activity of date syrup polyphenols against S. aureus and E. coli. Front. Microbiol. 2016, 7, 198. [Google Scholar]
- Al-Abdulkarim, B.O.; Osman, M.S.; El-Nadeef, M.A.I. Determination of chemical composition, and storage on dried fermented goat milk product (Oggtt). J. Saudi Soc. Agric. Sci. 2013, 12, 161–166. [Google Scholar] [CrossRef] [Green Version]
- Góral, M.; Kozłowicz, K.; Pankiewicz, U.; Góral, D. Magnesium enriched lactic acid bacteria as a carrier for probiotic ice cream production. Food Chem. 2013, 239, 1151–1159. [Google Scholar] [CrossRef]
- Tammam, A.A.; Salman, K.H.; Abd El-Rahim, A.M. Date syrup as a sugar substitute and natural flavor agent in ice cream manufacture. J. Food Dairy Sci. 2014, 5, 625–632. [Google Scholar] [CrossRef]
- Ismail, M.M. Improvement of nutritional and healthy values of yoghurt by fortification with Rutub Date. J. Microbiol. Biotechnol. Food Sci. 2015, 4, 398–406. [Google Scholar] [CrossRef] [Green Version]
- Nkhata, S.G.; Ayua, E.; Kamau, E.H.; Shingiro, J.-B. Fermentation and germination improve nutritional value of cereals and legumes through activation of endogenous enzymes. Food Sci. Nutr. 2018, 6, 2446–2458. [Google Scholar] [CrossRef] [PubMed] [Green Version]
- Adeparusi, E.O. Effect of processing on the nutrients and antinutrients of lima bean (Phaseolus lunatus L.) flour. Nahrung 2001, 4, 94–96. [Google Scholar] [CrossRef]
- Skibniewska, K.A.; Zakrzewski, J.; Siemianowska, E.; Polak-Juszczak, L.; Aljewicz, M. Calcium Availability from Yogurt by Itself or Yogurt–Cereal-Containing Products. J. Toxicol. Environ. Health Part A 2010, 73, 1150–1154. [Google Scholar] [CrossRef] [PubMed]
- Sanchez-Segarra, P.J.; Garcia-Martinez, M.; Gordillo-Otero, M.J.; Diaz-Valverde, A.; Amaro-Lopez, M.A.; Moreno-Rojas, R. Influence of the addition of fruit on the mineral content of yoghurts: Nutritional assessment. Food Chem. 2000, 70, 85–89. [Google Scholar] [CrossRef]
- Wong, N.P.; LaCroix, D.E.; Alford, J.A. Mineral content of dairy products. J. Am. Diet. Assoc. 1978, 72, 188–291. [Google Scholar] [CrossRef]
- De la Fuente, M.A.; Montes, F.; Guerrero, G.; Juareza, M. Total and soluble contents of calcium, magnesium, phosphorus and zinc in yoghurts. Food Chem. 2003, 80, 573–578. [Google Scholar] [CrossRef]
- Thompson, S. Microbiological Spoilage of High-Sugar Products. In Compendium of the Microbiological Spoilage of Foods and Beverages, Food Microbiology and Food Safety; Sperber, W.H., Doyle, M.P., Eds.; Springer Science+Business Media, LLC: Berlin/Heidelberg, Germany, 2009; pp. 301–323. [Google Scholar]
- Nazari, S.H.; Weiss, J. Evidence of antimicrobial activity of date fruits in combination with high intensity ultrasound. Afr. J. Microbiol. Res. 2010, 4, 561–567. [Google Scholar]
- Worku, K.F.; Tefera, A.T.; Tuji, F.A. Comparative analysis of microbial load of commercially prepared and traditionally homemade yoghurt (Ergo) retailed in Addis Ababa. Adv. Life Sci. 2015, 5, 58–63. [Google Scholar]
- Khalafalla, S.M.; Fayed, E.O.; Aly, A.A.; El-Samragy, Y.A. Composition and microbiological properties of Laban rayeb produced in Lower Egypt. Ecol. Food Nutr. 1988, 21, 297–302. [Google Scholar] [CrossRef]
- Motato, K.E.; Milani, C.; Ventura, M.; Valencia, F.E.; Ruas-Madiedo, P.; Delgado, S. Bacterial diversity of the Colombian fermented milk ‘Suero Costeño’ assessed by culturing and high-throughput sequencing and DGGE analysis of 16S rRNA gene amplicons. Food Microbiol. 2017, 68, 129–136. [Google Scholar] [CrossRef] [Green Version]
- Seleet, F.L.; Assem, F.M.; Abd El-Gawad, M.A.M.; Dabiza, N.M.; Abd El-Salam, M.H. Development of a novel milk-based fermented product fortified with wheat germ. Int. J. Dairy Technol. 2016, 69, 217–224. [Google Scholar] [CrossRef] [Green Version]
- Ahmed, A.A.; Amer, A.A.; Sakr, M.S.I. Physical, chemical, and microbiological properties of Laban Rayeb. Alex. J. Vet. Sci. 2016, 51, 269–274. [Google Scholar] [CrossRef]
- Guizani, N.; Kasapis, S.; Al-Ruzeiki, M. Microbial, chemical and rheological properties of laban (cultured milk). Int. J. Food Sci. Technol. 2001, 36, 199–205. [Google Scholar] [CrossRef]
- Watanabe, K.; Fujimoto, J.; Sasamoto, M.; Dugersuren, J.; Tumursuh, T.; Demberel, S. Diversity of lactic acid bacteria and yeasts in Airag and Tarag, traditional fermented milk products of Mongolia. World J. Microbiol. Biotechnol. 2008, 24, 1313–1325. [Google Scholar] [CrossRef]
- Zhang, H.; Xu, J.; Wang, J.; Menghebilige, S.T.; Li, H.; Guo, M. A survey on chemical and microbiological composition of kurut, naturally fermented yak milk from Qinghai in China. Food Control. 2008, 19, 578–586. [Google Scholar] [CrossRef]
- Mohsin, A.; Ni, H.; Luo, Y.; Wei, Y.; Tian, X.; Guan, W.; Ali, M.; Khan, I.M.; Niazi, S.; Rehman, S.; et al. Qualitative improvement of camel milk date yoghurt by addition of biosynthesized xanthan from orange waste. LWT Food Sci. Technol. 2019, 108, 61–68. [Google Scholar] [CrossRef]





| Parameters | Mean ± SD |
|---|---|
| Date syrup | |
| Moisture (g/100 g) | 24.89 ± 0.59 |
| Protein (g/100 g) | 0.88 ± 0.01 |
| Fat (g/100 g) | 0.10 ± 0.00 |
| Fiber (g/100 g) | 0.10 ± 0.00 |
| Ash (g/100 g) | 1.49 ± 0.02 |
| Total sugars (g/100 g) | 53.05 ± 0.95 |
| Glucose (g/100 g) | 26.51 ± 0.10 |
| Fructose (g/100 g) | 26.54 ± 0.01 |
| Sucrose (g/100 g) | 0.10 ± 0.00 |
| Maltose (g/100 g) | 0.10 ± 0.01 |
| Calcium (mg/L) | 424.00 ± 2.00 |
| Sodium (mg/L) | 164.00 ± 1.00 |
| Potassium (mg/L) | 0.54 ± 0.01 |
| Magnesium (mg/L) | 420.0 ± 1.96 |
| Vitamin A (U/100 g) | 1.00 ± 0.02 |
| Vitamin D (U/100 g) | 10.00 ± 0.30 |
| Soluble solids (°Bx) | 71.11 ± 0.11 |
| pH | 5.12 ± 0.13 |
| Water activity | 0.71 ± 0.05 |
| Acidity (mg lactic acid/L) | 1.00 ± 0.01 |
| Energy (Kcal/100 g) | 216.62 ± 2.00 |
| L* | 6.89 ± 0.05 |
| a* | 2.23 ± 0.11 |
| b* | 7.59 ± 0.08 |
| Laban | |
| Protein (g/100 g) | 3.12 ± 0.01 |
| Casein (g/100 g) | 2.85 ± 0.01 |
| Fat (g/100 g) | 3.20 ± 0.02 |
| Ash (g/100 g) | 0.79 ± 0.01 |
| Acidity (% expressed as lactic acid) | 0.69 ± 0.00 |
| Total soluble solids (g/100 g) | 13.98 ± 0.02 |
| Calcium (mg/L) | 726.00 ± 0.75 |
| Magnesium (mg/L) | 80.24 ± 0.75 |
| Sodium (mg/L) | 305.40 ± 0.75 |
| Potassium (mg/L) | 933.00 ± 20.0 |
| pH | 4.77 ± 0.02 |
| Bx | 7.11 ± 0.01 |
| Moisture (%) | 87.12 ± 0.13 |
| Water activity | 0.995 ± 0.01 |
| L* | 95.82 ± 1.12 |
| a* | −2.45 ± 0.45 |
| b* | 10.57 ± 1.11 |
| Component | Storage (Day) | NC | PC | DSL |
|---|---|---|---|---|
| Ash | ||||
| 0 | 0.670 (B,e) ± 0.005 | 0.613 (C,e) ± 0.005 | 0.741 (A,e) ± 0.005 | |
| 1 | 0.672 (B,e) ± 0.006 | 0.617 (C,e) ± 0.006 | 0.743 (A,e) ± 0.006 | |
| 2 | 0.660 (C,b) ± 0.005 | 0.680 (B,b) ± 0.006 | 0.740 (A,b) ± 0.006 | |
| 3 | 0.671 (C,b) ± 0.001 | 0.691 (B,b) ± 0.002 | 0.751 (A,b) ± 0.002 | |
| 4 | 0.641 (C,d) ± 0.001 | 0.661 (B,d) ± 0.005 | 0.721 (A,d) ± 0.005 | |
| 5 | 0.670 (C,bc) ± 0.006 | 0.687 (B,bc) ± 0.006 | 0.747 (A,bc) ± 0.006 | |
| 6 | 0.671 (C,bc) ± 0.015 | 0.687 (B,bc) ± 0.005 | 0.747 (A,bc) ± 0.005 | |
| 7 | 0.680 (C,a) ± 0.011 | 0.703 (B,a) ± 0.033 | 0.760 (A,a) ± 0.033 | |
| Protein | ||||
| 0 | 3.07 (B,c) ± 0.001 | 3.05 (C,c) ± 0.005 | 3.11 (A,c) ± 0.005 | |
| 1 | 3.09 (B,c) ± 0.001 | 3.07 (C,c) ± 0.006 | 3.13 (A,c) ± 0.002 | |
| 2 | 3.17 (B,a) ± 0.002 | 3.15 (C,a) ± 0.006 | 3.21 (A,a) ± 0.006 | |
| 3 | 3.17 (B,a) ± 0.001 | 3.15 (C,a) ± 0.002 | 3.21 (A,a) ± 0.002 | |
| 4 | 3.08 (B,c) ± 0.001 | 3.06 (C,c) ± 0.005 | 3.12 (A,c) ± 0.005 | |
| 5 | 3.09 (B,c) ± 0.001 | 3.07 (C,c) ± 0.006 | 3.13 (A, c) ± 0.003 | |
| 6 | 3.13 (B,b) ± 0.001 | 3.11 (C,b) ± 0.005 | 3.18 (A,b) ± 0.005 | |
| 7 | 3.04 (B,d) ± 0.006 | 3.02 (C,d) ± 0.003 | 3.08 (A,d) ± 0.004 | |
| Total solids | ||||
| 0 | 12.44 (C,b) ± 0.001 | 13.41 (B,b) ± 0.005 | 19.97 (A,b) ± 0.005 | |
| 1 | 11.51 (C,c) ± 0.003 | 12.49 (B,c) ± 0.006 | 19.05 (A,c) ± 0.002 | |
| 2 | 11.77 (C,c) ± 0.002 | 12.74 (B,c) ± 0.001 | 19.31 (A,c) ± 0.001 | |
| 3 | 11.63 (C,c) ± 0.001 | 12.60 (B,c) ± 0.002 | 19.17 (A,c) ± 0.002 | |
| 4 | 11.62 (C,c) ± 0.003 | 12.59 (B,c) ± 0.005 | 19.16 (A,c) ± 0.001 | |
| 5 | 11.97 (C,cb) ± 0.001 | 12.94 (B,cb) ± 0.006 | 19.51 (A,cb) ± 0.003 | |
| 6 | 12.99 (C,a) ± 0.001 | 13.96 (B,a) ± 0.005 | 20.23 (A,a) ± 0.005 | |
| 7 | 11.91 (C,cb) ± 0.006 | 12.88 (B,cb) ± 0.003 | 19.45 (A,cb) ± 0.004 | |
| Fat (%) | ||||
| 0 | 3.13 (B,a) ± 0.00. | 3.10 (C,a) ± 0.005 | 2.846 (A,a) ± 0.005 | |
| 1 | 3.03 (B,d) ± 0.003 | 3.00 (C,d) ± 0.001 | 2.762 (A,d) ± 0.002 | |
| 2 | 3.03 (B,b) ± 0.002 | 3.00 (C,b) ± 0.001 | 2.817 (A,b) ± 0.001 | |
| 3 | 2.93 (B,c) ± 0.001 | 2.90 (C,c) ± 0.002 | 2.791 (A,c) ± 0.002 | |
| 4 | 2.93 (B,e) ± 0.003 | 2.90 (C,e) ± 0.005 | 2.693 (A,e) ± 0.001 | |
| 5 | 2.83 (B,e) ± 0.001 | 2.80 (C,e) ± 0.003 | 2.682 (A,e) ± 0.003 | |
| 6 | 2.83 (B,cd) ± 0.001 | 2.80 (C,cd) ± 0.002 | 2.772 (A,cd) ± 0.005 | |
| 7 | 2.73 (B,f) ± 0.002 | 2.70 (C,f) ± 0.003 | 2.595 (A,f) ± 0.004 | |
| Acidity | ||||
| 0 | 0.737 (C,f) ± 0.001 | 0.753 (B,f) ± 0.001 | 0.689 (A,f) ± 0.005 | |
| 1 | 0.747 (C,f) ± 0.003 | 0.767 (B,f) ± 0.001 | 0.702 (A,f) ± 0.002 | |
| 2 | 0.873 (C,e) ± 0.002 | 0.890 (B,e) ± 0.001 | 0.826 (A,e) ± 0.001 | |
| 3 | 0.883 (C,e) ± 0.001 | 0.900 (B,e) ± 0.002 | 0.837 (A,e) ± 0.002 | |
| 4 | 1.003 (C,d) ± 0.003 | 1.021 (B,d) ± 0.005 | 0.956 (A,d) ± 0.001 | |
| 5 | 1.173 (C,c) ± 0.001 | 1.193 (B,c) ± 0.003 | 1.127 (A,c) ± 0.003 | |
| 6 | 1.297 (C,a) ± 0.001 | 1.311 (B,a) ± 0.002 | 1.249 (A,a) ± 0.005 | |
| 7 | 1.217 (C,b) ± 0.006 | 1.233 (B,b) ± 0.003 | 1.170 (A,b) ± 0.004 | |
| Casein | ||||
| 0 | 2.787 (B,a) ± 0.00. | 2.700 (C,a) ± 0.005 | 2.846 (A,a) ± 0.005 | |
| 1 | 2.683 (B,d) ± 0.003 | 2.617 (C,d) ± 0.001 | 2.762 (A,d) ± 0.002 | |
| 2 | 2.737 (B,b) ± 0.002 | 2.670 (C,b) ± 0.001 | 2.817 (A,b) ± 0.001 | |
| 3 | 2.713 (B,c) ± 0.001 | 2.643 (C,c) ± 0.002 | 2.791 (A,c) ± 0.002 | |
| 4 | 2.613 (B,e) ± 0.003 | 2.547 (C,e) ± 0.005 | 2.693 (A,e) ± 0.001 | |
| 5 | 2.600 (B,e) ± 0.001 | 2.533 (C,e) ± 0.003 | 2.682 (A,e) ± 0.003 | |
| 6 | 2.690 (B,c,d) ± 0.001 | 2.623 (C,cd) ± 0.002 | 2.772 (A,cd) ± 0.005 | |
| 7 | 2.513 (B,f) ± 0.002 | 2.447 (C,f) ± 0.003 | 2.595 (A,f) ± 0.004 |
Publisher’s Note: MDPI stays neutral with regard to jurisdictional claims in published maps and institutional affiliations. |
© 2021 by the authors. Licensee MDPI, Basel, Switzerland. This article is an open access article distributed under the terms and conditions of the Creative Commons Attribution (CC BY) license (https://creativecommons.org/licenses/by/4.0/).
Share and Cite
Alhamdan, A.M.; Al Juhaimi, F.Y.; Hassan, B.H.; Ehmed, K.A.; Mohamed Ahmed, I.A. Physicochemical, Microbiological, and Sensorial Quality Attributes of a Fermented Milk Drink (Laban) Fortified with Date Syrup (Dibs) during Cold Storage. Foods 2021, 10, 3157. https://doi.org/10.3390/foods10123157
Alhamdan AM, Al Juhaimi FY, Hassan BH, Ehmed KA, Mohamed Ahmed IA. Physicochemical, Microbiological, and Sensorial Quality Attributes of a Fermented Milk Drink (Laban) Fortified with Date Syrup (Dibs) during Cold Storage. Foods. 2021; 10(12):3157. https://doi.org/10.3390/foods10123157
Chicago/Turabian StyleAlhamdan, Abdullah M., Fahad Y. Al Juhaimi, Bakri H. Hassan, Kheled A. Ehmed, and Isam A. Mohamed Ahmed. 2021. "Physicochemical, Microbiological, and Sensorial Quality Attributes of a Fermented Milk Drink (Laban) Fortified with Date Syrup (Dibs) during Cold Storage" Foods 10, no. 12: 3157. https://doi.org/10.3390/foods10123157
APA StyleAlhamdan, A. M., Al Juhaimi, F. Y., Hassan, B. H., Ehmed, K. A., & Mohamed Ahmed, I. A. (2021). Physicochemical, Microbiological, and Sensorial Quality Attributes of a Fermented Milk Drink (Laban) Fortified with Date Syrup (Dibs) during Cold Storage. Foods, 10(12), 3157. https://doi.org/10.3390/foods10123157

