Nitrido Technetium-99 m Core in Radiopharmaceutical Applications: Four Decades of Research
Abstract
1. General Properties of the Tc≡N Group
2. Structural Features of Reported Five- and Six-Coordinated Nitride–Tc Complexes
2.1. Five-Coordinated Tc(V) Complexes
2.2. Six-Coordinated Tc(V) Complexes
2.3. Tc(V) Complexes of Intermediate Coordination Number
2.4. Tc(VI) Complexes
3. Nitrido Technetium-99m Core in Radiopharmaceutical Applications
3.1. Preparation of Nitrido Technetium-99m Radiopharmaceuticals
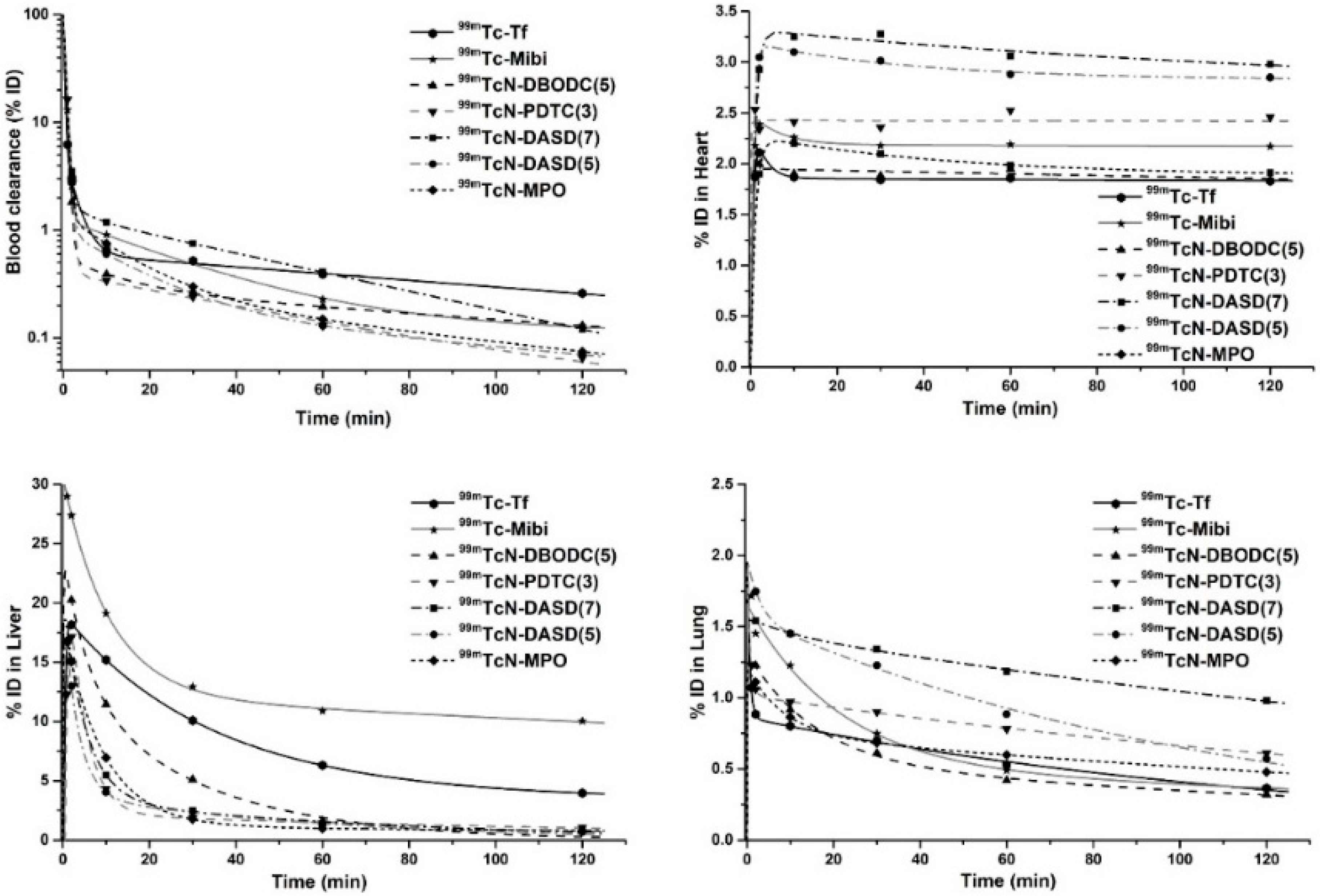
3.2. Homoleptic Compounds as Myocardial Perfusion Imaging Agents
3.3. Heteroleptic Compounds as Myocardial Perfusion Imaging Agents
3.4. Labeling of Biologically Active Molecules: Target Specific Compounds
4. Remarks
Funding
Conflicts of Interest
Abbreviations
| RP | radiopharmaceutical |
| RCY | radiochemical yield |
| RCP | radiochemical purity |
| 99mTc-MIBI | 99mTc-sestamibi |
| 99mTc-Tf | 99mTc-tetrofosmin |
| 14S4 | 1,4,8,11-tetrathiacyclotetradecane |
| 16S4–(OH)2 | 1,5,9,13-tetrathiacyclohexadecane-3,11-diol |
| 18S6 | 1,4,7,10,13,16-hexathiacyclooctadecane |
| amec | N-(2-ammonioethyl)carbamate |
| AsPh3 | triphenylarsine |
| bipy | 2,2′-bipyridyl |
| bnao | 3,3,10,10-tetramethyl-4,9-diazadodecane-2,11-dione dioximate (1−) |
| bpa | bis-(2-pyridylmethyl)amine |
| bpa–bztdm | bis-(2-pyridylmethyl)(2-benzylthio-2,2-dimethyl)ethylamine |
| BTS | bis-thiosemicarbazone |
| CH3CN | acetonitrile |
| C9H6NS | 8-quinolinethiolate (1−) |
| CYS–Oet | l-cysteine ethyl ester (1−) |
| DBODC | bis-(N-ethoxyethyl)–dithiocarbamate (1−) |
| dedmiy | 1,3-diethyl-4,5-dimethylimidazol-2-ylidene |
| dmit | isotrithionedithiolate (2−) |
| dmpe | 1,2-bis(dimethylphosphino)ethane |
| dppe | 1,2-bis(diphenylphosphino)ethane |
| DTC | dithiocarbamate (1−) |
| DPTA | 1,2-diaminopropane–N,N,N’,N’–tetraacetic acid |
| eacyd | N,N’-ethylenediaminebis(methyl-2-aminocyclopentene-1-dithiocarboxylate (2−) |
| ecobap | N-(2-ethoxycarbonyl-3-oxobutenyl)-2-aminophenolate (2−) |
| EDTA | ethylenediaminetetraacetic acid |
| en | ethylenediamine |
| Et2DTC | diethyldithiocarbamate (1−) |
| Et2NC(S)NH | N,N-diethylthiureate (1−) |
| etaai | N,N’-ethylene-bis(thioacetylacetonylideneiminate) (2−) |
| EtOpitc | O-ethyl(phenylimino)thiocarbonate (1−) |
| Hbiguan | 1,1-dimethylbiguanide |
| HDTCZ | dithiocarbazic acid |
| HEt2tcb | N,N-diethylthiocarbamoyl-benzamidinato (1−) |
| HNPPh3 | triphenylphosphoraneimine |
| i-mns | 1,1-dicyanoethene-2,2-diselenolate (2−) |
| isodtc | S-methyl-3-isopropyylidene-dithiocarbazate (1−) |
| Me–dtcz | S-methyl-2-methyldithiocarbazate (1−) |
| mnt | 1,2-dicyanoethene-1,2-dithiolate (2−) |
| morpba | N-[(morpholino)(thiocarbonyl)]-N’-(2-hydroxyphenyl)benzamidinate (2−) |
| MPO | pyridine-2-thiolate N-oxide (1−) |
| NaN3 | sodium azide |
| NCS | isothiocyanate (1−) |
| NOEt | N-ethoxy,N-ethyldithiocarbamate (1−) |
| O-cyclam | 1,4,8,11-tetraazacyclotetradecan-5-onate (1−) |
| OSiMe2OSiMe2O | 1,1,3,3-tetramethyldisiloxane-1,3-diolate (2−) |
| pentao | 3,3,11,11-tetramethyl-4,10-diazatridecane-2,12-dione dioximate (1−) |
| phen | phenanthroline |
| Ph2PCH2PPh2NH | diphenyl(diphenylphosphinomethyl)phosphanimine |
| PMe2Ph | dimethylphenylphosphine |
| pnao | 3,3,9,9-tetramethyl-4,8-diazaundecan-2,10-dione dioximate (1−) |
| PN(etOMe)P | bis(diphenylphosphinoethyl)methoxyethylamine |
| PNP | bis-phospninoamine |
| PNP1 | bis(2-(diphenylphosphino)ethyl)amine |
| PNP5 | bis(dimethoxypropylphosphinoethyl)-ethoxyethylamine |
| PNP7 | bis [2-(diphenylphosphino)propyl]methoxyethylamine |
| PN(Pr)P | bis(diphenylphosphinoethyl)propylamine |
| PNH2 | (o-aminophenyl)diphenylphosphine |
| POOP | 1,8-bis(diphenylphosphino)-3,6-dioxaoctane |
| POP | 1,5-bis(diphenylphosphino)-3-oxapentane |
| PPh2–py–P | diphenyl(2-pyridyl)phosphine-P |
| PPh3 | triphenylphosphine |
| PSP | bis(2-(diphenylphosphino)ethyl)sulfanyl |
| PStbu | 2-(di-t-butylphosphino)ethanethiolate (1−) |
| py | pyridine |
| SDH | succinic dihydrazide |
| saldtcz | S-methyl-3-(2-hydroxyphenylmethylene)-dithiocarbazate (2−) |
| SCH2CH2PCy2 | 2-(dicyclohexylphosphino)ethanethiolate (1−) |
| SCH2CH2PPh2 | diphenylphosphinoethanethiolate (1−) |
| SCH2CH2CH2PTol2 | di-p-tolylphosphinopropanethiolate (1−) |
| S2CO | dithiocarbonate (2−) |
| SCOCOS | dithiooxalate (2−) |
| Smetetraz | 2-mercapto-methyltetrazolate (1−) |
| SnCl2 | tin(II) chloride |
| (SPPh2)2N | bis(diphenylthiophosphoryl)amide (1−) |
| tcbatsc | N’-(1-(2-((((diethylcarbamothioyl)imino)(phenyl)methyl)amino)phenyl) ethylidene)-N-methylcarbamohydrazonothioate (2−) |
| teado | 1,5,8,12-tetraazadodecane |
| teatedd | 1,4,8,11-tetra-azacyclotetradecane-5,7-dionate (2−) |
| temiy | 1,3,4,5-tetramethylimidazol-2-ylidene |
| tmbt | 2,3,5,6-tetramethylbenzenethiolate (1−) |
| TMG | 1,1,2,2-tetramethyguanidine |
| tpty | 1,3,4-triphenyl-1,2,4-triazol-5-ylidene |
| triqui | 1,10b-dimethyl-5-phenyl-1,10b-dihydro[1,2,4]triazolo[1,5-]quinazoline-2-thiolate (1−) |
| Z–Val–dtc | Z-Val-S-methyl-2-methyldithiocarbazate (2−) |
References
- Griffith, W.P. Transition metal nitrido complexes. Coord. Chem. Rev. 1972, 8, 369–396. [Google Scholar] [CrossRef]
- Baldas, J.; Bonnyman, J.; Pojer, P.M.; Williams, G.A.; Mackay, M.F. Synthesis and structure of bis(diethyldithiocarbamato)nitridotechnetium(V): A technetium–nitrogen triple bond. J. Chem. Soc. Dalton Trans. 1981, 1798–1801. [Google Scholar] [CrossRef]
- Boschi, A.; Duatti, A.; Uccelli, L. Development of Technetium-99m and Rhenium-188 Radiopharmaceuticals Containing a Terminal Metal–Nitrido Multiple Bond for Diagnosis and Therapy. Top. Curr. Chem. 2005, 252, 85–115. [Google Scholar]
- Baldas, J. The chemistry of technetium nitrido complexes. In Technetium and Rhenium Their Chemistry and Its Applications; Yoshihara, K., Omori, T., Eds.; Topics in Current Chemistry; Springer: Berlin/Heidelberg, Germany, 1996; pp. 37–76. [Google Scholar]
- Bandoli, G.; Dolmella, A.; Porchia, M.; Refosco, F.; Tisato, F. Structural overview of technetium compounds (1993–1999). Coord. Chem. Rev. 2001, 214, 43–90. [Google Scholar] [CrossRef]
- Bandoli, G.; Tisato, F.; Dolmella, A.; Agostini, S. Structural overview of technetium compounds (2000–2004). Coord. Chem. Rev. 2006, 250, 561–573. [Google Scholar] [CrossRef]
- Tisato, F.; Refosco, F.; Bandoli, G. Structural survey of technetium complexes. Coord. Chem. Rev. 1994, 135–136, 325–397. [Google Scholar] [CrossRef]
- Tisato, F.; Bolzati, C.; Porchia, M.; Refosco, F. Contribution of electrospray mass spectrometry for the characterization, design, and development of nitrido technetium and rhenium heterocomplexes as potential radiopharmaceuticals. Mass Spectrom. Rev. 2004, 23, 309–332. [Google Scholar] [CrossRef]
- Allen, F.H. The Cambridge Structural Database: A quarter of a million crystal structures and rising. Acta Crystallogr. B 2002, 58, 380–388. [Google Scholar] [CrossRef]
- Macrae, C.F.; Bruno, I.J.; Chisholm, J.A.; Edgington, P.R.; McCabe, P.; Pidcock, E.; Rodriguez-Monge, L.; Taylor, R.; van de Streek, J.; Wood, P.A. Mercury CSD 2.0—New features for the visualization and investigation of crystal structures. J. Appl. Crystallogr. 2008, 41, 466–470. [Google Scholar] [CrossRef]
- Abram, U.; Dilworth, J.R. Technetium Complexes with 2-Mercapto-methyltetrazolate. Z. Anorg. Allg. Chem. 1999, 625, 609–612. [Google Scholar] [CrossRef]
- Braband, H.; Abram, U. Nitridotechnetium(V) Complexes with N-Heterocyclic Carbenes and Unexpected (OSiMe2 OSiMe2 O)2− Coligands. Organometallics 2005, 24, 3362–3364. [Google Scholar] [CrossRef]
- Rossi, R.; Marchi, A.; Magon, L.; Casellato, U.; Graziani, R. Notes. Synthesis and structure of a new inorganic dianionic bis(dithiocarbonato)nitridotechnetate(V) complex K2[TcN(S2CO)2]·2H2O. J. Chem. Soc. Dalton Trans. 1990, 2923–2925. [Google Scholar] [CrossRef]
- Colmanet, S.F.; Mackay, M.F. Crystal structures of (AsPh4)[TcO(SCOCOS)2] and (AsPh4)2[TcN(SCOCOS)2]. A comparison of the TcVO3+ and TcVN2+ cores in the same coordination environment. Inorg. Chim. Acta 1988, 147, 173–178. [Google Scholar] [CrossRef]
- Abram, U.; Münze, R.; Kirmse, R.; Köhler, K.; Dietzsch, W.; Golič, L. Mixed-ligand complexes of technetium IX. Oxidative ligand exchange reactions on tetraphenylarsonium-bis(dithiooxalato)nitridotechnetate(V), (Ph4As)2[TcN(dto)2]. X-ray crystal structure of a further modification of (Ph4As)2[TcN(dto)2]. Inorg. Chim. Acta 1990, 169, 49–53. [Google Scholar] [CrossRef]
- Williams, G.A.; Baldas, J. Structural Studies of Technetium Complexes. XI. The Crystal Structure of Bis(tetraphenylarsonium) Bis(1,2-dicyanoethenedithiolato)nitridotechnetate(V). Aust. J. Chem. 1989, 42, 875–884. [Google Scholar] [CrossRef]
- Dilworth, J.R.; Hübener, R.; Abram, U. Synthesis and Characterization of Bis(tetrabutylammonium) bis(isotrithionedithiolato-S,S′)nitridotechnetate(V), (Bu4N)2[TcN(dmit)2]. Z. Anorg. Allg. Chem. 1997, 623, 880–882. [Google Scholar] [CrossRef]
- Abram, U.; Abram, S.; Stach, J.; Dietzsch, W.; Hiller, W. Technetium Complexes with 1,1-Dicyanoethene-2,2-diselenolate, i-mns2− The Crystal Structure of (Bu4N)2[TcN(i-mns)2]. Z. Anorg. Allg. Chem. 1991, 617, 1185–1187. [Google Scholar] [CrossRef][Green Version]
- Baldas, J.; Boas, J.F.; Colmanet, S.F.; Williams, G.A. Synthesis and structure of di-µ-oxo nitridotechnetium(VI) dimers and a monomeric nitridotechnetium(V) mixed-ligand complex. J. Chem. Soc. Dalton Trans. 1992, 2845–2853. [Google Scholar] [CrossRef]
- Abram, U.; Lang, E.S.; Abram, S.; Wegmann, J.; Dilworth, J.R.; Kirmse, R.; Woollins, J.D. Technetium(V) and rhenium(V) nitrido complexes with bis(diphenyl-thiophosphoryl)amide, N(SPPh2)2−. J. Chem. Soc. Dalton Trans. 1997, 623–630. [Google Scholar] [CrossRef]
- Bolzati, C.; Malagò, E.; Boschi, A.; Cagnolini, A.; Porchia, M.; Bandoli, G. Symmetric bis-substituted and asymmetric mono-substituted nitridotechnetium complexes with heterofunctionalized phosphinothiolate ligands. New J. Chem. 1999, 23, 807–809. [Google Scholar] [CrossRef]
- Bolzati, C.; Boschi, A.; Uccelli, L.; Malagò, E.; Bandoli, G.; Tisato, F.; Refosco, F.; Pasqualini, R.; Duatti, A. Synthesis of a Novel Class of Trigonal Bipyramidal Nitrido Tc(V) Complexes with Phosphino-Thiol Ligands. Crystal Structure of [99gTc(N)(L1)2] [L1 = 2-(Diphenylphosphino)ethanethiolato] and [99gTc(N)(L5)2] [L5 = 2-(Ditolylphosphino)propanethiolato]. Inorg. Chem. 1999, 38, 4473–4479. [Google Scholar] [CrossRef] [PubMed]
- Baldas, J.; Bonnyman, J.; Williams, G.A. Studies of technetium complexes. 9. Use of the tetrachloronitridotechnetate(VI) anion for the preparation of nitrido complexes of technetium. Crystal structure of bis(8-quinolinethiolato)nitridotechnetium(V). Inorg. Chem. 1986, 25, 150–153. [Google Scholar] [CrossRef]
- Duatti, A.; Marchi, A.; Pasqualini, R. Formation of the Tc=N multiple bond from the reaction of ammonium pertechnetate with S-methyl dithiocarbazate and its application to the preparation of technetium-99m radiopharmaceuticals. J. Chem. Soc. Dalton Trans. 1990, 3729–3733. [Google Scholar] [CrossRef]
- Abram, U.; Abram, S.; Dilworth, J.R. Gemischtligandkomplexe des Technetiums. XV. Zur Reaktion von [TcNCl2(Me2PhP)3] mit Dialkyldithiocarbamaten und N,N-Dialkylthiocarbamoylbenzamidinen. Z. Anorg. Allg. Chem. 1996, 622, 1257–1262. [Google Scholar] [CrossRef]
- Cros, G.; Belhadj Tahar, H.; de Montauzon, D.; Gleizes, A.; Coulais, Y.; Guiraud, R.; Bellande, E.; Pasqualini, R. Synthesis and characterization of neutral oxorhenium(V) and nitridotechnetium(V) complexes with a tetradentate N2S2 unsaturated ligand derived from dithiocarboxylic acid. Inorg. Chim. Acta 1994, 227, 25–31. [Google Scholar] [CrossRef]
- Tisato, F.; Mazzi, U.; Bandoli, G.; Cros, G.; Darbieu, M.-H.; Coulais, Y.; Guiraud, R. Neutral oxo and nitrido complexes of technetium(V) and rhenium(V) with an unsaturated tetradentate (N2S2) ligand. Crystal structure of [N,N′-ethylenebis(thioacetylacetonylideneiminato](2−)S,S′,N,N′) nitridotechnetium(V). J. Chem. Soc. Dalton Trans. 1991, 1301–1307. [Google Scholar] [CrossRef]
- Nguyen, H.H.; Castillo Gomez, J.D.; Abram, U. ReVN and TcVN complexes with a novel tetradentate hybrid benzamidine/thiosemicarbazone ligand. Inorg. Chem. Commun. 2012, 26, 72–76. [Google Scholar] [CrossRef]
- Oehlke, E.; Kong, S.; Arciszewski, P.; Wiebalck, S.; Abram, U. Aryl and NHC Compounds of Technetium and Rhenium. J. Am. Chem. Soc. 2012, 134, 9118–9121. [Google Scholar] [CrossRef]
- De Vries, N.; Costello, C.E.; Jones, A.G.; Davison, A. Technetium nitrido complexes with amine and thiolate ligands: Structural characterizations of nitridobis(1,1,2,2-tetramethylguanidine)bis(2,3,5,6-tetramethylbenzenethiolato)technetium, a complex with coordinatively bound 1,1,2,2-tetramethylguanidine. Inorg. Chem. 1990, 29, 1348–1352. [Google Scholar] [CrossRef]
- Abrams, M.J.; Larsen, S.K.; Shaikh, S.N.; Zubieta, J. Investigations of technetium-organohydrazine coordination chemistry. The crystal and molecular structures of [TcCl2(C8H5N4)(PPh3)2]·0.75C7H8 and [TcNCl2(PPh3)2]·0.25CH2Cl2. Inorg. Chim. Acta 1991, 185, 7–15. [Google Scholar] [CrossRef]
- Gernert, M.B.; Hiller, W.; Dilworth, J.R.; Parrott, S.J. Crystal structure of dichlorobis(triphenylphosphine)nitridotechnetium(V), TcNCl2((C6H5)3P)2. Z. Krist. Cryst. Mater. 2010, 210, 961–962. [Google Scholar] [CrossRef]
- Abram, U.; Alberto, R.; Dilworth, J.R.; Zheng, Y.; Ortner, K. Rhenium and technetium complexes with diphenyl(2-pyridyl)phosphine. Polyhedron 1999, 18, 2995–3003. [Google Scholar] [CrossRef]
- Baldas, J.; Boas, J.F.; Colmanet, S.F.; Williams, G.A. Electron spin resonance studies of the oxidation of [TcVNCl2(EPh3)2] (E = P or As) to [TcVINCl4]− by thionyl chloride: Structure of dichloronitridobis(triphenylarsine)-technetium(V). J. Chem. Soc. Dalton Trans. 1991, 2441–2447. [Google Scholar] [CrossRef]
- Abram, U.; Hagenbach, A. trans-[TcNCl2(Ph3PNH)2]—Synthesis and Structure. Z. Anorg. Allg. Chem. 2002, 628, 1719–1720. [Google Scholar] [CrossRef]
- Nguyen, H.H.; Trieu, T.N.; Abram, U. Syntheses and Structures of Nitridorhenium(V) and Nitridotechnetium(V) Complexes with N,N-[(Dialkylamino)(thiocarbonyl)]-N′-(2-hydroxyphenyl)benzamidines. Z. Anorg. Allg. Chem. 2011, 637, 1330–1333. [Google Scholar] [CrossRef]
- Cattabriga, M.; Marchi, A.; Marvelli, L.; Rossi, R.; Vertuani, G.; Pecoraro, R.; Scatturin, A.; Bertolasi, V.; Ferretti, V. Synthesis and structural characterization of technetium and rhenium complexes containing derivatized amino acids. J. Chem. Soc. Dalton Trans. 1998, 1453–1460. [Google Scholar] [CrossRef]
- Abram, U.; Abram, S.; Münze, R.; Jäger, E.-G.; Stach, J.; Kirmse, R.; Admiraal, G.; Beurskens, P.T. Mixed-ligand complexes of technetium Part XI. Nitridotechnetium complexes with tri- and tetradentate azomethines. X-ray molecular and crystal structure of [N-(2-ethoxycarbonyl-3-oxo-but-1-en(1)yl)-2-aminophenolato](triphenylphosphine)nitridotechnetium(V), TcN(ecbap)(Ph3P). Inorg. Chim. Acta 1991, 182, 233–238. [Google Scholar]
- Ritter, S.; Abram, U.; Dilworth, J.R. Gemischtligandkomplexe des Technetiums. XVI. Darstellung und Struktur von (1,2-Dicyanoethen-1,2-dithiolato)bis(dimethylphenylphosphan)nitridotechnetium(V), [TcN(Me2PhP)2(mnt)]. Z. Anorg. Allg. Chem. 1996, 622, 1975–1978. [Google Scholar] [CrossRef]
- Rossi, R.; Marchi, A.; Aggio, S.; Magon, L.; Duatti, A.; Casellato, U.; Graziani, R. The chemistry of heteroallyl derivatives of technetium. Reactivity of [TcNCl2(PPh3)2] and [Tc(CO)3Cl(PPh3)] with thiazetidine ligands, crystal structures of [Tc(CO)2(PPh3)2{PhNC(OEt)S}] and [TcN(Cl)(PPh3)-{PhNC(OEt)S}]. J. Chem. Soc. Dalton Trans. 1990, 477–481. [Google Scholar] [CrossRef]
- Bolzati, C.; Cavazza-Ceccato, M.; Agostini, S.; Tisato, F.; Bandoli, G. Technetium and Rhenium in Five-Coordinate Symmetrical and Dissymmetrical Nitrido Complexes with Alkyl Phosphino-thiol Ligands. Synthesis and Structural Characterization. Inorg. Chem. 2008, 47, 11972–11983. [Google Scholar] [CrossRef]
- Marchi, A.; Rossi, R.; Marvelli, L.; Bertolasi, V. Nitrido-technetium(V) complexes with amino acids: Preparation and X-ray crystal structure of the l-cysteinate ethyl ester technetium(V) complex. Inorg. Chem. 1993, 32, 4673–4674. [Google Scholar] [CrossRef]
- Hecht, M.; Anaya, S.S.; Hagenbach, A.; Abram, U. Rhenium(V) and Technetium(V) Complexes with Phosphoraneimine and Phosphoraneiminato Ligands. Inorg. Chem. 2005, 44, 3172–3180. [Google Scholar] [CrossRef] [PubMed]
- Baldas, J.; Boas, J.F.; Colmanet, S.F.; Mackay, M.F. Preparation and structure of bis(tetraphenylarsonium) trans-aquatetracyanonitridotechnetate(V) pentahydrate. ESR studies of the [TcN(CN)4(OH2)]2−/[TcNCl4]− System. Inorg. Chim. Acta 1990, 170, 233–239. [Google Scholar] [CrossRef]
- Ikeda, H.; Yoshimura, T.; Ito, A.; Sakuda, E.; Kitamura, N.; Takayama, T.; Sekine, T.; Shinohara, A. Photoluminescence Switching with Changes in the Coordination Number and Coordinating Volatile Organic Compounds in Tetracyanidonitridorhenium(V) and -technetium(V) Complexes. Inorg. Chem. 2012, 51, 12065–12074. [Google Scholar] [CrossRef]
- Rochon, F.D.; Melanson, R.; Kong, P.-C. Synthesis and crystal structures of nitrido diphosphinoethane technetium(V) complexes. Polyhedron 1996, 15, 2641–2646. [Google Scholar] [CrossRef]
- Marchi, A.; Garuti, P.; Duatti, A.; Magon, L.; Rossi, R.; Ferretti, V.; Bertolasi, V. Synthesis of technetium(V)-nitrido complexes with chelating amines: A novel class of monocationic, octahedral complexes containing the [Tc≡N]2+ core. Crystal structures of [TcN(en)2Cl]+ (en = ethylenediamine) and [TcN(tad)Cl]+ (tad = 1,5,8,12-tetraazadodecane). Inorg. Chem. 1990, 29, 2091–2096. [Google Scholar]
- Clarke, M.J.; Lu, J. Synthesis and spectra of cis-chloronitridobis(phenanethroline)technetium(1+) chloride hydrate and hexafluorophosphate and considerations of their structural distortions. Inorg. Chem. 1992, 31, 2476–2480. [Google Scholar] [CrossRef]
- Archer, C.M.; Dilworth, J.R.; Griffiths, D.V.; McPartlin, M.; Kelly, J.D. Synthesis of technetium-99 nitrido complexes with chelating diphosphine and diimine ligands. J. Chem. Soc. Dalton Trans. 1992, 183–189. [Google Scholar] [CrossRef]
- Duatti, A.; Marchi, A.; Bertolasi, V.; Ferretti, V. Isolation and crystal structure of a technetium(V) nitrido complex containing a coordinated transient state of N-(2-aminoethyl)carbamic acid. J. Am. Chem. Soc. 1991, 113, 9680–9682. [Google Scholar] [CrossRef]
- Marchi, A.; Marvelli, L.; Cattabriga, M.; Rossi, R.; Neves, M.; Bertolasi, V.; Ferretti, V. Technetium(V) and rhenium(V) complexes of biguanide derivatives. Crystal structures. J. Chem. Soc. Dalton Trans. 1999, 1937–1944. [Google Scholar] [CrossRef]
- Marchi, A.; Rossi, R.; Magon, L.; Duatti, A.; Casellato, U.; Graziani, R.; Vidal, M.; Riche, F. Technetium(V) nitrido complexes with tetra-azamacrocycles: Monocationic and neutral octahedral complexes containing the [TcN]2+ core. Crystal structure of [TcN(L1)H2O]·2H2O (H2L1 = 1,4,8,11-tetra-azacyclotetradecane-5,7-dione). J. Chem. Soc. Dalton Trans. 1990, 1935–1940. [Google Scholar] [CrossRef]
- Kani, Y.; Takayama, T.; Inomata, S.; Sekine, T.; Kudo, H. Synthesis and Structure of Nitridotechnetium(V) Complex of Tetradentate Amine Oxime [TcN(pnao)(H2O)]+. Chem. Lett. 1995, 24, 1059–1060. [Google Scholar] [CrossRef]
- Kani, Y.; TakayamaTsutomuSekine, T.; Kudo, H. Crystal structures of nitridotechnetium(V) complexes of amine oximes differing in carbon chain lengths. J. Chem. Soc. Dalton Trans. 1999, 209–214. [Google Scholar] [CrossRef]
- Pietzsch, H.-J.; Spies, H.; Liebnitz, P.; Reck, G. Technetium complexes with thioether ligands—III. Synthesis and structural characterization of cationic nitridotechnetium(V) complexes with thiacrown ethers. Polyhedron 1993, 12, 2995–3002. [Google Scholar] [CrossRef]
- Bertolasi, V.; Ferretti, V.; Gilli, P.; Marchi, A.; Marvelli, L. Structure of trans-aquanitrido(1,4,8,11-tetraazacyclotetradecan-5-onato-N,N’,N’’,N’’’)technetium(V) chloride dihydrate. Acta Crystallogr. C 1991, 47, 2535–2539. [Google Scholar] [CrossRef]
- Baldas, J.; Bonnyman, J.; Williams, G.A. Structural studies of technetium complexes. Part 4. The crystal structure of trans,trans-acetonitriledi-isothiocyanato(nitrido)bis-(triphenylphosphine)technetium(V)–acetonitrile (1/0.5). J. Chem. Soc. Dalton Trans. 1984, 833–837. [Google Scholar] [CrossRef]
- Batsanov, A.S.; Struchkov, Y.T.; Lorenz, B.; Olk, B. Röntgenstrukturanalyse von 15N-Nitridodichlorotris(dimethylphenylphenylphosphin)technetium(V). Z. Anorg. Allg. Chem. 1988, 564, 129–134. [Google Scholar] [CrossRef]
- Tisato, F.; Refosco, F.; Porchia, M.; Bolzati, C.; Bandoli, G.; Dolmella, A.; Duatti, A.; Boschi, A.; Jung, C.M.; Pietzsch, H.-J.; et al. The Crucial Role of the Diphosphine Heteroatom X in the Stereochemistry and Stabilization of the Substitution-Inert [M(N)(PXP)]2+ Metal Fragments (M = Tc, Re; PXP = Diphosphine Ligand). Inorg. Chem. 2004, 43, 8617–8625. [Google Scholar] [CrossRef]
- Yoshimura, T.; Nagata, K.; Shiroyama, T.; Kino, Y.; Takayama, T.; Sekine, T.; Shinohara, A. A luminescent dicyanidonitridotechnetium(V) core with tridentate ligand coordination sites. Dalton Trans. 2018, 47, 16027–16030. [Google Scholar] [CrossRef]
- Dilworth, J.R.; Griffiths, D.V.; Hughes, J.M.; Morton, S.; Hiller, W.; Archer, C.M.; Kelly, J.D.; Walton, G. Technetium complexes of capped tetradentate ligands I. The synthesis and crystal and molecular structure of [TcBr2N{(pyCH2)2NCH2CMe2SCH2Ph}] (py = 2-pyridyl) and its behaviour in solution. Inorg. Chim. Acta 1992, 192, 59–63. [Google Scholar] [CrossRef]
- Ikeda, H.; Ito, A.; Sakuda, E.; Kitamura, N.; Takayama, T.; Sekine, T.; Shinohara, A.; Yoshimura, T. Excited-State Characteristics of Tetracyanidonitridorhenium(V) and -technetium(V) Complexes with N-Heteroaromatic Ligands. Inorg. Chem. 2013, 52, 6319–6327. [Google Scholar] [CrossRef] [PubMed]
- Marchi, A.; Marvelli, L.; Rossi, R.; Magon, L.; Uccelli, L.; Bertolasi, V.; Ferretti, V.; Zanobini, F. Nitrido-technetium and -rhenium complexes with chelating phosphines: Synthesis, reactivity and crystal structures. J. Chem. Soc. Dalton Trans. 1993, 1281–1286. [Google Scholar] [CrossRef]
- Bolzati, C.; Boschi, A.; Duatti, A.; Prakash, S.; Uccelli, L.; Refosco, F.; Tisato, F.; Bandoli, G. Geometrically Controlled Selective Formation of Nitrido Technetium(V) Asymmetrical Heterocomplexes with Bidentate Ligands. J. Am. Chem. Soc. 2000, 122, 4510–4511. [Google Scholar] [CrossRef]
- Bolzati, C.; Boschi, A.; Uccelli, L.; Tisato, F.; Refosco, F.; Cagnolini, A.; Duatti, A.; Prakash, S.; Bandoli, G.; Vittadini, A. Chemistry of the Strong Electrophilic Metal Fragment [99Tc(N)(PXP)]2+ (PXP = Diphosphine Ligand). A Novel Tool for the Selective Labeling of Small Molecules. J. Am. Chem. Soc. 2002, 124, 11468–11479. [Google Scholar] [CrossRef]
- Figgis, B.N.; Reynolds, P.A.; Larsen, F.K.; Williams, G.A.; Delfs, C.D. Low-Temperature Structure and Magnetic Properties of Tetraphenylarsonium Tetrachloronitridotechnetate(VI). Aust. J. Chem. 1996, 49, 633–637. [Google Scholar] [CrossRef]
- Abram, U.; Hübener, R.; Wollert, R.; Kirmse, R.; Hiller, W. Synthesis, characterization and reactions of [Tc(NS)X4]− complexes (X = Cl, Br, NCS). Inorg. Chim. Acta 1993, 206, 9–14. [Google Scholar] [CrossRef]
- Baldas, J.; Colmanet, S.F.; Williams, G.A. Preparation of the technetium(VI) aquanitrido complexes (NEt4)[TcNX4(OH2)] (X = Cl or Br). Crystal structures of (NEt4)[TcNBr4(OH2)] and Cs2[TcNCl5]. Inorg. Chim. Acta 1991, 179, 189–194. [Google Scholar] [CrossRef]
- Lorenz, B.; Kränke, P.; Schmidt, K.; Krimse, R.; Hübener, R.; Abram, U. Synthese, EPR und Röntgenkristallstrukturanalyse von mer-Trichloro(2,2′-bipyridin)nitridotechnetium(VI), einem neuen Nitridokomplex des Technetium(VI). Z. Anorg. Allg. Chem. 1994, 620, 921–925. [Google Scholar] [CrossRef]
- Addison, A.W.; Rao, T.N.; Reedijk, J.; van Rijn, J.; Verschoor, G.C. Synthesis, structure, and spectroscopic properties of copper(II) compounds containing nitrogen–sulphur donor ligands; the crystal and molecular structure of aqua[1,7-bis(N-methylbenzimidazol-2′-yl)-2,6-dithiaheptane]copper(II) perchlorate. J. Chem. Soc. Dalton Trans. 1984, 1349–1356. [Google Scholar] [CrossRef]
- Konno, T.; Tokuda, K.; Sakurai, J.; Okamoto, K. Five-Coordinate Geometry of Cadmium(II) with Octahedral Bidentate-S,S Complex-Ligand cis(S)-[Co(aet)2(en)]+ (aet = 2-aminoethanethiolate): Synthesis, Crystal Structures and Interconversion of S-Bridged CoIIICdII Polynuclear Complexes. Bull. Chem. Soc. Jpn. 2000, 73, 2767–2773. [Google Scholar] [CrossRef]
- Boschi, A.; Bolzati, C.; Benini, E.; Malagò, E.; Uccelli, L.; Duatti, A.; Piffanelli, A.; Refosco, F.; Tisato, F. A Novel Approach to the High-Specific-Activity Labeling of Small Peptides with the Technetium-99m Fragment [99mTc(N)(PXP)]2+ (PXP = Diphosphine Ligand). Bioconjug. Chem. 2001, 12, 1035–1042. [Google Scholar] [CrossRef] [PubMed]
- Bolzati, C.; Benini, E.; Cazzola, E.; Jung, C.; Tisato, F.; Refosco, F.; Pietzsch, H.-J.; Spies, H.; Uccelli, L.; Duatti, A. Synthesis, Characterization, and Biological Evaluation of Neutral Nitrido Technetium(V) Mixed Ligand Complexes Containing Dithiolates and Aminodiphosphines. A Novel System for Linking Technetium to Biomolecules. Bioconjug. Chem. 2004, 15, 628–637. [Google Scholar] [CrossRef] [PubMed]
- Baldas, J.; Bonnyman, J. Substitution reactions of 99mTcNCl4−—A route to a new class of 99mTc-radiopharmaceuticals. Int. J. Appl. Radiat. Isot. 1985, 36, 133–139. [Google Scholar] [CrossRef]
- Baldas, J.; Bonnyman, J. 99mTc-nitrido radiopharmaceuticals based on nitrogen heterocyclic ligands containing a thiol group. Int. J. Rad. Appl. Instrum. B 1988, 15, 451–457. [Google Scholar] [CrossRef]
- Marchi, A.; Duatti, A.; Rossi, R.; Magon, L.; Pasqualini, R.; Bertolasi, V.; Ferretti, V.; Gilli, G. Technetium(V)-nitrido complexes of dithiocarbazic acid derivatives. Reactivity of [Tc≡N]2+ core towards Schiff bases derived from S-methyl dithiocarbazate. Crystal structures of [S-methyl 3-(2-hydroxyphenylmethylene)dithiocarbazato]nitrido(triphenylphosphine)technetium(V) and bis(S-methyl 3-isopropylidenedithiocarbazato)nitridotechnetium(V). J. Chem. Soc. Dalton Trans. 1988, 1743–1749. [Google Scholar] [CrossRef]
- Pasqualini, R.; Comazzi, V.; Bellande, E.; Duatti, A.; Marchi, A. A new efficient method for the preparation of 99mTc-radiopharmaceuticals containing the Tc≡N multiple bond. Int. J. Rad. Appl. Instrum. 1992, 43, 1329–1333. [Google Scholar] [CrossRef]
- Pasqualini, R.; Duatti, A. Synthesis and characterization of the new neutral myocardial imaging agent [99mTcN(noet)2](noet = N-ethyl-N-ethoxydithiocarbamato). J. Chem. Soc. Chem. Commun. 1992, 1354–1355. [Google Scholar] [CrossRef]
- Bellande, E.; Charmoille, M.; Pasqualini, R. Synthesis of 186Re Nitrido Complexes; Nicolini, M., Mazzi, U., Eds.; SGE Editoriali-Padova Italy: Padova, Italy, 1999; Volume 5, pp. 149–152. [Google Scholar]
- Carta, D.; Jentschel, C.; Thieme, S.; Salvarese, N.; Morellato, N.; Refosco, F.; Ruzza, P.; Bergmann, R.; Pietzsch, H.-J.; Bolzati, C. Assessment of the best N3− donors in preparation of [M(N)(PNP)]-based (M = 99mTc-; 188Re) target-specific radiopharmaceuticals: Comparison among succinic dihydrazide (SDH), N-methyl-S-methyl dithiocarbazate (HDTCZ) and PEGylated N-methyl-S-methyl dithiocarbazate (HO2C-PEG600-DTCZ). Nucl. Med. Biol. 2014, 41, 570–581. [Google Scholar]
- Thieme, S.; Agostini, S.; Bergmann, R.; Pietzsch, J.; Pietzsch, H.-J.; Carta, D.; Salvarese, N.; Refosco, F.; Bolzati, C. Synthesis, characterization and biological evaluation of [188Re(N)(cys∼)(PNP)]+/0 mixed-ligand complexes as prototypes for the development of 188Re(N)-based target-specific radiopharmaceuticals. Nucl. Med. Biol. 2011, 38, 399–415. [Google Scholar] [CrossRef]
- Boschi, A.; Bolzati, C.; Uccelli, L.; Duatti, A. High-yield synthesis of the terminal 188Re≡N multiple bond from generator-produced [188ReO4]−. Nucl. Med. Biol. 2003, 30, 381–387. [Google Scholar] [CrossRef]
- Dahlberg, S.T. Assessment of myocardial perfusion with Tc-99m: Image is everything. J. Nucl. Cardiol. 2009, 16, 493–496. [Google Scholar] [CrossRef] [PubMed]
- Beller, G.A. Recent advances and future trends in multimodality cardiac imaging. Heart Lung Circ. 2010, 19, 193–209. [Google Scholar] [CrossRef] [PubMed]
- Pasqualini, R.; Duatti, A.; Bellande, E.; Comazzi, V.; Brucato, V.; Hoffschir, D.; Fagret, D.; Comet, M. Bis(Dithiocarbamato) Nitrido Technetium-99m Radiopharmaceuticals: A Class of Neutral Myocardial Imaging Agents. J. Nucl. Med. 1994, 35, 334–341. [Google Scholar] [PubMed]
- Vanzetto, G.; Fagret, D.; Pasqualini, R.; Mathieu, J.P.; Chossat, F.; Machecourt, J. Biodistribution, Dosimetry, and Safety of Myocardial Perfusion Imaging Agent 99mTcN-NOET in Healthy Volunteers. J. Nucl. Med. 2000, 41, 141–148. [Google Scholar] [PubMed]
- Ghezzi, C.; Fagret, D.; Arvieux, C.C.; Mathieu, J.-P.; Bontron, R.; Pasqualini, R.; de Leiris, J.; Comet, M. Myocardial Kinetics of TcN-NOET: A Neutral Lipophilic Complex Tracer of Regional Myocardial Blood Flow. J. Nucl. Med. 1995, 36, 1069–1077. [Google Scholar] [PubMed]
- Holly, T.A.; Leppo, J.A.; Gilmore, M.P.; Reinhardt, C.P.; Dahlberg, S.T. The effect of ischemic injury on the cardiac transport of Tc-99m N-NOET in the isolated rabbit heart. J. Nucl. Cardiol. 1999, 6, 633–640. [Google Scholar] [CrossRef]
- Takehana, K.; Beller, G.A.; Ruiz, M.; Petruzella, F.D.; Watson, D.D.; Glover, D.K. Assessment of Residual Coronary Stenoses Using 99mTc-N-NOET Vasodilator Stress Imaging to Evaluate Coronary Flow Reserve Early After Coronary Reperfusion in a Canine Model of Subendocardial Infarction. J. Nucl. Med. 2001, 42, 1388–1394. [Google Scholar]
- Calnon, D.A.; Ruiz, M.; Vanzetto, G.; Watson, D.D.; Beller, G.A.; Glover, D.K. Myocardial Uptake of 99mTc-N-NOET and 201Tl During Dobutamine Infusion. Circulation 1999, 100, 1653–1659. [Google Scholar] [CrossRef][Green Version]
- Vanzetto, G.; Calnon, D.A.; Ruiz, M.; Watson, D.D.; Pasqualini, R.; Beller, G.A.; Glover, D.K. Myocardial Uptake and Redistribution of 99mTc-N-NOET in Dogs with either Sustained Coronary Low Flow or Transient Coronary Occlusion. Circulation 1997, 96, 2325–2331. [Google Scholar] [CrossRef]
- Fagret, D.; Marie, P.-Y.; Brunotte, F.; Giganti, M.; Guludec, D.L.; Bertrand, A.; Wolf, J.-E.; Piffanelli, A.; Chossat, F.; Bekhechi, D.; et al. Myocardial Perfusion Imaging with Technetium-99m-Tc NOET: Comparison with Thallium-201 and Coronary Angiography. J. Nucl. Med. 1995, 36, 936–943. [Google Scholar]
- Uccelli, L.; Giganti, M.; Duatti, A.; Bolzati, C.; Pasqualini, R.; Cittanti, C.; Colamussi, P.; Piffanelli, A. Subcellular Distribution of Technetium-99m-N-NOEt in Rat Myocardium. J. Nucl. Med. 1995, 36, 2075–2079. [Google Scholar] [PubMed]
- Riou, L.; Ghezzi, C.; Pasqualini, R.; Fagret, D. Influence of calcium channel inhibitors on the myocardial uptake and retention of technetium-99m N-NOET, a new myocardial perfusion imaging agent: A study on isolated perfused rat hearts. J. Nucl. Cardiol. 2000, 7, 365–372. [Google Scholar] [CrossRef] [PubMed]
- Fagret, D.; Ghezzi, C.; Vanzetto, G. 99mTc-N-NOET Imaging for Myocardial Perfusion: Can It Offer More Than We Already Have? J. Nucl. Med. 2001, 42, 1395–1396. [Google Scholar] [PubMed]
- Bottlaender, M.; Bourguignon, M.; Maziere, M. Technetium-99m nitrido dithiocarbamate complex with lateral ester groups: A potential agent for cerebral perfusion. Direct labeling and kinetic results in baboons. J. Nucl. Med. 1994, 35, 154–164. [Google Scholar]
- Bolzati, C.; Uccelli, L.; Boschi, A.; Malagò, E.; Duatti, A.; Tisato, F.; Refosco, F.; Pasqualini, R.; Piffanelli, A. Synthesis of a novel class of nitrido Tc-99m radiopharmaceuticals with phosphino-thiol ligands showing transient heart uptake. Nucl. Med. Biol. 2000, 27, 369–374. [Google Scholar] [CrossRef]
- Bolzati, C.; Benini, E.; Cavazza-Ceccato, M.; Cazzola, E.; Malagò, E.; Agostini, S.; Tisato, F.; Refosco, F.; Bandoli, G. From Symmetrical to Asymmetrical Nitrido Phosphino-thiol Complexes: A New Class of Neutral Mixed-Ligand 99mTc Compounds as Potential Brain Imaging Agents. Bioconjug. Chem. 2006, 17, 419–428. [Google Scholar] [CrossRef]
- Bolzati, C.; Salvarese, N.; Carta, D.; Refosco, F.; Dolmella, A.; Pietzsch, H.J.; Bergmann, R.; Bandoli, G. Synthesis and biological evaluation of new [Tc(N)(PS)]-based mixed-ligand compounds useful in the design of target-specific radiopharmaceuticals: The 2-methoxyphenylpiperazine dithiocarbamate derivatives as an example. J. Biol. Inorg. Chem. 2011, 16, 137–155. [Google Scholar] [CrossRef]
- Boschi, A.; Bolzati, C.; Uccelli, L.; Duatti, A.; Benini, E.; Refosco, F.; Tisato, F.; Piffanelli, A. A class of asymmetrical nitrido Tc-99m heterocomplexes as heart imaging agents with improved biological properties. Nucl. Med. Commun. 2002, 23, 689–693. [Google Scholar] [CrossRef]
- Boschi, A.; Uccelli, L.; Bolzati, C.; Duatti, A.; Sabba, N.; Moretti, E.; Domenico, G.D.; Zavattini, G.; Refosco, F.; Giganti, M. Synthesis and Biologic Evaluation of Monocationic Asymmetric 99mTc-Nitride Heterocomplexes Showing High Heart Uptake and Improved Imaging Properties. J. Nucl. Med. 2003, 44, 806–814. [Google Scholar]
- Kim, Y.-S.; He, Z.; Hsieh, W.-Y.; Liu, S. Impact of Bidentate Chelators on Lipophilicity, Stability, and Biodistribution Characteristics of Cationic 99mTc-Nitrido Complexes. Bioconjug. Chem. 2007, 18, 929–936. [Google Scholar] [CrossRef]
- Kim, Y.-S.; Shi, J.; Zhai, S.; Hou, G.; Liu, S. Mechanism for myocardial localization and rapid liver clearance of Tc-99m-N-MPO: A new perfusion radiotracer for heart imaging. J. Nucl. Cardiol. 2009, 16, 571–579. [Google Scholar] [CrossRef] [PubMed]
- Bolzati, C.; Cavazza-Ceccato, M.; Agostini, S.; Refosco, F.; Yamamichi, Y.; Tokunaga, S.; Carta, D.; Salvarese, N.; Bernardini, D.; Bandoli, G. Biological in Vitro and in Vivo Studies of a Series of New Asymmetrical Cationic [99mTc(N)(DTC-Ln)(PNP)]+ Complex (DTC-Ln = Alicyclic Dithiocarbamate and PNP = Diphosphinoamine). Bioconjug. Chem. 2010, 21, 928–939. [Google Scholar] [CrossRef] [PubMed]
- Salvarese, N.; Carta, D.; Marzano, C.; Gerardi, G.; Melendez-Alafort, L.; Bolzati, C. [99mTc][Tc(N)(DASD)(PNPn)]+ (DASD = 1,4-Dioxa-8-azaspiro[4,5]decandithiocarbamate, PNPn = Bisphosphinoamine) for Myocardial Imaging: Synthesis, Pharmacological and Pharmacokinetic Studies. J. Med. Chem. 2018, 61, 11114–11126. [Google Scholar] [CrossRef] [PubMed]
- Bolzati, C.; Refosco, F.; Cagnolini, A.; Tisato, F.; Boschi, A.; Duatti, A.; Uccelli, L.; Dolmella, A.; Marotta, E.; Tubaro, M. Synthesis, Solution-State and Solid-State Structural Characterization of Monocationic Nitrido Heterocomplexes [M(N)(DTC)(PNP)]+ (M = 99Tc, Re; DTC = Dithiocarbamate; PNP = Heterodiphosphane). Eur. J. Inorg. Chem. 2004, 2004, 1902–1913. [Google Scholar] [CrossRef]
- Hatada, K.; Ruiz, M.; Riou, L.M.; Lima, R.L.; Goode, A.R.; Watson, D.D.; Beller, G.A.; Glover, D.K. Organ biodistribution and myocardial uptake, washout, and redistributionkinetics of Tc-99m N-DBODC5 when injected during vasodilator stress in canine models of coronary stenoses. J. Nucl. Cardiol. 2006, 6, 779–790. [Google Scholar] [CrossRef]
- Glover, D.K.; Ruiz, M.; Yang, J.Y.; Smith, W.H.; Watson, D.D.; Beller, G.A. Myocardial 99mTc-tetrofosmin uptake during adenosine-induced vasodilatation with either a critical or mild coronary stenosis: Comparison with 201Tl and regional myocardial blood flow. Circulation 1997, 96, 2332–2338. [Google Scholar] [CrossRef]
- Glover, D.K.; Ruiz, M.; Takehana, K.; Petruzella, F.D.; Riou, L.M.; Rieger, J.M.; Macdonald, T.L.; Watson, D.D.; Linden, J.; Beller, G.A. Pharmacological stress myocardial perfusion imaging with the potent and selective A(2A) adenosine receptor agonists ATL193 and ATL146e administered by either intravenous infusion or bolus injection. Circulation 2001, 104, 1181–1187. [Google Scholar] [CrossRef]
- Glover, D.K.; Ruiz, M.; Edwards, N.C.; Cunningham, M.; Simanis, J.P.; Smith, W.H.; Watson, D.D.; Beller, G.A. Comparison between 201Tl and 99mTcsestamibi uptake during adenosine-induced vasodilatation as a function of coronary stenosis severity. Circulation 1995, 91, 813–820. [Google Scholar] [CrossRef]
- Rumsey, W.L.; Rosenspire, K.C.; Nunn, A.D. Myocardial extraction of teboroxime: Effects of teboroxime interaction with blood. J. Nucl. Med. 1992, 33, 94–101. [Google Scholar]
- Vanzetto, G.; Glover, D.K.; Ruiz, M.; Calnon, D.A.; Pasqualini, R.; Watson, D.D.; Beller, G.A. 99mTc-NNOET myocardial uptake reflects myocardial blood flow and not viability in dogs with reperfused acute myocardial infarction. Circulation. 2000, 101, 2424–2430. [Google Scholar] [CrossRef]
- Bolzati, C.; Cavazza-Ceccato, M.; Agostini, S.; Tokunaga, S.; Casara, D.; Bandoli, G. Subcellular Distribution and Metabolism Studies of the Potential Myocardial Imaging Agent [99mTc(N)(DBODC)(PNP5)]+. J. Nucl. Med. 2008, 49, 1336–1344. [Google Scholar] [CrossRef] [PubMed]
- Bolzati, C.; Carta, D.; Gandin, V.; Marzano, C.; Morellato, N.; Salvarese, N.; Cantore, M.; Colabufo, N.A. 99mTc(N)-DBODC(5), a potential radiolabeled probe for SPECT of multidrug resistance: In vitro study. J. Biol. Inorg. Chem. 2013, 18, 523–538. [Google Scholar] [CrossRef] [PubMed]
- Cittanti, C.; Uccelli, L.; Pasquali, M.; Boschi, A.; Flammia, C.; Bagatin, E.; Casali, M.; Stabin, M.G.; Feggi, L.; Giganti, M.; et al. Whole-Body Biodistribution and Radiation Dosimetry of the New Cardiac Tracer 99mTc-N-DBODC. J. Nucl. Med. 2008, 49, 1299–1304. [Google Scholar] [CrossRef] [PubMed]
- Ma, H.; Li, S.; Wu, Z.; Liu, J.; Liu, H.; Guo, X. Comparison of 99mTc-N-DBODC5 and 99mTc-MIBI of Myocardial Perfusion Imaging for Diagnosis of Coronary Artery Disease. BioMed Res. Int. 2013, 2013, 145427. [Google Scholar] [CrossRef][Green Version]
- Riou, L.M.; Broisat, A. Novel SPECT perfusion imaging agents with improved myocardial or liver kinetics: Experimental studies and the need for clinical evaluation. J. Nucl. Cardiol. 2010, 17, 771–774. [Google Scholar] [CrossRef]
- Naqvi, S.A.R.; Roohi, S.; Iqbal, A.; Sherazi, T.A.; Zahoor, A.F.; Imran, M. Ciprofloxacin: From infection therapy to molecular imaging. Mol. Biol. Rep. 2018, 45, 1457–1468. [Google Scholar] [CrossRef]
- Auzeloux, P.; Papon, J.; Masnada, T.; Borel, M.; Moreau, M.-F.; Veyre, A.; Pasqualini, R.; Madelmont, J.-C. Synthesis and biodistribution of technetium-99m-labelled N-(diethylaminoethyl)benzamide via a bis(dithiocarbamate) nitridotechnetium(V) complex. J. Label. Compd. Radiopharm. 1999, 42, 325–335. [Google Scholar] [CrossRef]
- Giglio, J.; Fernández, S.; Rey, A.; Cerecetto, H. Synthesis and biological characterization of novel dithiocarbamate containing 5-nitroimidazole 99mTc-complexes as potential agents for targeting hypoxia. Bioorg. Med. Chem. Lett. 2011, 21, 394–397. [Google Scholar] [CrossRef]
- Zhang, J.; Ren, J.; Lin, X.; Wang, X. Synthesis and biological evaluation of a novel 99mTc nitrido radiopharmaceutical with deoxyglucose dithiocarbamate, showing tumor uptake. Bioorg. Med. Chem. Lett. 2009, 19, 2752–2754. [Google Scholar] [CrossRef]
- Song, X.; Wang, Y.; Zhang, J.; Jin, Z.; Zhang, W.; Zhang, Y. Synthesis and evaluation of a novel 99mTc nitrido radiopharmaceutical with alendronate dithiocarbamate as a potential bone-imaging agent. Chem. Biol. Drug Des. 2018, 91, 545–551. [Google Scholar] [CrossRef]
- Bordoloi, J.K.; Berry, D.; Khan, I.U.; Sunassee, K.; de Rosales, R.T.M.; Shanahan, C.; Blower, P.J. Technetium-99m and rhenium-188 complexes with one and two pendant bisphosphonate groups for imaging arterial calcification. Dalton Trans. 2015, 44, 4963–4975. [Google Scholar] [CrossRef] [PubMed]
- Lu, J.; Kong, D.; Jia, H.; Deuther-Conrad, W.; Brust, P.; Wang, X. Preparation and biological evaluation of 99mTcN-4-(cyclohexylpiperazin-1-yl)-dithioformate as a potential sigma receptor imaging agent. J. Label. Compd. Radiopharm. 2007, 50, 1200–1205. [Google Scholar] [CrossRef]
- Yang, W.; Lin, Y.; Zhang, X.; Zhang, J.; Wang, X. Synthesis of several MPP derivatives for 99mTc-labeling and evaluated as potential 5-HT1A receptor imaging agents. Sci. China Chem. 2011, 54, 1148–1154. [Google Scholar] [CrossRef]
- Mittal, S.; Bhadwal, M.; Chakraborty, S.; Sarma, H.D.; Banerjee, S.; Pillai, M.R.A. A novel concept of radiosynthesis of a 99mTc-labeled dimeric RGD peptide as a potential radiotracer for tumor imaging. Bioorg. Med. Chem. Lett. 2013, 23, 1808–1812. [Google Scholar] [CrossRef]
- Caporale, A.; Bolzati, C.; Incisivo, G.M.; Salvarese, N.; Grieco, P.; Ruvo, M. Improved synthesis on solid phase of dithiocarbamic cRGD-derivative and 99mTc-radiolabeling. J. Pept. Sci. 2019, 25, e3140. [Google Scholar] [CrossRef]
- Salvarese, N.; Spolaore, B.; Marangoni, S.; Pasin, A.; Galenda, A.; Tamburini, S.; Cicoria, G.; Refosco, F.; Bolzati, C. Transglutaminase-mediated conjugation and nitride-technetium-99m labeling of a bis(thiosemicarbazone) bifunctional chelator. J. Inorg. Biochem. 2018, 183, 18–31. [Google Scholar] [CrossRef]
- Bolzati, C.; Carta, D.; Salvarese, N.; Refosco, F. Chelating systems for 99mTc/188Re in the development of radiolabeled peptide pharmaceuticals. Anti-Cancer Agents Med. Chem. 2012, 12, 428–461. [Google Scholar] [CrossRef]
- Bolzati, C.; Caporale, A.; Agostini, S.; Carta, D.; Cavazza-Ceccato, M.; Refosco, F.; Tisato, F.; Schievano, E.; Bandoli, G. Avidin-biotin system: A small library of cysteine biotinylated derivatives designed for the [99mTc(N)(PNP)]2+ metal fragment. Nucl. Med. Biol. 2007, 34, 511–522. [Google Scholar] [CrossRef]
- Bolzati, C.; Mahmood, A.; Malagò, E.; Uccelli, L.; Boschi, A.; Jones, A.G.; Refosco, F.; Duatti, A.; Tisato, F. The [99mTc(N)(PNP)]2+ Metal Fragment: A Technetium-Nitrido Synthon for Use with Biologically Active Molecules. The N-(2-Methoxyphenyl)piperazyl-cysteine Analogues as Examples. Bioconjug. Chem. 2003, 14, 1231–1242. [Google Scholar] [CrossRef]
- Boschi, A.; Uccelli, L.; Duatti, A.; Bolzati, C.; Refosco, F.; Tisato, F.; Romagnoli, R.; Baraldi, P.G.; Varani, K.; Borea, P.A. Asymmetrical Nitrido Tc-99m Heterocomplexes as Potential Imaging Agents for Benzodiazepine Receptors. Bioconjug. Chem. 2003, 14, 1279–1288. [Google Scholar] [CrossRef]
- Baraldi, P.G.; Romagnoli, R.; Duatti, A.; Bolzati, C.; Piffanelli, A.; Bianchi, N.; Mischiati, C.; Gambari, R. Synthesis of hybrid distamycin–cysteine labeled with 99mTc: A model for a novel class of cancer imaging agents. Bioorg. Med. Chem. Lett. 2000, 10, 1397–1400. [Google Scholar] [CrossRef]
- Vats, K.; Subramanian, S.; Mathur, A.; Sarma, H.D.; Banerjee, S. Radiosynthesis and evaluation of a 99mTc-folic acid radiotracer prepared using [99mTcN(PNP)]2+ metal fragment. Bioorg. Med. Chem. Lett. 2017, 27, 1329–1332. [Google Scholar] [CrossRef] [PubMed]
- Agostini, S.; Bolzati, C.; Didone, E.; Cavazza-Ceccato, M.; Refosco, F.; Aloj, L.; Arra, C.; Aurilio, M.; Tornesello, A.L.; Tesauro, D.; et al. The [Tc(N)(PNP)]2+ metal fragment labeled cholecystokinin-8 (CCK8) peptide for CCK-2 receptors imaging: In vitro and in vivo studies. J. Pept. Sci. 2007, 13, 211–219. [Google Scholar] [CrossRef] [PubMed]
- Decristoforo, C.; Santos, I.; Pietzsch, H.J.; Kuenstler, J.U.; Duatti, A.; Smith, C.J.; Rey, A.; Alberto, R.; Von Guggenberg, E.; Haubner, R. Comparison of in vitro and in vivo properties of [Tc-99m]cRGD peptides labeled using different novel Tc-cores. Q. J. Nucl. Med. Mol. Imaging 2007, 51, 33–41. [Google Scholar] [PubMed]
- Mukherjee, A.; Kothari, K.; Tóth, G.; Szemenyei, E.; Sarma, H.D.; Környei, J.; Venkatesh, M. 99mTc-labeled annexin V fragments: A potential SPECT radiopharmaceutical for imaging cell death. Nucl. Med. Biol. 2006, 33, 635–643. [Google Scholar] [CrossRef] [PubMed]
- Faintuch, B.L.; Teodoro, R.; Duatti, A.; Muramoto, E.; Faintuch, S.; Smith, C.J. Radiolabeled bombesin analogs for prostate cancer diagnosis: Preclinical studies. Nucl. Med. Biol. 2008, 35, 401–411. [Google Scholar] [CrossRef] [PubMed]
- Carta, D.; Salvarese, N.; Morellato, N.; Gao, F.; Sihver, W.; Pietzsch, H.J.; Biondi, B.; Ruzza, P.; Refosco, F.; Carpanese, D.; et al. Melanoma targeting with [99mTc(N)(PNP3)]-labeled α-melanocyte stimulating hormone peptide analogs: Effects of cyclization on the radiopharmaceutical properties. Nucl. Med. Biol. 2016, 43, 788–801. [Google Scholar] [CrossRef]
- Bolzati, C.; Salvarese, N.; Carpanese, D.; Seraglia, R.; Meléndez-Alafort, L.; Rosato, A.; Capasso, D.; Saviano, M.; Del Gatto, A.; Comegna, D.; et al. [99mTc][Tc(N)PNP43]-Labeled RGD Peptides As New Probes for a Selective Detection of αvβ3 Integrin: Synthesis, Structure–Activity and Pharmacokinetic Studies. J. Med. Chem. 2018, 61, 9596–9610. [Google Scholar] [CrossRef]
- Boschi, A.; Cazzola, E.; Uccelli, L.; Pasquali, M.; Ferretti, V.; Bertolasi, V.; Duatti, A. Rhenium(V) and Technetium(V) Nitrido Complexes with Mixed Tridentate π-Donor and Monodentate π-Acceptor Ligands. Inorg. Chem. 2012, 51, 3130–3137. [Google Scholar] [CrossRef]
- Boschi, A.; Uccelli, L.; Pasquali, M.; Pasqualini, R.; Guerrini, R.; Duatti, A. Mixed Tridentate π-Donor and Monodentate π-Acceptor Ligands as Chelating Systems for Rhenium-188 and Technetium-99m Nitrido Radiopharmaceuticals. Curr. Radiopharm. 2013, 6, 137–145. [Google Scholar] [CrossRef]
- Boschi, A.; Pasquali, M.; Trapella, C.; Massi, A.; Martini, P.; Duatti, A.; Guerrini, R.; Zanirato, V.; Fantinati, A.; Marzola, E.; et al. Design and Synthesis of 99mTcN-Labeled Dextran-Mannose Derivatives for Sentinel Lymph Node Detection. Pharmaceuticals 2018, 11, 70. [Google Scholar] [CrossRef] [PubMed]
- Smilkov, K.; Janevik, E.; Guerrini, R.; Pasquali, M.; Boschi, A.; Uccelli, L.; Di Domenico, G.; Duatti, A. Preparation and first biological evaluation of novel Re-188/Tc-99m peptide conjugates with substance-P. Appl. Radiat. Isot. 2014, 92, 25–31. [Google Scholar] [CrossRef] [PubMed]
- Bolzati, C.; Boschi, A.; Uccelli, L.; Malagò, E.; Duatti, A.; Pasqualini, R.; Giganti, M.; Piffanelli, A. Mixed Technetium-99m Nitrido Complexes with Dithiocarbamate and Phosphine-Thiol Ligands; Nicolini, M., Mazzi, U., Eds.; SGE Editoriali-Padova Italy: Padova, Italy, 1999; Volume 5, pp. 615–619. [Google Scholar]
- Auzeloux, P.; Papon, J.; Azim, E.M.; Borel, M.; Pasqualini, R.; Veyre, A.; Madelmont, J.-C. A Potential Melanoma Tracer: Synthesis, Radiolabeling, and Biodistribution in Mice of a New Nitridotechnetium Bis(aminothiol) Derivative Pharmacomodulated by a N-(Diethylaminoethyl)benzamide. J. Med. Chem. 2000, 43, 190–198. [Google Scholar] [CrossRef] [PubMed]















| HS Compounds | Charge | Donor Set | τ | χ | ΔTc (Å) | dTc≡N (Å) | Config. | Ref. |
|---|---|---|---|---|---|---|---|---|
| [TcN(Smetetraz)4]2− | 2− | NS4 | 0.02 | 0.32 | 0.58 | 1.611 | [11] | |
| [TcN(dedmiy)4]2+ | 2+ | C4N | 0.02 | 0.22 | 0.36 | 1.604 | [12] | |
| [TcN(S2CO)2]2− | 2− | NS4 | 0.00 | 0.39 | 0.71 | 1.621 | trans | [13] |
| [TcN(SCOCOS)2]2−, a | 2− | NS4 | 0.00 | 0.35 | 0.65 | 1.613 | trans | [14] |
| [TcN(SCOCOS)2]2−, a | 2− | NS4 | 0.01 | 0.34 | 0.61 | 1.606 | trans | [15] |
| [TcN(mnt)2]2− | 2− | NS4 | 0.00 | 0.32 | 0.59 | 1.590 | trans | [16] |
| [TcN(dmit)2]2− | 2− | NS4 | 0.08 | 0.39 | 0.62 | 1.615 | trans | [17] |
| [TcN(i-mns)2]2− | 2− | NSe4 | 0.09 | 0.45 | 0.77 | 1.613 | trans | [18] |
| [TcN(SCOCOS)(Et2dtc)]− | 1− | NS4 | 0.08 | 0.38 | 0.66 | 1.542 | [19] | |
| TcN(Et2dtc)2 | 0 | NS4 | 0.02 | 0.42 | 0.74 | 1.604 | trans | [2] |
| TcN{(SPPh2)2N}2 | 0 | NS4 | 0.08 | 0.37 | 0.60 | 1.608 | trans | [20] |
| TcN(SCH2CH2PCy2)2 | 0 | NP2S2 | 0.49 | 0.73 | 0.73 (0.00) | 1.645 | [21] | |
| TcN(SCH2CH2PPh2)2 | 0 | NP2S2 | 0.51 | 0.67 | 0.60 (0.01) | 1.638 | [22] | |
| TcN(SCH2CH2CH2PTol2)2 b | 0 | NP2S2 | 0.81 | 0.81 | 0.00 (0.00) | 1.650 | [22] | |
| TcN(C9H6NS)2 | 0 | N3S2 | 0.44 | 0.64 | 0.61 (0.00) | 1.623 | trans, trans | [23] |
| TcN(isodtc)2 | 0 | N3S2 | 0.42 | 0.50 | 0.64 | 1.613 | trans, trans | [24] |
| TcN(HEt2tcb)2 | 0 | N3S2 | 0.07 | 0.38 | 0.61 | 1.610 | trans, cis | [25] |
| TcN(eacyd) | 0 | N3S2 | 0.02 | 0.36 | 0.59 | 1.630 | [26] | |
| TcN(etaai) | 0 | N3S2 | 0.10 | 0.41 | 0.59 | 1.620 | [27] | |
| TcN(tcbatsc) | 0 | N3S2 | 0.19 | 0.49 | 0.62 | 1.617 | [28] | |
| LS Compounds | ||||||||
| TcNPh2(tpty)2 | 0 | C4N | 0.11 | 0.36 | 0.48 | 1.603 | trans, trans | [29] |
| TcNPh2(PPh3)2 | 0 | C2NP2 | 0.85 | 0.91 | 0.56 (0.01) | 1.632 | trans, trans | [29] |
| TcN(tmbt)2(TMG)2 | 0 | N3S2 | 0.26 | 0.55 | 0.66 | 1.615 | trans, trans | [30] |
| TcNCl2(PPh3)2 c | 0 | NP2Cl2 | 0.36 | 0.56 | 0.60 | 1.602 | trans, trans | [31] |
| TcNCl2(PPh3)2 | 0 | NP2Cl2 | 0.36 | 0.56 | 0.60 | 1.600 | trans, trans | [32] |
| TcNCl2(PPh2–py–P)2 | 0 | NP2Cl2 | 0.35 | 0.56 | 0.60 | 1.594 | trans, trans | [33] |
| TcNCl2(AsPh3)2 | 0 | NAs2Cl2 | 0.38 | 0.58 | 0.62 | 1.601 | trans, trans | [34] |
| TcNCl2(HNPPh3)2 | 0 | N3Cl2 | 0.02 | 0.35 | 0.59 | 1.589 | trans, trans | [35] |
| TcN(morpba)(PPh3) | 0 | N2OPS | 0.25 | 0.49 | 0.54 | 1.620 | [36] | |
| TcN(saldtcz)(PPh3) | 0 | N2OPS | 0.28 | 0.52 | 0.57 | 1.611 | [24] | |
| TcN(Z–Val–dtc)(PPh3) | 0 | N3PS | 0.27 | 0.55 | 0.62 | 1.621 | [37] | |
| TcN(ecobap)(PPh3) | 0 | N2O2P | 0.18 | 0.49 | 0.60 | 1.608 | [38] | |
| TcN(OSiMe2OSiMe2O)(dedmiy)2 | 0 | C2NO2 | 0.13 | 0.42 | 0.54 | 1.620 | cis | [12] |
| TcN(OSiMe2OSiMe2O)(dedmiy)(PMe2Ph) | 0 | CNO2P | 0.20 | 0.48 | 0.56 | 1.579 | [12] | |
| TcN(mnt)(PMe2Ph)2 d | 0 | NP2S2 | 0.02; 0.00 | 0.33; 0.30 | 0.58; 0.56 | 1.612; 1.624 | cis | [39] |
| TcN{Et2NC(S)NH}(triqui)(PPh3) | 0 | N2PS2 | 0.33 | 0.59 | 0.65 | 1.609 | [28] | |
| TcNCl(SCH2CH2PCy2)(PPh3) | 0 | NP2SCl | 0.28 | 0.54 | 0.65 | 1.589 | [21] | |
| TcNCl(EtOpitc)(PPh3) | 0 | N2SPCl | 0.40 | 0.65 | 0.67 (0.12) | 1.615 | [40] | |
| TcNCl(PStbu)(PPh3) d | 0 | NP2SCl | 0.48; 0.33 | 0.62; 0.55 | 0.55 (0.04); 0.61 (0.02) | 1.615; 1.606 | [41] | |
| TcNCl(CYS–Oet)(PPh3) | 0 | N2PSCl | 0.20 | 0.46 | 0.59 | 1.605 | [42] | |
| TcNCl2(Ph2PCH2PPh2NH) d | 0 | N2PCl2 | 0.15; 0.08 | 0.42; 0.38 | 0.56; 0.58 | 1.611; 1.621 | cis | [43] |
| HS Compounds | Charge | Donor Set | θ1 (°) | θ2 (°) | ΔTc (Å) | dTc≡N (Å) | trans Dist. (Å), Atom | trans Angle (°) N≡Tc–X | Config. | Ref. |
|---|---|---|---|---|---|---|---|---|---|---|
| [TcN(CN)4(OH2)]2− | 2− | C4NO | 56.3 | 1.0 | 0.34 | 1.596 | 2.559 (O) | 177.9 | [44] | |
| [TcN(CN)4(MeOH)]2− | 2− | C4NO | 57.4 | 2.0 | 0.32 | 1.612 | 2.462 (O) | 178.7 | [45] | |
| [TcNCl(temiy)4]+, a | 1+ | C4NCl | 57.6 | 8.1 | 0.31 | 1.540 | 2.172 (Cl) | 180.0 | [29] | |
| TcN(Et2DTC)2(PMe2Ph) | 0 | NPS4 | 59.7 | 20.7 | 0.42 | 1.623 | 2.826 (S) | 161.6 | cis, fac | [25] |
| [TcNCl(dmpe)2]+, b | 1+ | NP4Cl | 57.3 | 7.2 | 0.22 | 1.666 | 2.640 (Cl) | 177.2 | trans | ** |
| [TcNCl(dmpe)2]+, b | 1+ | NP4Cl | 56.5 | 6.1 | 0.27 | 1.613 | 2.643 (Cl) | 177.4 | trans | [46] |
| [TcNCl(dppe)2]+, a | 1+ | NP4Cl | 59.3 | 12.3 | 0.00 | 1.795 | 2.412 (Cl) | 174.8 | trans | [46] |
| [TcNCl(Ph2PCH2PPh2NH)2]+ | 1+ | N3P2Cl | 40.3 | 17.4 | 0.30 | 1.620 | 2.715 (Cl) | 164.1 | trans * | [43] |
| [TcNCl(PNH2)2]+ | 1+ | N3P2Cl | 51.7 | 15.8 | 0.26 | 1.627 | 2.593 (Cl) | 179.5 | trans * | [43] |
| [TcNCl(en)2]+ | 1+ | N5Cl | 53.7 | 6.9 | 0.32 | 1.603 | 2.732 (Cl) | 178.5 | trans | [47] |
| [TcNCl(phen)2]+, b | 1+ | N5Cl | 61.0 | 5.2 | 0.36 | 1.604 | 2.399 (N) | 170.0 | cis, fac | [48] |
| [TcNCl(phen)2]+, b | 1+ | N5Cl | 58.4 | 6.5 | 0.34 | 1.594 | 2.395 (N) | 168.0 | cis, fac | [48] |
| [TcNBr(bipy)2]+, c | 1+ | N5Br | 56.8; 58.9 | 9.5; 3.3 | 0.33; 0.37 | 1.620; 1.598 | 2.416 (N); 2.396 (N) | 161.6; 166.9 | cis, fac | [49] |
| [TcN(amec)(en)2]2+ | 2+ | N5O | 57.2 | 3.0 | 0.33 | 1.607 | 2.330 (O) | 174.0 | trans | [50] |
| [TcN(Hbiguan)2(OH2)]2+ | 2+ | N5O | 54.0 | 1.5 | 0.44 | 1.616 | 2.691 (O) | 177.3 | trans * | [51] |
| TcN(teatedd)(OH2) c | 0 | N5O | 60.0; 59.4 | 2.7; 4.8 | 0.51; 0.54 | 1.612; 1.620 | 2.698 (O); 2.947 (O) | 173.6; 173.6 | [52] | |
| [TcN(pnao)(OH2)]+ | 1+ | N5O | 59.5 | 0.3 | 0.40 | 1.611 | 2.480 (O) | 175.9 | [53] | |
| [TcN(bnao)(OH2)]+ | 1+ | N5O | 63.6 | 5.8 | 0.34 | 1.604 | 2.471 (O) | 175.1 | [54] | |
| [TcN(pentao)(OH2)]+ | 1+ | N5O | 63.9 | 4.4 | 0.32 | 1.610 | 2.390 (O) | 176.2 | [54] | |
| [TcNCl(14S4)]+ | 1+ | NS4Cl | 55.5 | 8.7 | 0.24 | 1.615 | 2.718 (Cl) | 176.4 | [55] | |
| [TcNCl(18S6)]+ | 1+ | NS4Cl | 53.4 | 4.8 | 0.21 | 1.707 | 2.568 (Cl) | 177.4 | [55] | |
| [TcNCl{16S4–(OH)2}]+ | 1+ | NS4Cl | 60.0 | 3.9 | 0.11 | 1.950 | 2.469 (Cl) | 178.5 | [55] | |
| [TcNCl(teado)]+ | 1+ | N5Cl | 53.7 | 8.1 | 0.26 | 1.626 | 2.663 (Cl) | 176.6 | [47] | |
| [TcN(O–cyclam)(OH2)]+ | 1+ | N5O | 56.7 | 3.4 | 0.40 | 1.614 | 2.560 (O) | 175.7 | [56] | |
| LS Compounds | . | |||||||||
| TcNCl{(SPPh2)2N}(PMe2Ph)2 | 0 | NP2S2Cl | 58.5 | 14.6 | 0.30 | 1.638 | 2.660 (Cl) | 170.5 | cis | [20] |
| TcN(NCS)2(PPh3)2(CH3CN) | 0 | N4P2 | 51.4 | 5.1 | 0.24 | 1.629 | 2.492 (N) | 174.6 | trans, trans | [57] |
| TcNCl2(PMe2Ph)3 | 0 | NP3Cl2 | 48.2 | 3.9 | 0.22 | 1.624 | 2.665 (Cl) | 170.6 | mer, cis | [58] |
| TcNCl2(PNP1) | 0 | N2P2Cl2 | 59.0 | 12.5 | 0.19 | 1.615 | 2.651 (Cl) | 170.2 | mer, cis | [59] |
| TcNCl2(PSP) | 0 | NP2SCl2 | 60.3 | 11.5 | 0.44 | 1.633 | 2.808 (S) | 169.7 | fac, cis | [59] |
| TcNCl2(bpa) | 0 | N4Cl2 | 61.0 | 11.0 | 0.36 | 1.646 | 2.382 (N) | 165.7 | fac, cis | [60] |
| TcN(CN)2(bpa) | 0 | C2N4 | 55.4 | 8.8 | 0.30 | 1.645 | 2.378 (N) | 164.5 | fac, cis | [60] |
| TcNBr2(bpa–bztdm) | 0 | N4Br2 | 61.2 | 12.3 | 0.30 | 1.604 | 2.469 (N) | 161.2 | fac, cis | [61] |
| Tc(V) Compounds | Charge | C.N. | Donor Set | τ | χ | θ1 (°) | θ2 (°) | ΔTc (Å) | dTc≡N (Å) | trans Dist. (Å), Atom | trans Angle (°) N≡Tc–X | Config. | Ref. |
|---|---|---|---|---|---|---|---|---|---|---|---|---|---|
| [TcN(CN)4py]2− | 2− | 5, 6 | C4N(N) | 0.00 | 0.23 | 58.8 | 3.8 | 0.38 | 1.598 | 2.626 (N) | 179.0 | [62] | |
| TcNCl2(POOP) | 0 | 5, 6 | NP2Cl2(O) | 0.43 | 0.47 | 50.6 | 15.5 | 0.34 | 1.601 | 2.885 * (3.190) (O) | 180 * (154.7) | mer, trans trans | [63] |
| TcNCl2(PN(Pr)P) | 0 | 5, 6 | NP2Cl2(N) | 0.11 | 0.30 | 62.2 | 18.0 | 0.41 | 1.600 | 2.701 (N) | 161.9 | fac, cis | [63] |
| TcNCl2(POP) | 0 | 5, 6 | NP2Cl2(O) | 0.10 | 0.34 | 61.3 | 4.6 | 0.52 | 1.666 | 2.501 (O) | 179.4 | mer, trans | [64] |
| [TcN(Me–dtcz)(POP)]+ | 1+ | 5, 6 | N2P2S(O) | 0.02 | 0.30 | 51.0 | 13.9 | 0.48 | 1.623 | 2.758 (O) | 159.7 | fac | [65] |
| [TcN(Medtcz)(PN(etOMe)P)]+ | 1+ | 5, 6 | N2P2S(N) | 0.16 | 0.36 | 52.5 | 9.3 | 0.43 | 1.608 | 2.811 (N) | 161.8 | fac | [65] |
| Tc(VI) Compounds | . | ||||||||||||
| [TcNCl4]− | 1− | 5 | NCl4 | 0.00 | 0.29 | 0.54 | 1.632 | [66] | |||||
| [TcNBr4]− | 1− | 5 | NBr4 | 0.00 | 0.29 | 0.55 | 1.614 | [67] | |||||
| [TcNBr4(OH2)]− | 1− | 6 | NOBr4 | 62.6 | 1.5 | 0.33 | 1.599 | 2.443 (O) | 178.7 | [68] | |||
| TcNCl3(bipy) | 0 | 6 | N3Cl3 | 62.3 | 10.3 | 0.30 | 1.669 | 2.371 (N) | 165.5 | mer | [69] |
| N3− Donor | [99mTc]TcN-RP % RCY | N3− Donor | [99mTc]TcN-RP % RCY |
|---|---|---|---|
![]() | 90.6 | ![]() | 44.3 |
![]() | 98.8 | ![]() | 79.9 |
![]() | 98.0 | ![]() | 79.7 |
![]() | 92.0 | ![]() | 73.3 |
![]() | 97.5 | ![]() | 64.0 |
![]() | 70.3 | ![]() | 38.2 |
![]() | 70.4 | ![]() | 67.2 |
![]() | 84.4 | ![]() | 96.0 |
![]() | 45.1 | ![]() | 83.8 |
![]() | 92.2 | ![]() | 90.0 |
![]() | 98.0 | ![]() | 96.0 |
![]() | 63.3 | ![]() | 96.0 |
![]() | 95.0 | ![]() | 31.2 |
| Molecular Vector | Target/Potential Application | Ref. |
|---|---|---|
| Small organic molecules (1000 Da) | ||
| Biotin | Avidinylate mAb/pre-targeting tumor | [130] |
| WAY 100635 | Serotonergic system/imaging of brain disorders | [131] |
| Benzodiazepine | Benzodiazepine receptors/imaging of brain disorders | [132] |
| Distamycin A | DNA | [136] |
| Folic Acid | Folate receptors (FRs)/imaging of receptor-positive tumor cells and monitoring of tumor response to the treatment | [134] |
| Peptides (1000 < Da < 2000) | ||
| Cys NS–CCK8 | CCK2 receptor/imaging of MCT, SCLC, astrocytomas, stromal ovarian tumors, gastroenteroepatic | [135] |
| RGD (Arg-Gly-Asp) based pentapeptide | αvβ3/αvβ5 integrin/imaging of angiogenesis, tumor metastasis | [136] |
| Annexin V Fragments | Phosphatidylserin/imaging of apoptosis | [137] |
| BBN(7–14) | BBN/GR receptors/imaging of colon cancer, prostate cancer | [138] |
| Napamide | Melanocortin MC1 receptor/Melanoma imaging | [139] |
| RGDEchi | αvβ3 integrin/selective angiogenesis, tumor metastasis imaging | [140] |
© 2019 by the authors. Licensee MDPI, Basel, Switzerland. This article is an open access article distributed under the terms and conditions of the Creative Commons Attribution (CC BY) license (http://creativecommons.org/licenses/by/4.0/).
Share and Cite
Bolzati, C.; Dolmella, A. Nitrido Technetium-99 m Core in Radiopharmaceutical Applications: Four Decades of Research. Inorganics 2020, 8, 3. https://doi.org/10.3390/inorganics8010003
Bolzati C, Dolmella A. Nitrido Technetium-99 m Core in Radiopharmaceutical Applications: Four Decades of Research. Inorganics. 2020; 8(1):3. https://doi.org/10.3390/inorganics8010003
Chicago/Turabian StyleBolzati, Cristina, and Alessandro Dolmella. 2020. "Nitrido Technetium-99 m Core in Radiopharmaceutical Applications: Four Decades of Research" Inorganics 8, no. 1: 3. https://doi.org/10.3390/inorganics8010003
APA StyleBolzati, C., & Dolmella, A. (2020). Nitrido Technetium-99 m Core in Radiopharmaceutical Applications: Four Decades of Research. Inorganics, 8(1), 3. https://doi.org/10.3390/inorganics8010003


























