Ferrocenylmethylphosphanes and the Alpha Process for Methoxycarbonylation: The Original Story
Abstract
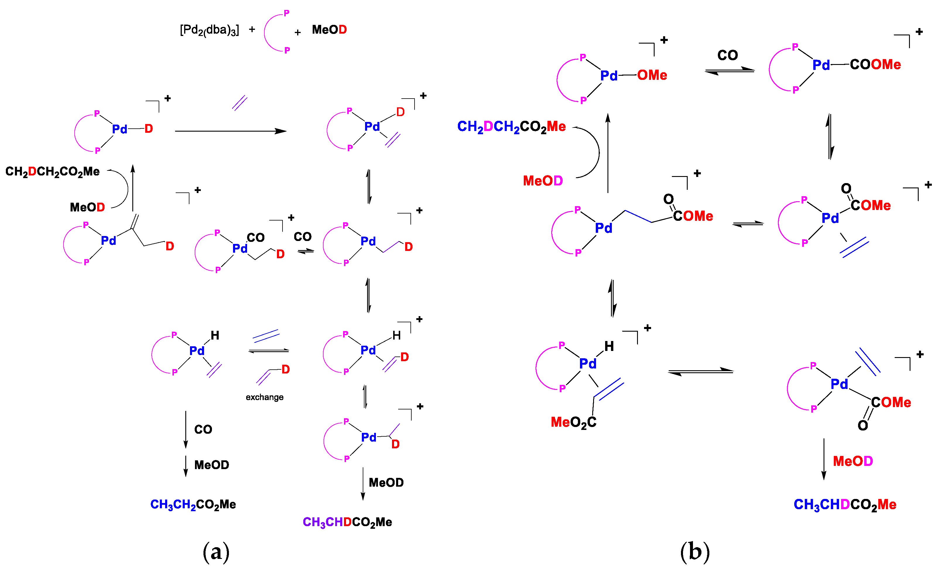
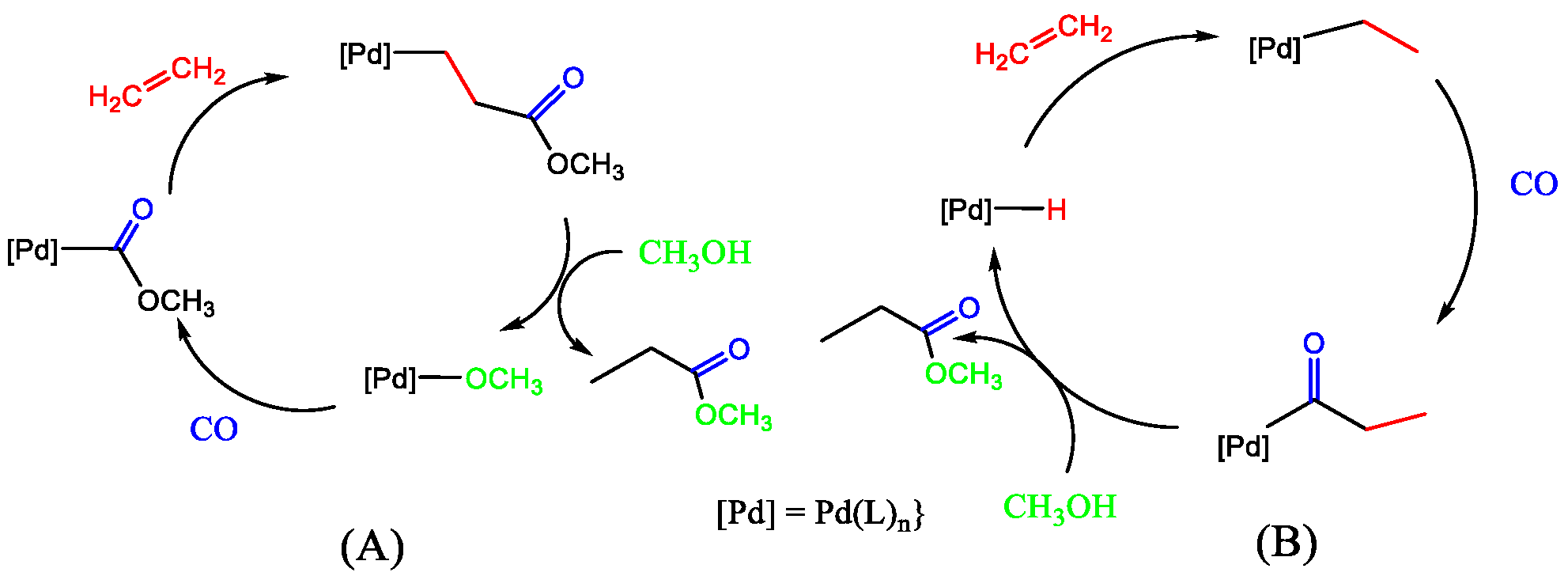
:1. Introduction
2. Ferrocene-Derived Alpha Ligands: Results and Discussion
2.1. Catalyst Testing
2.2. Catalyst Testing: Initial Evaluation of Ferrocene-Based Ligands vs. Alpha Ligand in the Palladium-Catalysed Formation of Methyl Propanoate from Ethene, CO, and Methanol
3. Conclusions
4. Patents
- Butler, I.; Eastham, G. EP1554039A2 a catalyst system comprising a 1,2-bis-(phosphino)metallocene ligand1, novel carbonylation ligands, and their use in the carbonylation of ethylenically unsaturated compounds. US2010113255A1 (B2) • 6 May 2010 • Earliest priority: 2 December 2006 • Earliest publication: 5 June 2008;
- Butler, I.; Eastham, G. a catalyst system comprising a 1,2-bis-(phosphino)metallocene ligand. EP1554039A2 (B1) • 20 July 2005 • LUCITE INT UK LTD [GB] Earliest priority: 12 September 2002 • Earliest publication: 25 March 2004;
- Butler, I.; Eastham, G.R. Novel carbonylation ligands and their use in the carbonylation of ethylenically unsaturated compounds. ZA200903063B • 28 April 2010 • LUCITE INT UK LTD. Earliest priority: 2 December 2006 • Earliest publication: 7 October 2009;
- Butler, I.R.; Eastham, G.; Fortune, K. a catalyst system comprising a 1,2-bis-(phosphinoalkyl) ferrocene ligand. CA2498293A1 (C) • 25 March 2004 • LUCITE INT UK LTD [GB]Earliest priority: 12 September 2002 • Earliest publication: 25 March 2004.
Supplementary Materials
Author Contributions
Funding
Institutional Review Board Statement
Informed Consent Statement
Data Availability Statement
Acknowledgments
Conflicts of Interest
References
- Butler, I.R. The Simple Synthesis of Ferrocene Ligands from a Practitioner’s Perspective. Eur. J. Inorg. Chem. 2012, 2012, 4387–4406. [Google Scholar] [CrossRef]
- Fortune, K.M. Nitrogen Donor Complexes of Molybdenum and Tungsten and New Routes to bis-1,2 & tris-1,2,3 Substituted Ferrocenes. Ph.D. Thesis, Bangor University, Gwynedd, UK, 2004. [Google Scholar]
- Morris, K. An Investigation into the Synthesis of Phosphine-Based Ligands and Their Application in Pd-Catalysed Processes in the Production of Polymethylmethacrylate. Ph.D. Thesis, Bangor University, Bangor, UK, 2008. [Google Scholar]
- Butler, I.R.; Baker, P.K.; Eastham, G.R.; Fortune, K.M.; Horton, P.N.; Hursthouse, M.B. Ferrocenylmethylphosphines ligands in the palladium-catalysed synthesis of methyl propionate. Inorg. Chem. Commun. 2004, 7, 1049–1052. [Google Scholar] [CrossRef]
- Butler, I.R.; Horton, P.N.; Fortune, K.M.; Morris, K.; Greenwell, C.; Eastham, G.R.; Hursthouse, M.B. The first 1,2,3-tris(phosphinomethyl)ferrocene. Inorg. Chem. Commun. 2004, 7, 923–928. [Google Scholar] [CrossRef]
- Harris, B. Acrylics for the Future. Ingenia. Issue 45. December 2010. Available online: https://www.ingenia.org.uk/Ingenia/Issue-45/Acrylics-for-the-future (accessed on 16 July 2021).
- Cavinato, G.; Toniolo, L. Carbonylation of Ethene Catalysed by Pd(II)-Phosphine Complexes. Molecules 2014, 19, 15116–15161. [Google Scholar] [CrossRef] [Green Version]
- Clegg, W.; Elsegood, M.; Eastham, G.R.; Tooze, R.P.; Wang, X.L.; Whiston, K. Highly active and selective catalysts for the production of methyl propanoate via the methoxycarbonylation of ethene. Chem. Commun. 1999, 1877–1878. [Google Scholar] [CrossRef]
- Knight, J.G.; Doherty, S.; Harriman, A.; Robins, E.G.; Betham, M.; Eastham, G.R.; Tooze, R.P.; Elsegood, M.R.J.; Champkin, P.; Clegg, W. Remarkable Differences in Catalyst Activity and Selectivity for the Production of Methyl Propanoate versus CO−Ethylene Copolymer by a Series of Palladium Complexes of Related C4-Bridged Diphosphines. Organometallics 2000, 19, 4957–4967. [Google Scholar] [CrossRef]
- Frew, J.J.R.; Damian, K.; Van Rensburg, H.; Slawin, A.M.Z.; Tooze, R.P.; Clarke, M. Palladium(II) Complexes of New Bulky Bidentate Phosphanes: Active and Highly Regioselective Catalysts for the Hydroxycarbonylation of Styrene. Chem. Eur. J. 2009, 15, 10504–10513. [Google Scholar] [CrossRef]
- De La Fuente, V.; Waugh, M.; Eastham, G.R.; Iggo, J.A.; Castillon, S.; Claver, C. Phosphine Ligands in the Palladium-Catalysed Methoxycarbonylation of Ethene: Insights into the Catalytic Cycle through an HP NMR Spectroscopic Study. Chem. Eur. J. 2010, 16, 6919–6932. [Google Scholar] [CrossRef]
- Drent, E.; Van Broekhoven, J.; Doyle, M. Efficient palladium catalysts for the copolymerization of carbon monoxide with olefins to produce perfectly alternating polyketones. J. Organomet. Chem. 1991, 417, 235–251. [Google Scholar] [CrossRef]
- Wong, P.K.; Van Doorn, J.A.; Drent, E.; Sudmeijer, O.; Stil, H.A. Palladium-catalyzed alternating copolymerization of propylene and carbon monoxide. Formation of poly(spiroketal/ketone). Ind. Eng. Chem. Res. 1993, 32, 986–988. [Google Scholar] [CrossRef]
- Drent, E.; Budzelaar, P.H.M. Palladium-Catalyzed Alternating Copolymerization of Alkenes and Carbon Monoxide. Chem. Rev. 1996, 96, 663–682. [Google Scholar] [CrossRef]
- Baya, M.; Houghton, J.; Konya, D.; Champouret, Y.; Daran, J.-C.; Leñero, K.Q.A.; Schoon, L.; Mul, W.P.; van Oort, A.B.; Meijboom, N.; et al. Pd(I) Phosphine Carbonyl and Hydride Complexes Implicated in the Palladium-Catalyzed Oxo Process. J. Am. Chem. Soc. 2008, 130, 10612–10624. [Google Scholar] [CrossRef]
- Bianchini, C.; Meli, A. Alternating copolymerization of carbon monoxide and olefins by single-site metal catalysis. Coord. Chem. Rev. 2002, 225, 35–66. [Google Scholar] [CrossRef]
- Robertson, R.A.; Cole-Hamilton, D.J. The production of low molecular weight oxygenates from carbon monoxide and ethene. Coord. Chem. Rev. 2002, 225, 67–90. [Google Scholar] [CrossRef]
- Sen, A. Mechanistic aspects of metal-catalyzed alternating copolymerization of olefins with carbon monoxide. Acc. Chem. Res. 1993, 26, 303–310. [Google Scholar] [CrossRef]
- Cavinato, G.; Tonioli, L.; Vavasori, A. Carbonylation of Ethene in Methanol Catalysed by Cationic Phosphine Complexes of Pd(II): From Polyketones to Monocarbonylated Products. Top. Organomet. Chem. 2006, 18, 125–164. [Google Scholar] [CrossRef]
- Garcia-Suarez, E.J.; Godard, C.; Ruiz, A.; Claver, C. Alternating and Non-Alternating Pd-Catalysed Co- and Terpolymerisation of Carbon Monoxide and Alkenes. Eur. J. Inorg. Chem. 2007, 2007, 2582–2593. [Google Scholar] [CrossRef]
- Pascu, S.I. CO/alkene copolymerisation reactions catalysed by chelating diphosphine, diimine and hemilabile N/O, P/O and P/N late transition metal complexes revisited. Rev. Roum. Chim. 2009, 54, 477–500. Available online: https://revroum.lew.ro/wp-content/uploads/2009/RRCh_6_2009/Art%2008.pdf (accessed on 22 June 2021).
- Consiglio, G.; Milani, B. Stereochemical Aspects of Cooligomerization and Copolymerization. In Catalysis by Metal Complexes; Springer Science and Business Media LLC: Berlin/Heidelberg, Germany, 2003; pp. 189–215. [Google Scholar]
- Bianchini, C.; Meli, A.; Oberhauser, W. Catalyst design and mechanistic aspects of the alternating copolymerisation of ethene and carbon monoxide by diphosphine-modified palladium catalysisThe illustration of John Dalton (reproduced courtesy of the Library and Information Centre, Royal Society of Chemistry) marks the 200th anniversary of his investigations which led to the determination of atomic weights for hydrogen, nitrogen, carbon, oxygen, phosphorus and sulfur. Dalton Trans. 2003, 2627–2635. [Google Scholar] [CrossRef]
- Sen, A. Chain Propagation Mechanisms; Springer Science and Business Media LLC: Berlin/Heidelberg, Germany, 2003; Volume 27, pp. 237–263. [Google Scholar]
- Belov, G.P.; Novikova, E.V. Polyketones as alternating copolymers of carbon monoxide. Russ. Chem. Rev. 2004, 73, 267–291. [Google Scholar] [CrossRef]
- Keim, W.; Maas, H. Copolymerization of ethylene and carbon monoxide by phosphinite-modified palladium catalysts. J. Organomet. Chem. 1996, 514, 271–276. [Google Scholar] [CrossRef]
- Cavinato, G.; Vavasori, A.; Amadio, E.; Tonioli, L. CO–ethene copolymerisation catalysed by [PdCl2(PPh3)2]/PPh3/HCl in MeOH. J. Mol. Catal. A Chem. 2007, 278, 251–257. [Google Scholar] [CrossRef]
- Margl, P.; Michalak, A.; Ziegler, T. Theoretical Studies on Copolymerization of Polar Monomers. In Catalysis by Metal Complexes; Springer Science and Business Media LLC: Berlin/Heidelberg, Germany, 2003; Volume 27, pp. 265–307. [Google Scholar]
- Nozaki, K. Synthesis of Chiral, Optically Active Copolymers. In Catalysis by Metal Complexes; Springer Science and Business Media LLC: Berlin/Heidelberg, Germany, 2003; Volume 27, pp. 217–235. [Google Scholar]
- Schwarz, J.; Herdtweck, A.E.; Herrmann, W.A.; Gardiner, M. Highly Efficient Monocationic Palladacycles of Chelating Diphosphines in C2H4/CO Copolymerization. Organometallics 2000, 19, 3154–3160. [Google Scholar] [CrossRef]
- Nakamura, A.; Ito, S.; Nozaki, K. Coordination-Insertion Copolymerization of Fundamental Polar Monomers. Chem. Rev. 2009, 109, 5215–5244. [Google Scholar] [CrossRef]
- Eastham, G.R.; Tooze, R.P.; Heaton, B.T.; Iggo, J.A.; Whyman, R.; Zacchini, S. Synthesis and spectroscopic characterisation of all the intermediates in the Pd-catalysed methoxycarbonylation of ethene. Chem. Commun. 2000, 609–610. [Google Scholar] [CrossRef]
- Del Rio, I.; Claver, C.; van Leeuwen, P.W.N.M. On the Mechanism of the Hydroxycarbonylation of Styrene with Palladium Systems. Eur. J. Inorg. Chem. 2001, 2719–2738. [Google Scholar] [CrossRef]
- Doherty, S.; Eastham, G.R.; Tooze, R.P.; Scanlan, T.H.; Williams, D.; Elsegood, M.R.J.; Clegg, W. Palladium Complexes of C2-, C3-, and C4-Bridged Bis(phospholyl) Ligands: Remarkably Active Catalysts for the Copolymerization of Ethylene and Carbon Monoxide. Organometallics 1999, 18, 3558–3560. [Google Scholar] [CrossRef]
- Liu, J.; Heaton, B.T.; Iggo, J.A.; Whyman, R. The Complete Delineation of the Initiation, Propagation, and Termination Steps of the Carbomethoxy Cycle for the Carboalkoxylation of Ethene by Pd–Diphosphane Catalysts. Angew. Chem. Int. Ed. 2004, 43, 90–94. [Google Scholar] [CrossRef]
- Liu, J.; Heaton, B.T.; Iggo, J.A.; Whyman, R.; Bickley, J.F.; Steiner, A. The Mechanism of the Hydroalkoxycarbonylation of Ethene and Alkene–CO Copolymerization Catalyzed by PdII–Diphosphine Cations. Chem. Eur. J. 2006, 12, 4417–4430. [Google Scholar] [CrossRef] [PubMed]
- Liu, J.; Heaton, B.T.; Iggo, J.A.; Whyman, R. Methanolysis of acyl–Pd(ii) complexes relevant to CO/ethene coupling reactions. Chem. Commun. 2004, 1326–1327. [Google Scholar] [CrossRef]
- Van Leeuwen, P.W.N.M.; Zuideveld, M.A.; Swennenhuis, B.H.G.; Freixa, Z.; Kamer, P.C.J.; Goubitz, K.; Fraanje, J.; Lutz, A.M.; Spek‡, A.L. Alcoholysis of Acylpalladium(II) Complexes Relevant to the Alternating Copolymerization of Ethene and Carbon Monoxide and the Alkoxycarbonylation of Alkenes: The Importance of Cis-Coordinating Phosphines. J. Am. Chem. Soc. 2003, 125, 5523–5539. [Google Scholar] [CrossRef]
- Mul, W.P.; Oosterbeek, H.; Beitel, G.A.; Kramer, G.J.; Drent, E. In Situ Monitoring of a Heterogeneus Palladium-Based Polyketone Catalyst. Angew. Chem. Int. Ed. 2000, 39, 1848–1851. [Google Scholar] [CrossRef]
- Shultz, C.S.; Ledford, J.; DeSimone, J.M.; Brookhart, M. Kinetic Studies of Migratory Insertion Reactions at the (1,3-Bis(diphenylphosphino)propane)Pd(II) Center and Their Relationship to the Alternating Copolymerization of Ethylene and Carbon Monoxide. J. Am. Chem. Soc. 2000, 122, 6351–6356. [Google Scholar] [CrossRef]
- Zuideveld, M.A.; Kamer, P.C.J.; Van Leeuwen, P.W.N.M.; Klusener, P.A.A.; Stil, H.A.; Roobeek, C.F. Chain-Transfer Mechanisms of the Alternating Copolymerization of Carbon Monoxide and Ethene Catalyzed by Palladium(II) Complexes: Rearrangement to Highly Reactive Enolates. J. Am. Chem. Soc. 1998, 120, 7977–7978. [Google Scholar] [CrossRef]
- Ledford, J.; Shultz, C.S.; Gates, D.P.; White, P.S.; DeSimone, J.M.; Brookhart, M. Bond Angle Effects on the Migratory Insertion of Ethylene and Carbon Monoxide into Palladium(II)−Methyl Bonds in Complexes Bearing Bidentate Phosphine Ligands. Organometallics 2001, 20, 5266–5276. [Google Scholar] [CrossRef]
- Zuidema, E.; Bo, C.; Van Leeuwen, P.W.N.M. Ester versus Polyketone Formation in the Palladium−Diphosphine Catalyzed Carbonylation of Ethene. J. Am. Chem. Soc. 2007, 129, 3989–4000. [Google Scholar] [CrossRef] [PubMed]
- Eastham, G.R.; Tooze, R.P.; Kilner, M.; Foster, D.F.; Cole-Hamilton, D.J. Deuterium labelling evidence for a hydride mechanism in the formation of methyl propanoate from carbon monoxide, ethene and methanol catalysed by a palladium complex. J. Chem. Soc. Dalton Trans. 2002, 1613–1617. [Google Scholar] [CrossRef]
- Clegg, W.; Eastham, G.R.; Elsegood, M.R.J.; Heaton, B.T.; Iggo, J.A.; Tooze, R.P.; Whyman, R.; Zacchini, S. Synthesis and reactivity of palladium hydrido-solvento complexes, including a key intermediate in the catalytic methoxycarbonylation of ethene to methyl propanoate. J. Chem. Soc. Dalton Trans. 2002, 3300–3308. [Google Scholar] [CrossRef]
- Kalsin, A.; Vologdin, N.V.; Peganova, T.A.; Petrovskii, P.V.; Lyssenko, K.; Dolgushin, F.M.; Gusev, O.V. Palladium(II) complexes with o-aryl substituted 1,1′-bis(phosphino)ferrocenes [Fe(η5-C5H4PR2)2Pd(NCMe)n](OTf)2 (R=o-MeOC6H4, o-MeC6H4, o-PriC6H4, C6F5): Synthesis, structure and catalytic properties in methoxycarbonylation of ethylene. J. Organomet. Chem. 2006, 691, 921–927. [Google Scholar] [CrossRef]
- Gusev, O.V.; Kalsin, A.; Peterleitner, M.G.; Petrovskii, P.V.; Lyssenko, K.; Akhmedov, N.G.; Bianchini, C.; Meli, A.; Oberhauser, W. Palladium(II) Complexes with 1,1′−Bis(diphenylphosphino)ferrocenes [Fe(η5-C5R4PPh2)2]n+ (dppf, R = H, n = 0; dppomf, R = Me, n = 0; dppomf+, R = Me, n = 1). Synthesis, Characterization, and Catalytic Activity in Ethene Methoxycarbonylation. Organometallics 2002, 21, 3637–3649. [Google Scholar] [CrossRef]
- Zúñiga, C.; Moya, S.A.; Aguirre, P. Methoxycarbonylation of Styrene Catalyzed by Palladium Complexes with Ferrocene Derivatives Containing Nitrogen and Phosphine Ligands. Catal. Lett. 2009, 130, 373–379. [Google Scholar] [CrossRef]
- Bianchini, C.; Meli, A.; Oberhauser, W.; Parisel, S.; Gusev, O.V.; Kalsin, A.; Vologdin, N.V.; Dolgushin, F.M. Methoxycarbonylation of styrene to methyl arylpropanoates catalyzed by palladium(II) precursors with 1,1′-bis(diphenylphosphino)metallocenes. J. Mol. Catal. A Chem. 2004, 224, 35–49. [Google Scholar] [CrossRef]
- Gusev, O.V.; Kalsin, A.; Petrovskii, P.V.; Lyssenko, K.; Oprunenko, Y.F.; Bianchini, C.; Meli, A.; Oberhauser, W. Synthesis, Characterization, and Reactivity of 1,1′-Bis(diphenylphosphino)osmocene: Palladium(II) Complexes and Their Use as Catalysts in the Methoxycarbonylation of Olefins. Organometallics 2003, 22, 913–915. [Google Scholar] [CrossRef]
- Bianchini, C.; Meli, A.A.; Oberhauser, W.; Zuideveld, M.A.; Freixa, Z.; Kamer, P.C.J.; Spek, A.L.; Gusev, O.V.; Kal’Sin, A.M. Methoxycarbonylation of Ethene by Palladium(II) Complexes with 1,1′-Bis(diphenylphosphino)ferrocene (dppf) and 1,1′-Bis(diphenylphosphino)octamethylferrocene (dppomf). Organometallics 2003, 22, 2409–2421. [Google Scholar] [CrossRef] [Green Version]
- Bianchini, C.; Meli, A.; Oberhauser, W.; Parisel, S.; Passaglia, E.; Ciardelli, F.; Gusev, O.V.; Kal’Si, A.M.; Vologdin, N.V. Ethylene Carbonylation in Methanol and in Aqueous Media by Palladium(II) Catalysts Modified with 1,1′-Bis(dialkylphosphino)ferrocenes. Organometallics 2005, 24, 1018–1030. [Google Scholar] [CrossRef]
- Liptau, P.; Seki, T.; Kehr, G.; Abele, A.; Froehlich, R.; Erker, G.; Grimme, S. Formation of a Chelate Bis(phosphino)[3]ferrocenophane Ligand and Its Use in Palladium-Catalyzed Alternating CO/Ethene Copolymerization. Organometallics 2003, 22, 2226–2232. [Google Scholar] [CrossRef]
- Bianchini, C.; Meli, A.; Oberhauser, W.; Segarra, A.M.; Passaglia, E.; Lamac, M.; Štěpnička, P. Palladium(II) Complexes with Phosphanylferrocenecarboxylate Ligands and Their Use as Catalyst Precursors for Semialternating CO–Ethylene Copolymerization. Eur. J. Inorg. Chem. 2008, 2008, 441–452. [Google Scholar] [CrossRef]
- Chen, C.; Anselment, T.M.J.; Fröhlich, R.; Rieger, B.; Kehr, G.; Erker, G. o-Diarylphosphinoferrocene Sulfonate Palladium Systems for Nonalternating Ethene–Carbon Monoxide Copolymerization. Organometallics 2011, 30, 5248–5257. [Google Scholar] [CrossRef]
- Fanjul, T.; Eastham, G.; Fey, N.; Hamilton, A.; Orpen, A.G.; Pringle, P.G.; Waugh, M. Palladium Complexes of the Heterodiphosphine o-C6H4(CH2PtBu2)(CH2PPh2) Are Highly Selective and Robust Catalysts for the Hydromethoxycarbonylation of Ethene. Organometallics 2010, 29, 2292–2305. [Google Scholar] [CrossRef]
- Vondran, J.; Furst, M.R.L.; Eastham, G.R.; Seidensticker, T.; Cole-Hamilton, D.J. Magic of Alpha: The Chemistry of a Remarkable Bidentate Phosphine, 1,2-Bis(di-tert-butylphosphinomethyl)benzene. Chem. Rev. 2021, 121, 6610–6653. [Google Scholar] [CrossRef]
- Hamann, B.C.; Hartwig, J.F. Sterically Hindered Chelating Alkyl Phosphines Provide Large Rate Accelerations in Palladium-Catalyzed Amination of Aryl Iodides, Bromides, and Chlorides, and the First Amination of Aryl Tosylates. J. Am. Chem. Soc. 1998, 120, 7369–7370. [Google Scholar] [CrossRef]
- Kataoka, N.; Shelby, Q.; Stambuli, A.J.P.; Hartwig, J.F. Air Stable, Sterically Hindered Ferrocenyl Dialkylphosphines for Palladium-Catalyzed C−C, C−N, and C−O Bond-Forming Cross-Couplings. J. Org. Chem. 2002, 67, 5553–5566. [Google Scholar] [CrossRef]
- Hnetinka, C.A.; Hunter, A.D.; Zeller, M.; Lesley, M.J.G. 1,1′-Dibromoferrocene. Acta Crystallogr. Sect. E Struct. Rep. Online 2004, 60, m1806–m1807. [Google Scholar] [CrossRef]
- Butler, I.R.; Cullen, W.R.; Rettig, S.J. Synthesis of derivatives of [.alpha.(dimethylamino)ethyl]ferrocene via lithiation reactions and the structure of 2-[.alpha.-(dimethylamino)ethyl]-1,1’,3-tris(trimethylsilyl)ferrocene. Organometallics 1986, 5, 1320–1328. [Google Scholar] [CrossRef]
- Butler, I.R.; Cullen, W.R.; Rettig, S.J. Reaction of phosphorus-bridged ferrocenophane Fe(.eta.5-C5H4PPh)(.eta.5-C5H4) with LiC5H5 and NaFe(CO)2(.eta.5-C5H5). Structures of {Fe[(.eta.5-C5H4)2]P(C6H5)-P}Fe(H)(.eta.5-C5H5)(CO) and {(C6H5)[Fe(.eta.5-C5H5)(.eta.5-C5H4)][Fe(.eta.5-C5H5)(.eta.5-C5H3C(O))]P-P,C}Fe(.eta.5-C5H5)(CO).cntdot.CHCl3. Organometallics 1987, 6, 872–880. [Google Scholar] [CrossRef]
- Muñoz, B.K.; Garcia, E.S.; Godard, C.; Zangrando, E.; Bo, C.; Ruiz, A.; Claver, C. HP-NMR Study of the Pd-Catalyzed Methoxycarbonylation of Styrene Using Monodentate and Bidentate Phosphane-Modified Systems. Eur. J. Inorg. Chem. 2008, 2008, 4625–4637. [Google Scholar] [CrossRef]
- Eastham, G.; Scanlan, T.; Barclay, C. MeP Synthesis–Technical Report 138. Lucite International—Project Alpha. Private Communication; Lucite International Inc.: Memphis, TN, USA, 2005. [Google Scholar]
- Eastham, G.; Wright, W.; Scanlan, T.; Barcley, C. MeP Synthesis–Technical Report 139. Lucite International—Project Alpha. Private Communication; Lucite International Inc.: Memphis, TN, USA, 2005. [Google Scholar]
- Abbenhuis, H.C.L.; Burckhardt, U.; Gramlich, V.; Martelletti, A.; Spencer, J.; Steiner, I.; Togni, A. Comparing Chiral Ferrocenyl and Ruthenocenyl Ligands: How Subtle Structural Changes Influence Their Performance in Asymmetric Catalysis. Organometallics 1996, 15, 1614–1621. [Google Scholar] [CrossRef] [Green Version]
- Glidewell, C.; Royles, B.J.; Smith, D.M. A simple high-yielding synthesis of ferrocene-1,1′-diylbis-(methyltrimethylammonium iodide). J. Organomet. Chem. 1997, 527, 259–261. [Google Scholar] [CrossRef]
- Hadlington, M.; Rockett, B.W.; Nelhans, A. Unsymmetrically disubstituted ferrocenes. Part I. Synthesis of 1,2-disubstituted ferrocenes by metallation and nucleophilic substitution reactions. J. Chem. Soc. C 1967, 1436–1440. [Google Scholar] [CrossRef]
- Kamiyama, S.-I.; Kimura, T.; Kasahara, A.; Izumi, T.; Maemura, M. The σ-Bonded Palladium(II) Complex of (Dimethylaminomethyl)ruthenocene. Bull. Chem. Soc. Jpn. 1979, 52, 142–145. [Google Scholar] [CrossRef]
- Sang, R.; Hu, Y.; Razzaq, R.; Jackstell, R.; Franke, R.; Beller, M. State-of-the-art palladium-catalyzed alkoxycarbonylations. Org. Chem. Front. 2021, 8, 799–811. [Google Scholar] [CrossRef]
- Liu, J.; Dong, K.; Franke, R.; Neumann, H.; Jackstell, R.; Beller, M. Development of efficient palladium catalysts for alkoxycarbonylation of alkenes. Chem. Commun. 2018, 54, 12238–12241. [Google Scholar] [CrossRef] [PubMed]
- Dong, K.; Sang, R.; Fang, X.; Franke, R.; Spannenberg, A.; Neumann, H.; Jackstell, R.; Beller, M. Efficient Palladium-Catalyzed Alkoxycarbonylation of Bulk Industrial Olefins Using Ferrocenyl Phosphine Ligands. Angew. Chem. Int. Ed. 2017, 56, 5267–5271. [Google Scholar] [CrossRef] [PubMed]
- EVONIK DEGUSSA GMBH; Dong, K.; Neumann, H.; Jackstell, R.; Beller, M.; Franke, R.; Hess, D.; Dyballa, K.M.; Fridag, D.; Geilen, F. Ferrocene-Based Compounds and Palladium Catalysts Based Thereon for the Alkoxycarbonylation of Ethylenically Unsaturated Compounds. Patent: 10077228, 18 September 2018. Available online: https://patents.justia.com/patent/10077228 (accessed on 15 July 2021).
- EVONIK DEGUSSA GMBH; Dong, K.; Neumann, H.; Jackstell, R.; Beller, M.; Franke, R.; Hess, D.; Dyballa, K.M.; Fridag, D.; Geilen, F. Ferrocene-Based Compounds and Palladium Catalysts Based Thereon for the Alkoxycarbonylation of Ethylenically Unsaturated Compounds. Patent: 10202329, 12 February 2019. Available online: https://patents.justia.com/patent/10202329 (accessed on 15 July 2021).
- EVONIK DEGUSSA GMBH; Dong, K.; Neumann, H.; Jackstell, R.; Beller, M.; Fridag, D.; Hess, D.; Dyballa, K.M.; Geilen, F.; Franke, R. 1,1′-Bis(phosphino)ferrocene Ligands for Alkoxycarbonylation. Patent: 9938310, 10 April 2018. Available online: https://patents.justia.com/patent/20180022773 (accessed on 16 July 2021).
- Butler, I.R.; Cullen, W.R.; Kim, T.J.; Rettig, S.J.; Trotter, J. 1,1′-Bis(alkylarylphosphino)ferrocenes: Synthesis, metal complex formation, and crystal structure of three metal complexes of Fe(.eta.5-C5H4PPh2)2. Organometallics 1985, 4, 972–980. [Google Scholar] [CrossRef]
- Butler, I.R.; Cullen, W.R.; Einstein, F.W.B.; Rettig, S.J.; Willis, A.J. Synthesis of some ring-substituted [1]ferrocenophanes and the structure of four representative examples. Organometallics 1983, 2, 128–135. [Google Scholar] [CrossRef]
- Ahmad, S.; Crawford, L.E.; Bühl, M. Palladium-catalysed methoxycarbonylation of ethene with bidentate diphosphine ligands: A density functional theory study. Phys. Chem. Chem. Phys. 2020, 22, 24330–24336. [Google Scholar] [CrossRef]























| Ligand | Run | Initial Rate (Moles Catalyst/Moles Product/h) | Turnover Number after 3 h |
|---|---|---|---|
| 2a | 1 | 31.810 | 59.941 |
| 2 | 30.322 | 63.941 | |
| 8 | 1 | 24.506 | 50.751 |
| 2 | 32.884 | 50.751 | |
| 1 | 1 | 29.106 | 44.775 |
| 2 | 30.335 | 51.997 |
| Ligand | Run | Weight Gain (g) | Average Weight Gain (g) | Turnover Number (TON) | Average (TON) |
|---|---|---|---|---|---|
| 1 | 1 | 268.65 | 257.304 | 47,973 | 45,932 |
| 1 | 2 | 244.47 | 43,655 | ||
| 1 | 3 | 258.98 | 46,173 | ||
| 1 | 4 | 252.13 | 45,023 | ||
| 1 | 5 | 262.29 | 46,837 | ||
| 2a | 1 | 302.64 | 300.90 | 54,042 | 53,731 |
| 2a | 2 | 306.84 | 54,792 | ||
| 2a | 3 | 293.40 | 52,392 | ||
| 2a | 4 | 303.09 | 54,123 |
| Ligand | Run | Weight Gain (g) | Average Weight Gain (g) | Turn over Number (TON) | Average (TON) |
|---|---|---|---|---|---|
| 1 | 1 | 64.0 | 60.25 | 79,365 | 74,714 |
| 1 | 2 | 56.5 | 70,064 | ||
| 2g | 1 | 59.6 | 59.6 | 73,908 | 73,908 |
| 2h | 1 | 74.28 | 74.28 | 93,192 | 93,192 |
| Ligand | Recycle Run | Wt. GAIN (g) | TON | Cumulative (TON) |
|---|---|---|---|---|
| 1 | 1 | 246.13 | 43,952 | |
| 1 | 2 | 219.35 | 39,170 | 83,122 |
| 1 | 3 | 11.86 | 2118 | 85,240 |
| 2b | 1 | 347.69 | 62,088 | |
| 2b | 2 | 282.00 | 50,357 | 112,445 |
| 2b | 3 | 179.80 | 32,107 | 144,552 |
| 2c | 1 | 325.73 | 58,166 | |
| 2c | 2 | 295.12 | 52,700 | 110,866 |
| 2c | 3 | 271.50 | 48,482 | 159,348 |
| 2c | 4 | 264.01 | 47,145 | 206,493 |
| 2c | 5 | 191.10 | 34,125 | 240,618 |
| Ligand Used | Initial Rate (Moles MeP/Mole Pd/h) | Weight Gain (g) (3 h) |
|---|---|---|
| 2a | 73.000 | 307 |
| 2b | 51.630 | 340 |
| 2c | 61.000 | - |
| 2f | 56.000 | 369 |
| 2i | 50.000 | 282 |
| 1 | 78.000 | 307 |
| Ligand | Run | Weight Gain | Avg Wt. Gain | TON/Pd | Avg. TON/Pd |
|---|---|---|---|---|---|
| 27 | 1 | 54.44 | ------ | 67,509 | ------ |
| 27 | 2 | 50.38 | 52.41 | 62,475 | 64,992 |
Publisher’s Note: MDPI stays neutral with regard to jurisdictional claims in published maps and institutional affiliations. |
© 2021 by the authors. Licensee MDPI, Basel, Switzerland. This article is an open access article distributed under the terms and conditions of the Creative Commons Attribution (CC BY) license (https://creativecommons.org/licenses/by/4.0/).
Share and Cite
Fortune, K.M.; Castel, C.; Robertson, C.M.; Horton, P.N.; Light, M.E.; Coles, S.J.; Waugh, M.; Clegg, W.; Harrington, R.W.; Butler, I.R. Ferrocenylmethylphosphanes and the Alpha Process for Methoxycarbonylation: The Original Story. Inorganics 2021, 9, 57. https://doi.org/10.3390/inorganics9070057
Fortune KM, Castel C, Robertson CM, Horton PN, Light ME, Coles SJ, Waugh M, Clegg W, Harrington RW, Butler IR. Ferrocenylmethylphosphanes and the Alpha Process for Methoxycarbonylation: The Original Story. Inorganics. 2021; 9(7):57. https://doi.org/10.3390/inorganics9070057
Chicago/Turabian StyleFortune, Kevin M., Christa Castel, Craig M. Robertson, Peter N. Horton, Mark E. Light, Simon J. Coles, Mark Waugh, William Clegg, Ross W. Harrington, and Ian R. Butler. 2021. "Ferrocenylmethylphosphanes and the Alpha Process for Methoxycarbonylation: The Original Story" Inorganics 9, no. 7: 57. https://doi.org/10.3390/inorganics9070057
APA StyleFortune, K. M., Castel, C., Robertson, C. M., Horton, P. N., Light, M. E., Coles, S. J., Waugh, M., Clegg, W., Harrington, R. W., & Butler, I. R. (2021). Ferrocenylmethylphosphanes and the Alpha Process for Methoxycarbonylation: The Original Story. Inorganics, 9(7), 57. https://doi.org/10.3390/inorganics9070057

