Synthesis of NiFe2O4-LDH Composites with High Adsorption and Photocatalytic Activity for Methyl Orange Degradation
Abstract
1. Introduction
2. Results and Discussion
2.1. Structural and Microstructural Characterization
2.2. Magnetic Properties
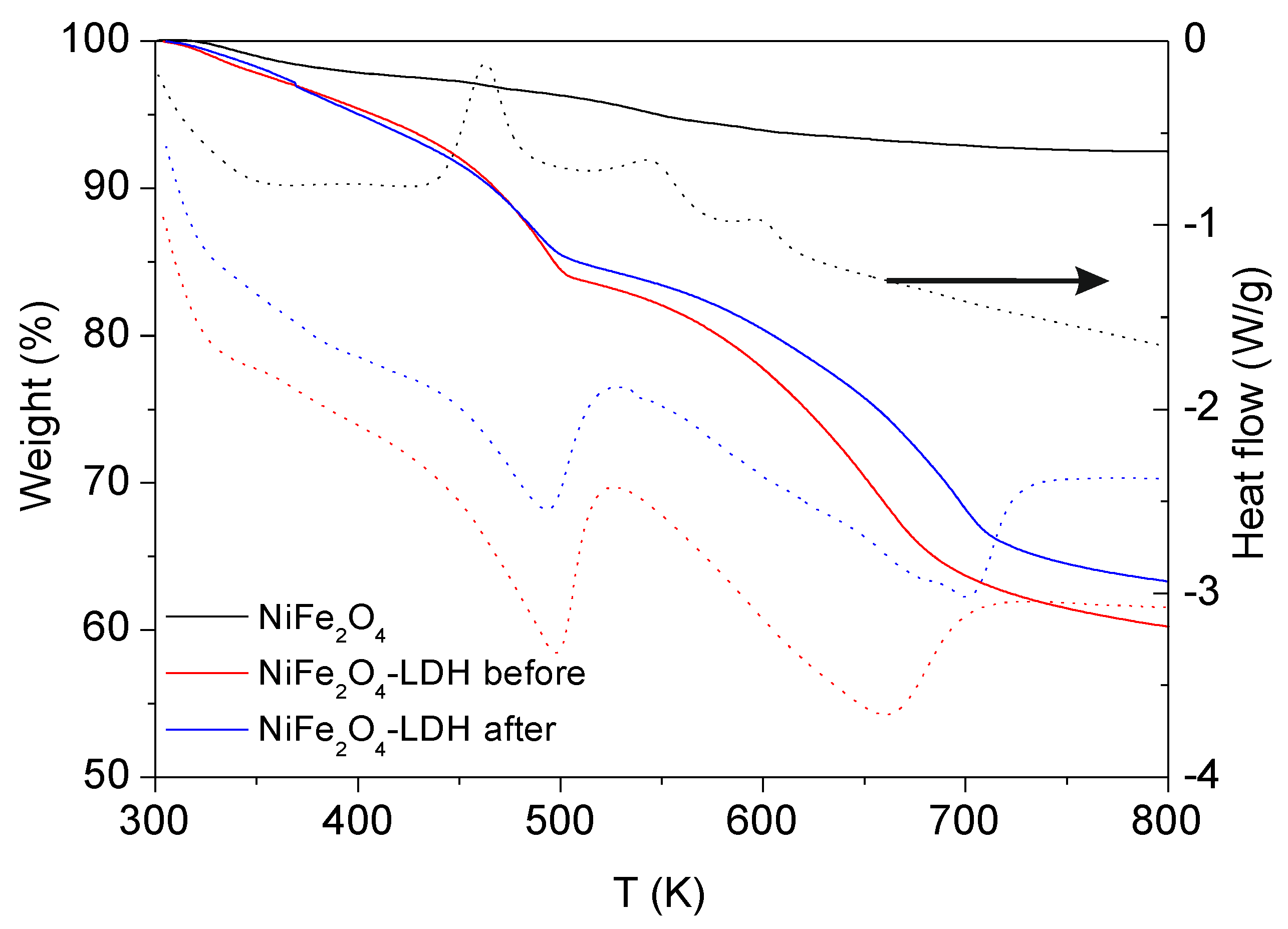
2.3. Thermal Stability
2.4. Adsorption and Photocatalytic Properties
3. Materials and Methods
3.1. Synthesis of NiFe2O4 Nanoparticles and NiFe2O4-LDO Composites
3.2. Characterizations
4. Conclusions
Author Contributions
Funding
Acknowledgments
Conflicts of Interest
References
- Andreozzi, R.; Caprio, V.; Insola, A.; Marotta, R. Advanced oxidation processes (AOP) for water purification and recovery. Catal. Today 1999, 53, 51–59. [Google Scholar] [CrossRef]
- Guinea, E.; Arias, C.; Cabot, P.L.; Garrido, P.L.; Rodriguez, R.M.; Centellas, F.; Brillas, E. Mineralization of salicylic acid in acidic aqueous medium by electrochemical advanced oxidation processes using platinum and boron-doped diamond as anode and cathodically generated hydrogen peroxide. Water Res. 2008, 42, 499–511. [Google Scholar] [CrossRef] [PubMed]
- Martin de Vidales, M.J.; Sáez, C.; Cañizares, P.; Rodrigo, M.A. Metoprolol abatement from wastewaters by electrochemical oxidation with boron doped diamond anodes. J. Chem. Technol. Biotechnol. 2012, 87, 225–231. [Google Scholar] [CrossRef]
- Reddy, D.H.K.; Yun, Y.S. Spinel ferrite magnetic adsorbents: Alternative future materials for water purification? Coord. Chem. Rev. 2016, 315, 90–111. [Google Scholar] [CrossRef]
- Kharissova, O.V.; Rasika Dias, H.V.; Kharisov, B.I. Magnetic adsorbents based on micro- and nano-structured materials. RSC Adv. 2015, 5, 6695–6719. [Google Scholar] [CrossRef]
- Moradi, A.; Najafi Moghadam, P.; Hasanzadeh, R.; Sillanpää, M. Chelating magnetic nanocomposite for the rapid removal of Pb(II) ions from aqueous solutions: characterization, kinetic, isotherm and thermodynamic studies. RSC Adv. 2017, 7, 433–448. [Google Scholar] [CrossRef]
- Dvininov, E.; Joshi, U.A.; Darwent, J.R.; Claridge, J.B.; Xu, Z.; Rosseinsky, M.J. Room temperature oxidation of methyl orange and methanol over Pt–HCa2Nb3O10 and Pt–WO3 catalysts without light. Chem. Commun. 2011, 47, 881–883. [Google Scholar] [CrossRef] [PubMed]
- Casbeer, E.; Sharma, V.K.; Li, X.-Z. Synthesis and photocatalytic activity of ferrites under visible light: A review. Sep. Purif. Technol. 2012, 87, 1–14. [Google Scholar] [CrossRef]
- Martin de Vidales, M.J.; Mais, L.; Sáez, C.; Cañizares, P.; Walsh, F.C.; Rodrigo, M.A.; de Arruda Rodrigues, C.; Ponce de León, C. Photoelectrocatalytic Oxidation of Methyl Orange on a TiO2 Nanotubular Anode Using a Flow Cell. Chem. Eng. Technol. 2016, 39, 135–141. [Google Scholar] [CrossRef]
- Yang, Z.; Wang, F.; Zhang, C.; Zeng, G.; Tan, X.; Yu, Z.; Wang, H.; Cui, F. Utilization of LDH-based materials as potential adsorbents and photocatalysts for the decontamination of dyes wastewater: A review. RSC Adv. 2016, 6, 79415–79436. [Google Scholar] [CrossRef]
- Gao, Z.; Sasaki, K.; Qiu, X. Structural Memory Effect of Mg–Al and Zn–Al layered Double Hydroxides in the Presence of Different Natural Humic Acids: Process and Mechanism. Langmuir 2018, 34, 5386–5395. [Google Scholar] [CrossRef] [PubMed]
- Benício, L.P.F.; Constantino, V.R.L.; Pinto, F.G.; Vergütz, L.; Tronto, J.; Costa, L.M.D. Layered Double Hydroxides: New Technology in Phosphate Fertilizers Based on Nanostructured Materials. ACS Sus. Chem. Eng. 2017, 5, 399–409. [Google Scholar] [CrossRef]
- Nagli, M.; Toroker, M.C. The electronic structure of two-dimensional transition metal hydroxide monolayers and heterostructures. Solid State Ion. 2018, 314, 149–155. [Google Scholar] [CrossRef]
- Ren, B.; Huang, Y.; Han, C.; Nadagouda, M.N.; Dionysiou, D.D. Ferrites as Photocatalysts for Water Splitting and Degradation of Contaminants. In Ferrites and Ferrates: Chemistry and Applications in Sustainable Energy and Environmental Remediation; Sharma, V.K., Doong, R-A., Kim, H., Varma, R.S., Dionysiou, D.D., Eds.; American Chemical Society: Washington, WA, USA, 2016; Volume 3, pp. 154–196. ISBN 9780841231870. [Google Scholar]
- Blanco-Gutierrez, V.; Virumbrales, M.; Saez-Puche, R.; Torralvo-Fernandez, M.J. Superparamagnetic Behavior of MFe2O4 Nanoparticles and MFe2O4/SiO2 Composites (M: Co, Ni). J. Phys. Chem. C 2013, 117, 20927–20935. [Google Scholar] [CrossRef]
- Blanco-Gutierrez, V.; Climent-Pascual, E.; Saez-Puche, R.; Torralvo-Fernandez, M.J. Temperature dependence of superparamagnetism in CoFe2O4 nanoparticles and CoFe2O4/SiO2 nanocomposites. Phys. Chem. Chem. Phys. 2016, 18, 9186–9193. [Google Scholar] [CrossRef] [PubMed]
- Zheng, R.K.; Gu, H.; Xu, B.; Zhang, X.X. The origin of the non-monotonic field dependence of the blocking temperature in magnetic nanoparticles. J. Phys. Condens. Matter 2006, 18, 5905–5910. [Google Scholar] [CrossRef] [PubMed]
- Virumbrales, M.; Saez-Puche, R.; Blanco-Gutierrez, V.; Torralvo-Fernandez, M.J. Discussion on the Interparticle Interactions in NiFe2O4 and ZnFe2O4 Nanosized Systems Based on the Matrix Effects in the Magnetic Behavior. J. Phys. Chem. C 2017, 121, 4029–4036. [Google Scholar] [CrossRef]
- Deng, L.; Shi, Z.; Peng, X.; Zhou, S. Magnetic calcinated cobalt ferrite/magnesium aluminum hydrotalcite composite for enhanced adsorption of methyl orange. J. Alloys Compd. 2016, 688, 101–112. [Google Scholar] [CrossRef]
- Dileep, K.; Loukya, B.; Pachauri, N.; Gupta, A.; Datta, R. Probing optical band gaps at the nanoscale in NiFe2O4 and CoFe2O4 epitaxial films by high resolution electron energy loss spectroscopy. J. App. Phys. 2014, 116, 103505. [Google Scholar] [CrossRef]
- Hernández-Ramírez, A.; Medina-Ramírez, I. Photocatalytic Semiconductors. Synthesis, Characterization, and Environmental Applications, 1st ed.; Springer: Cham, Switzerland, 2015; ISBN 978-3-319-10998-5. [Google Scholar]
- Herrmann, J.M. Photocatalysis fundamentals revisited to avoid several misconceptions. Appl. Catal. B Environ. 2010, 99, 461–468. [Google Scholar] [CrossRef]
- Bisutti, I.; Hilke, I.; Raessler, M. Determination of total organic carbon—An overview of current methods. Trends Anal. Chem. 2004, 23, 716–726. [Google Scholar] [CrossRef]





| Time (min) | % Removal (Visible Light) | % Removal (405 nm) |
|---|---|---|
| 0 | 0 | 0 |
| 30 | 18.0 | 39.3 |
| 60 | 49.3 | 58.4 |
| 90 | 61.9 | 71.5 |
| 120 | 80.7 | 84.5 |
| 150 | 87.1 | 94.3 |
| 180 | 89.6 | - |
© 2018 by the authors. Licensee MDPI, Basel, Switzerland. This article is an open access article distributed under the terms and conditions of the Creative Commons Attribution (CC BY) license (http://creativecommons.org/licenses/by/4.0/).
Share and Cite
Valencia-Lopez, C.D.; Zafra-Calvo, M.; Martín de Vidales, M.J.; Blanco-Gutierrez, V.; Atanes-Sanchez, E.; Merayo, N.; Fernandez-Martinez, F.; Nieto-Marquez, A.; Dos santos-Garcia, A.J. Synthesis of NiFe2O4-LDH Composites with High Adsorption and Photocatalytic Activity for Methyl Orange Degradation. Inorganics 2018, 6, 98. https://doi.org/10.3390/inorganics6030098
Valencia-Lopez CD, Zafra-Calvo M, Martín de Vidales MJ, Blanco-Gutierrez V, Atanes-Sanchez E, Merayo N, Fernandez-Martinez F, Nieto-Marquez A, Dos santos-Garcia AJ. Synthesis of NiFe2O4-LDH Composites with High Adsorption and Photocatalytic Activity for Methyl Orange Degradation. Inorganics. 2018; 6(3):98. https://doi.org/10.3390/inorganics6030098
Chicago/Turabian StyleValencia-Lopez, Cristian D., Mario Zafra-Calvo, María José Martín de Vidales, Verónica Blanco-Gutierrez, Evangelina Atanes-Sanchez, Noemí Merayo, Francisco Fernandez-Martinez, Antonio Nieto-Marquez, and Antonio J. Dos santos-Garcia. 2018. "Synthesis of NiFe2O4-LDH Composites with High Adsorption and Photocatalytic Activity for Methyl Orange Degradation" Inorganics 6, no. 3: 98. https://doi.org/10.3390/inorganics6030098
APA StyleValencia-Lopez, C. D., Zafra-Calvo, M., Martín de Vidales, M. J., Blanco-Gutierrez, V., Atanes-Sanchez, E., Merayo, N., Fernandez-Martinez, F., Nieto-Marquez, A., & Dos santos-Garcia, A. J. (2018). Synthesis of NiFe2O4-LDH Composites with High Adsorption and Photocatalytic Activity for Methyl Orange Degradation. Inorganics, 6(3), 98. https://doi.org/10.3390/inorganics6030098

