Abstract
In dye-sensitized solar cells (DSCs), the redox mediator is responsible for the regeneration of the oxidized dye and for the hole transport towards the cathode. Here, we introduce new copper complexes with tetradentate 6,6′-bis(4-(S)-isopropyl-2-oxazolinyl)-2,2′-bipyridine ligands, Cu(oxabpy), as redox mediators. Copper coordination complexes with a square-planar geometry show low reorganization energies and thus introduce smaller losses in photovoltage. Slow recombination kinetics of excited electrons between the TiO2 and CuII(oxabpy) species lead to an exceptionally long electron lifetime, a high Fermi level in the TiO2, and a high photovoltage of 920 mV with photocurrents of 10 mA∙cm−2 and 6.2% power conversion efficiency. Meanwhile, a large driving force remains for the dye regeneration of the Y123 dye with high efficiencies. The square-planar Cu(oxabpy) complexes yield viscous gel-like solutions. The unique charge transport characteristics are attributed to a superposition of diffusion and electronic conduction. An enhancement in charge transport performance of 70% despite the higher viscosity is observed upon comparison of Cu(oxabpy) to the previously reported Cu(tmby)2 redox electrolyte.
1. Introduction
A steep incline in energy demands, paired with an increased awareness of climate change, has driven the development of renewable energy sources [1]. Technologies for harvesting solar energy have evolved and photovoltaics has become a major focus in today’s politics and research. Dye-sensitized solar cells (DSCs), as first described by Gerischer [2] and implemented by Grätzel [3], provide a low-cost alternative for large-scale solar energy conversion based on inexpensive and Earth-abundant materials [4,5,6]. Since the beginning of DSC development in 1991, impressive power conversion efficiencies above 14% have been demonstrated [7]. Light absorption in a DSC is based on dye molecules anchored to a porous metal oxide semiconductor (typically TiO2, Figure 1a). Photon absorption leads to injection of electrons from the excited dye molecules (D*) into the conduction band of the semiconductor and subsequently an external circuit, while the dye is regenerated by a redox electrolyte. Crucial photovoltaic parameters of solar cells include the photocurrent, determined by light absorption and carrier injection by the dye, and the photovoltage, largely dependent on the molecular engineering of the redox mediators. Initially, the iodide–triiodide redox couple played an important role in the electrolyte development [8]. The I−/I3− electrolyte allows high photocurrents by reducing recombination losses [9]. However, it also carries drawbacks such as potential drops and competitive light absorption [10,11]. In 2010, Feldt et al. demonstrated high-efficiency DSCs with CoII/III(bpy)3 as redox mediators [12]. Upon further investigation, however, deficient diffusion through the mesoporous TiO2 layer limited the photovoltaic performance of these bulky octahedral tris-bipyridine-based cobalt mediators [13,14,15]. Furthermore, cobalt complexes showed limited stability especially under irradiative conditions due to e.g., ligand exchanges, impeding their potential for large-scale applications [16]. CuI/II-based redox shuttles emerged as premiere high-performing, tunable redox mediators and stand out through straightforward synthetic paths and high photovoltages based on low-cost materials. Hattori et al. introduced for the first time bis(2,9-dimethyl-1,10-phenanthroline)copper(I/II) complexes as redox mediators with 1.4% power conversion efficiency (PCE) [17]. Consecutively, PCEs of 7% with the C218 dye were achieved by Bai et al. and a 8.3% PCE was presented by Freitag et al. with the organic D-π-A dye LEG4 [18,19]. The mark of 10% PCE was surpassed for copper-based DSCs when Saygili et al. introduced copper bipyridyl redox mediators in 2016 [20]. Recent results present improved PCEs up to 11.7% [21,22].
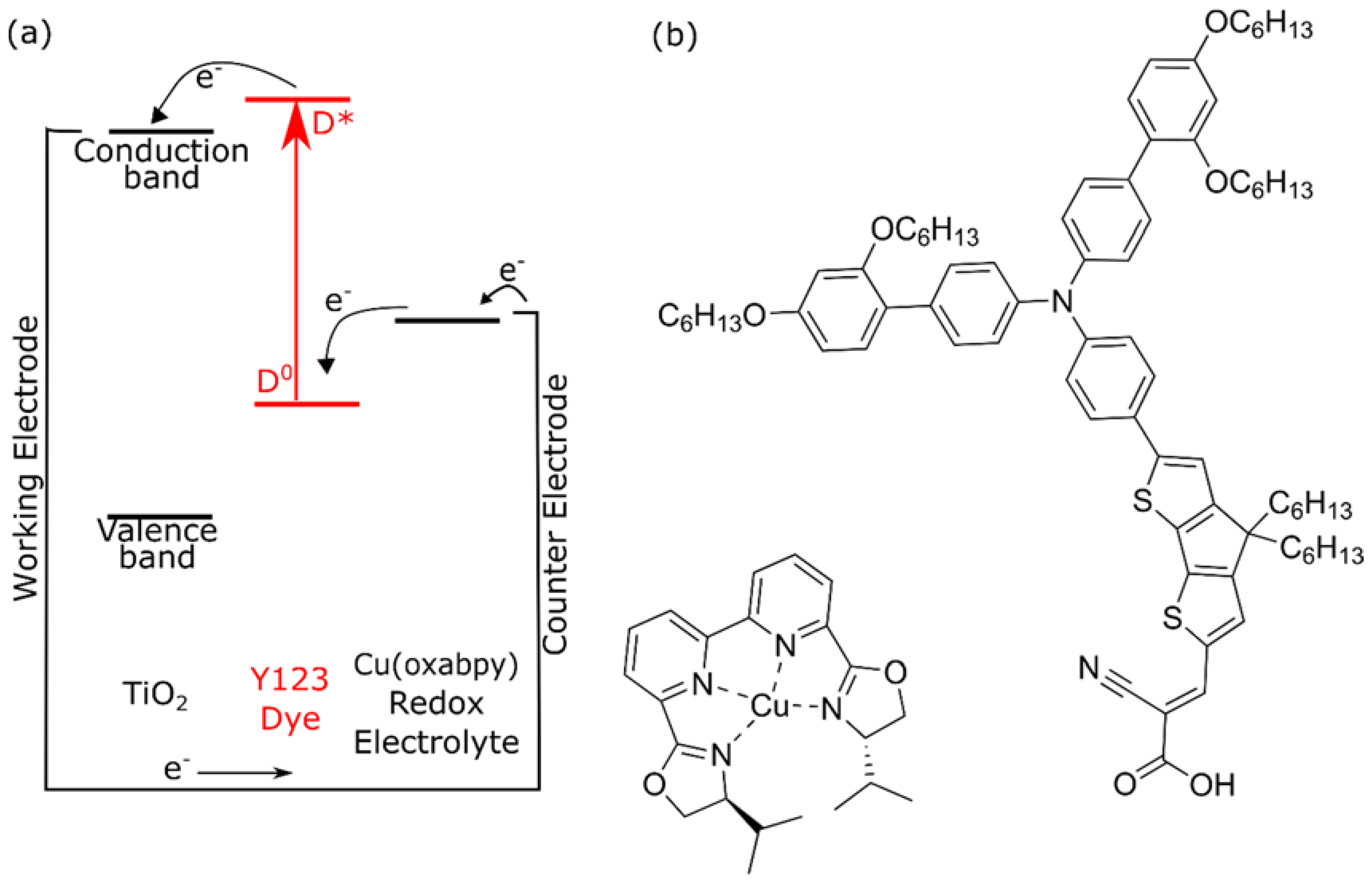
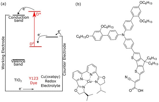
Figure 1.
(a) Schematic diagram of charge transport processes in a Dye-sensitized Solar Cell (DSC). (b) Chemical structures of the Cu(oxabpy) complex (left) and the Y123 dye (right). One or two bis(trifluoromethane)sulfonimide (TFSI) ions (not shown) serve as counter-ions for the CuI- and CuII-based complexes, respectively.
DSCs, however, carry a disadvantage in the usage of liquid volatile electrolytes. Difficulties concerning encapsulation have thus far impeded the commercial production of DSCs. Therefore, the development of electrolytes with higher viscosity shows higher potential for commercialization [23]. Furthermore, solid-state hole transport materials (HTMs) evolved as solvent-free hole transport materials based on organic hole conductors as well as metal complexes [24,25].
Reorganization energies upon changes of oxidation state are one reason for performance losses in DSCs mediated by metal complexes [26,27,28]. In previously reported approaches, this reorganization was prevented by ligands with sterically hindering groups to suppress coordination changes upon charging/discharging [18,20].
In the present work, we report a copper(I/II) redox couple with a tetradentate (6,6′-bis(4-(S)-isopropyl-2-oxazolinyl)-2,2′-bipyridine) ligand, CuI/II(oxabpy) (Figure 1b). Linking all four coordination sites into one ligand molecule greatly reduces geometry re-arrangements between different copper oxidation states, compared to mono- or bidentate ligands [29,30]. Therefore, charges can be mediated in the Cu(oxabpy) redox electrolyte more rapidly and with fewer potential losses. In addition to smaller geometry rearrangements, the tetradentate ligand also impedes ligand exchange or loss processes [31]. Low absorption coefficients in the visible range render competitive light absorption negligible. Recombinative charge transfer of electrons from the TiO2 to the CuII species is largely suppressed for the Cu(oxabpy) electrolyte, leading to a high Fermi level in the TiO2. Therefore, open-circuit potentials of 920 mV, 9.75 mA∙cm−2 photocurrent and 6.2% PCE were reached in Y123-sensitized DSCs despite the comparatively low redox potential (0.66 V vs. normal hydrogen electrode (NHE)) compared to previously reported Cu-based redox mediators [20]. Furthermore, the square planar coordination geometry of Cu(oxabpy) complexes enables superior charge transport properties. Cu(oxabpy) electrolytes exhibit a more than 2.5 times higher viscosity relative to the previously reported Cu(tmby)2 redox system. Nonetheless, the Cu(oxabpy) electrolyte shows a 1.6 times higher conductivity at similar bias potentials.
2. Results and Discussion
2.1. Characterization of Cu(oxabpy) Complexes
Absorption and photoluminescence spectra of CuI/II(oxabpy) complexes are shown in Figure 2. Absorption and photoluminescence maxima as well as extinction coefficients are tabulated together with the formal redox potential in Table 1. The redox potential was obtained through the cyclic voltammogram of the CuI(oxabpy) complex (see Figure S1).
Figure 2.
Absorption spectra (solid lines) of CuI(oxabpy) (red) and CuII(oxabpy) (blue).
Table 1.
Optical and Electrochemical Characteristics of CuI/II(oxabpy) Complexes.
The optical absorption spectrum of CuI(oxabpy) shows a first optical transition associated with the HOMO–LUMO transition around 520 nm. This is confirmed by the calculated weak oscillator strength for the first vertical transition computed with time-dependent DFT (TD-DFT) (see below for computational details, corresponding data are listed in Table S1). The absorption maximum at 415 nm is attributed to excitation of electrons from the HOMO − 2 to the LUMO (Figure S5). The oscillator strength for this transition is calculated to be two orders of magnitude higher than for the first transition. An extinction coefficient of 1587 M−1 cm−1 was measured for CuI(oxabpy) and negligible absorption was observed around 700 nm for the CuII(oxabpy). Therefore, the Cu(oxabpy) electrolyte competes for light absorption significantly less than previously introduced Cu-based electrolytes (e.g., 5300 M−1 cm−1 for CuI(tmby)2) [20].
The formal potential of the Cu(oxabpy) redox system is found at 0.66 V vs. NHE. It is thus situated significantly lower compared to previously reported Cu-based redox electrolytes (e.g., 0.87 V for Cu(tmby)2) [20].
Electrolyte solutions with the CuI/II(oxabpy) redox couple were gel-like in appearance. To study the gelation of Cu(oxabpy) complexes, viscosity measurements were conducted for Cu(oxabpy) with respect to the Cu(tmby)2 redox system in CuI 5:1 CuII composition (as in the electrolyte). The flow speed through a capillary measured with a ViscoClock showed that the addition of Cu(oxabpy) complexes to chloroform lead to a 2.6 times greater increase of the solution viscosity compared to the addition of an equal amount of the Cu(tmby)2 couple (see Figure S2).
Raman spectra of CuI/II(oxabpy) complexes are shown in Figure 3.
Figure 3.
Raman spectra of Cu(oxabpy)TFSI, Cu(oxabpy)TFSI2 and MgTFSI2. For clarity, the CuI and CuII spectra were offset by 8 × 103 and 11 × 103 counts, respectively. Black boxes highlight Raman modes of the TFSI counterion, red dashed boxes mark modes of the complex.
Modes between 250 cm−1 and 410 cm−1 as well as at 749 cm−1 in the spectra of Cu(oxabpy)TFSI and Cu(oxabpy)TFSI2 were identified to origin from the TFSI counterion (black boxes). Furthermore, features at 1131 cm−1 and 1247 cm−1 were associated with the TFSI counterion. The TFSI modes are generally found in higher relative intensity for the CuII(oxabpy) compared to the CuI(oxabpy), confirming the presence of two TFSI counterions for the CuII(oxabpy) complex. The CuII(oxabpy) complex shows strong modes at 1003 cm−1 and 1040 cm−1, which can be affiliated with a C–N stretch and a pyridine breathing mode as previously reported for similar compounds [32]. The breathing mode, however, is not visible in the spectrum of CuI(oxabpy). This is attributed to the longer bond to the copper metal center (see Figure 4), which impedes this vibration and serves as a strong signature to distinguish the coordination of CuI or CuII to the pyridine nitrogen. Additional modes at 630 cm−1 and 668/680 cm−1 in the CuI/II(oxabpy) complexes are attributed to the oxazoline units. A pair of bands arises at 668/680 cm−1 upon coordination in CuII(oxabpy), while the vibration at 680 cm−1 is again not visible in CuI(oxabpy).
Figure 4.
CuI(oxabpy) (a,c) and CuII(oxabpy) (b,d) minimum-energy structures calculated at the DFT/B3LYP-D3BJ level of theory in acetonitrile (PCM). (a,b): top view. Non-equivalent Cu–N distances (black dashed lines) and distances between germinal H of terminal isopropyl groups (grey dotted lines) are indicated. (c,d): lateral view. Dihedral angles of each N1–N2–N3–N4 plane (ΘN1–N4) are indicated.
2.2. Density Functional Theory Calculations
In order to estimate the reaction-free energies and internal reorganization energies for the CuI/II(oxabpy) complexes, DFT calculations with the Gaussian 16 suite of programs [33] were performed at the B3LYP-D3B [34] level of theory [34,35,36], with SDD as basis set for Cu and 6-31++G(d,p) basis set for other atoms. Structural optimizations, molecular frequencies, and thermochemistry data have been computed in acetonitrile by applying the polarizable continuum model (PCM) for the solvent degrees of freedom [37]. Vertical excitation energies for the CuI/II(oxabpy) complexes have been computed on the minimum energy structures with time-dependent DFT (TD-DFT) by applying the same level of theory and solvent model [38].
The minimum-energy structures of CuI/II(oxabpy) complexes are shown in Figure 4.
From analysis of DFT minimum energy geometries for CuI and CuII complexes, the most evident feature is the significant shift of the copper position upon oxidation from CuI to CuII. While both CuI and CuII complexes have a planar configuration of the N4 open ring, the coordination of CuI tends to involve only the two nitrogen atoms in the oxazoline groups in a quasi linear geometry (Cu–N distances are reported in Figure 4). In the CuII complex the copper atom is accommodated in a planar square configuration with the four nitrogen atoms with about 2.0 Å of distance. Moreover, the N4 pseudo-ring appears to be more open by ~10% in the case of CuI than in the CuII one. These coordination differences have a direct consequence on the computed spectroscopic properties of the complexes, in agreement with the observed experimental differences between the Raman spectra of CuI/CuII complexes (see Figure 3). Quenching of the pyridine breathing vibration at 1247 cm−1 for the CuI(oxabpy) complex proves the alteration of the metal–ligand bonding with respect to CuII(oxabpy). Therefore, the change in bond lengths as suggested by DFT calculations is confirmed.
To study the stability of CuI/CuII(oxabpy) complexes and the possibility of an additional coordination of a TFSI counterion, we first considered the binding between CuI/CuII species and the (oxabpy) ligand. Total binding energies have been computed as total energy differences between the complexes and the isolated species (including zero-point vibrational energies). For the CuI/CuII(oxabpy) complexes the computed values are −3.27 and −8.20 eV for CuI and CuII, respectively. The negative values mean that the formation of these complexes is favorable. When adding a TFSI anion to these systems, we considered the interaction between its N atom and the copper, forming a pseudo-square pyramid coordination with the CuI/II (see Figure S3–S4). In these new complexes the computed binding energies become −3.54 and −8.77 eV for CuI and CuII, respectively. The TFSI alone provides an extra stabilization of −0.27 and −0.57 eV for CuI and CuII complexes, respectively.
From these data we obtain that the CuII interacts more strongly with the ligand, probably due to the more efficient coordination of all the four N atoms of the oxabpy ligand. The favorable interaction with TFSI is mostly due to classic electrostatics, as a matter of facts the TFSI does not alter the nature and the shape of the frontier orbitals (as shown for the HOMO in Figure S4). These results highlight the importance of considering also the possibility of other co-ligands for the CuI/II(oxabpy) complexes, paving the route to further studies in this direction.
2.3. Photovoltaic Performance in Dye-Sensitized Solar Cells
Photovoltaic data of Y123-sensitized solar cells fabricated with the Cu(oxabpy) and Cu(tmby)2 redox couples are shown in Figure 5a and listed in Table 2. Electrolyte solution for the solar cells (as well as for ensuing studies in this article) was comprised of 0.2 M CuI and 0.04 M CuII species of the respective complex. The reader is referred to Figures S6–S9 for measurement statistics, solar cell characterization at lower light intensity and studies concerning electrolyte compositions.
Figure 5.
Photovoltaic performance. (a) Current density vs. applied potential under standard AM 1.5G illumination and 10% light intensity; (b) Incident Photon-to-Current Conversion Efficiency (IPCE) for Y123-sensitized DSCs (recorded at 10 mW/cm2 illumination).
Table 2.
J–V characteristics for Y123-sensitized solar cells with Cu(tmby)2 and Cu(oxabpy) electrolyte under full AM 1.5G and under 10% light intensity. For detailed characterization, the reader is referred to Figures S6–S9 in the Supporting Information.
The open-circuit voltage (Voc) of a dye-sensitized solar cell is given by the difference in energy between the Fermi level (EF) in the mesoporous TiO2 and the effective redox potential of the electrolyte [11]. Solar cells with the Cu(tmby)2 redox couple show a photovoltage of 1040 mV, while those with Cu(oxabpy) exhibit a maximum photovoltage of 920 mV. Intriguingly, the Cu(oxabpy) redox couple (0.66 V vs. NHE) shows a 210 mV lower formal redox potential compared to Cu(tmby)2 (0.87 V vs. NHE) [20], while solar cells generate a photovoltage which is only 120 mV lower. Slow recombination kinetics of excited electrons with CuII(oxabpy) lead to a higher Fermi level in the TiO2 and thus to a high photovoltage. This effect will be further discussed in the lifetime measurements in Figure 6.
Figure 6.
Electron lifetimes in Y123-sensitized TiO2 in Cu(tmby)2 (black) and Cu(oxabpy) electrolyte. The color code indicates the ratio of CuII in the Cu(oxabpy) electrolyte (orange = standard electrolyte 0.2 M CuI, 0.04 M CuII; blue = 1:1 mixture).
A slightly lower photocurrent of 9.75 mA·cm−2 is measured for the Cu(oxabpy) cells with respect to 10.5 mA·cm−2 for the Cu(tmby)2 system. At 10% light intensity, similar photocurrents are recorded with both electrolytes. Figure 5b shows IPCE spectra for abovementioned Y123-sensitized solar cells recorded at 10% illumination intensity. IPCE spectra of DSCs with Cu(tmby)2 and Cu(oxabpy) electrolytes match well across the entire spectral range, yielding a similar integrated photocurrent for both electrolytes. Therefore, the lower photocurrent at full illumination for Cu(oxabpy) cells has to be attributed to mass transport deficiencies through the porous TiO2 network that originate from the high viscosity of the Cu(oxabpy) redox electrolyte. Investigations at 10% light intensity (Figures S8 and S9) highlight that photocurrents with the Cu(oxabpy) redox couple can be enhanced up to 1.58 mA/cm2, beyond the 1.45 mA/cm2 obtained for Cu(tmby)2, upon further addition of CuII(oxabpy) up to a 1:1 mixture of CuI/II. This indicates that the presence of the CuII species facilitates charge transport in the Cu(oxabpy) redox electrolyte. The increased presence of recombination sites in CuII(oxabpy), however, leads to a decrease in photovoltage.
2.4. Electron Lifetime Measurements
Recombination kinetics between excited electrons in the TiO2 and the redox electrolyte were further investigated with electron lifetime measurements (Figure 6).
To demonstrate the influence of the CuII content in the electrolyte on recombination kinetics, measurements are presented for electrolyte compositions from the standard 5:1 electrolyte (orange) stepwise to a 1:1 mixture of CuI/II (blue). CuI concentration was kept constant in all compositions, the respective entry indicates the relative concentrations of CuI and CuII. The observation of a Fermi level shifts up to 70 mV for the Cu(oxabpy) standard electrolyte compared to the Cu(tmby)2 reference supports the hypothesis of slow recombination kinetics for the Cu(oxabpy) redox couple. The shift in the Fermi level follows a consistent trend towards lower potentials upon increase of CuII concentration in the electrolyte, as a larger number of recombination sites becomes available for excited electrons.
A number of processes are to be taken into account for recombination in DSCs [11]. Ultimately, electron lifetimes in the Cu(oxabpy) electrolyte (foremost for electrolytes with little CuII) exceed electron lifetimes for solar cells with the Cu(tmby)2 redox couple. In agreement with aforementioned observations, lifetimes of excited electrons in electrolytes with higher CuII concentrations decrease due to additional recombination sites in the electrolyte. Therefore, an increased CuII concentration leads, while it does facilitate charge transport (see Figure S10), to a lower open-circuit voltage.
2.5. Dye Regeneration
Photoinduced absorption spectroscopy (PIA) was employed to assess dye regeneration by the Cu(oxabpy) redox system. Figure 7a shows PIA spectra of Y123-sensitized photoanodes in inert and in Cu(oxabpy) electrolyte.
Figure 7.
(a) Photoinduced absorption and (b) transient absorption spectra of Y123-sensitized photoanodes in inert (black) as well as Cu(oxabpy) electrolyte. The color code indicates the ratio of CuII in the Cu(oxabpy) electrolyte (orange = standard electrolyte 0.2 M CuI, 0.04 M CuII; blue = 1:1 mixture).
Scans were performed with a constant CuI concentration of 0.2 M in the electrolyte and increasing CuII content according to the color code up to a 1:1 mixture (blue). In the case of inert electrolyte (0.1 M LiTFSI, 0.6 M tBP), the Y123-dye shows the characteristic Stark-shifted ground state bleach (500–600 nm) and the absorption of the oxidized dye (680 nm, 800 nm) [39]. For all constitutions of the Cu(oxabpy) electrolyte, the absorption of the dye in the oxidized state is largely suppressed. Therefore, it can be deduced that electrons are rapidly transferred from the redox electrolyte to the oxidized dye molecules. A bleach around 550–600 nm persists and can be attributed to local electric fields. Minor remaining absorption at near-infrared wavelengths are associated with electrons in the TiO2 [40]. Quenching of the oxidized dye decreases with increasing CuII content in the electrolyte due to a reduced presence of the CuI species in the immediate proximity of the oxidized dye. This effect was further studied with transient absorption spectroscopy (TAS, Figure 7b). Results are summarized in Table 3.
Table 3.
Regeneration times and efficiencies for Y123-sensitized photoanodes in inert and Cu(oxabpy) electrolyte, by addition of CuII into the electrolyte.
In inert electrolyte (black), excited electrons in the TiO2 recombine with oxidized dye molecules with a half-time (τ1/2,inert) of 104 µs. In the case of Cu(oxabpy) electrolyte, a significantly faster absorption decay (τ1/2,reg) is observed for all compositions. Correspondingly, dye regeneration efficiency Фreg can be calculated.
The fastest regeneration of 6.19 µs is observed for the electrolyte with the CuI species only, corresponding to a regeneration efficiency above 94%. A coherent decrease in dye regeneration is subsequently observed upon addition of CuII to the electrolyte as it hinders CuI species from transferring charges to the dye molecules. The high regeneration efficiencies of the Y123 dye by the Cu(oxabpy) redox system prove efficient charge compensation in DSCs.
2.6. Charge Transport in the Cu(oxabpy) Redox Electrolyte
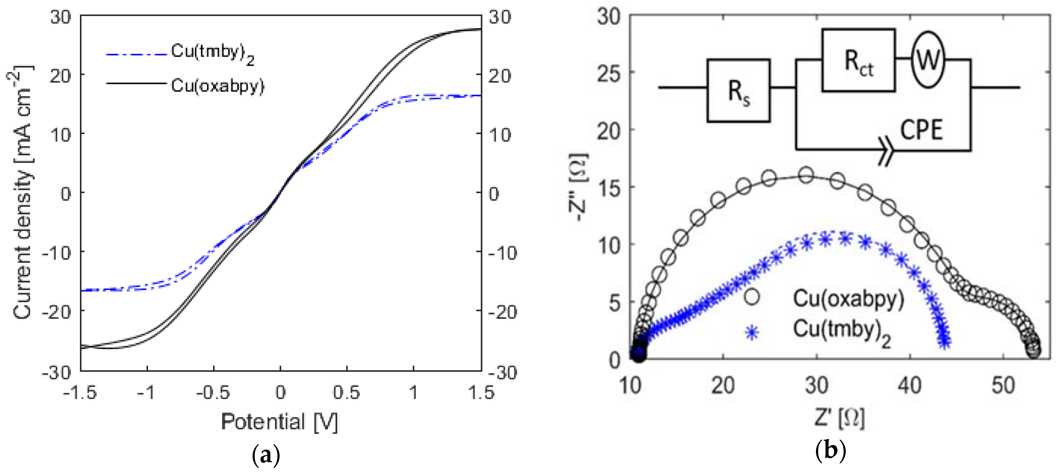
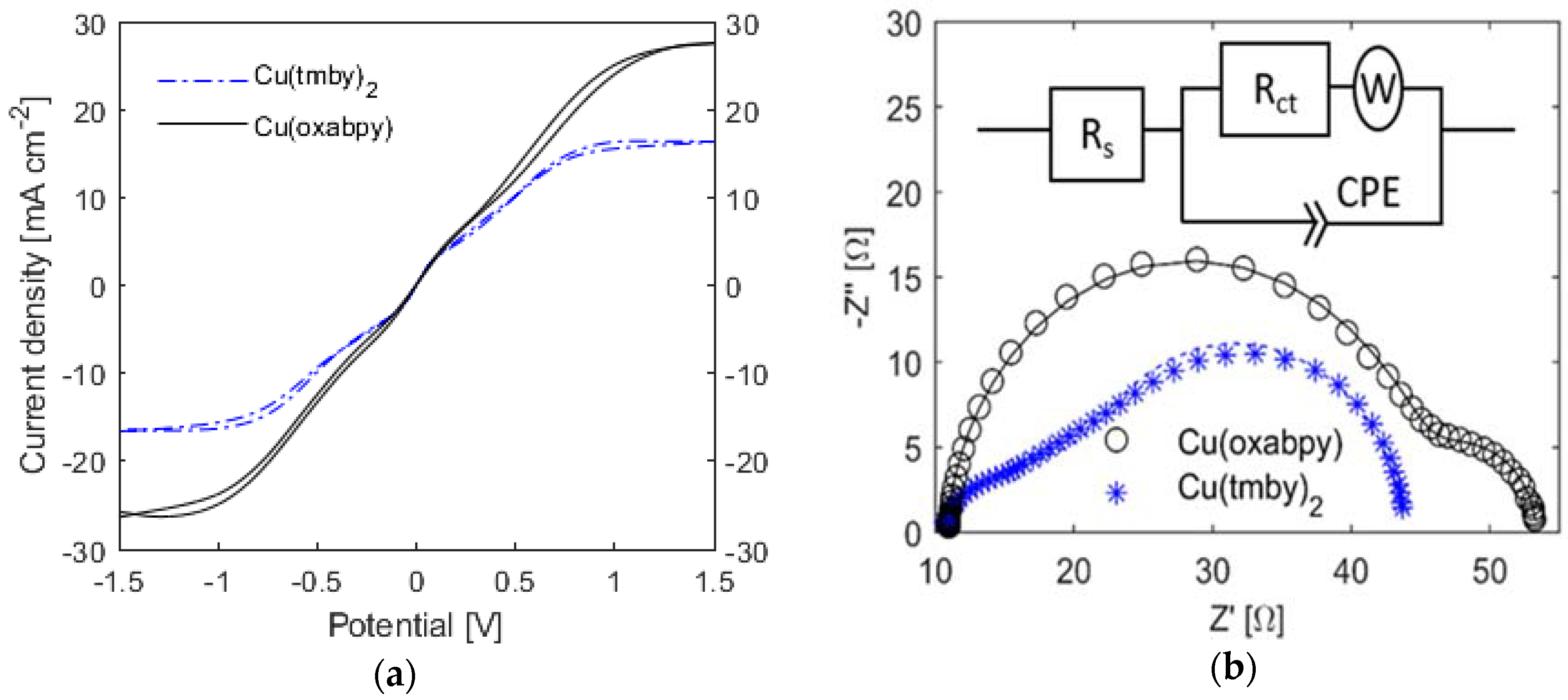
The charge transport in the Cu(oxabpy) electrolyte was investigated with symmetrical cells with poly(3,4-ethylenedioxythiophene) (PEDOT) contacts on either electrode. Figure 8a shows cyclic voltammograms of these symmetrical cells with the Cu(tmby)2 and Cu(oxabpy) redox couples. Results of these investigations are summarized in Table 4.
Figure 8.
Electrochemical characterization of symmetrical PEDOT-PEDOT cells with Cu(tmby)2 and Cu(oxabpy) electrolyte. (a) Cyclic voltammetry (scan speed 25 mV/s); (b) Electrochemical impedance spectra recorded at zero-potential; the circles indicate experimentally collected data points, dashed lines represent fits to the alternative circuit model (inset). Figures S10 and S11 and Table S2 include investigations for varying CuI/II(oxabpy) electrolyte composition.
Table 4.
Electrochemical characterization of symmetrical PEDOT-PEDOT cells. The first two rows list current density JL and diffusion coefficient D from the cyclovoltammograms. The equivalent circuit parameters for the electrochemical impedance spectra are: serial resistance RS, charge transfer resistance RCT, frequency-independent parameters Q and β for the constant phase element and resistance RW, as well as time constant TW, for the Warburg diffusion model. Diffusion coefficients from the electrochemical impedance spectra are shown in the last row. The diffusion coefficients were calculated from Equations (2) and (5), respectively. Previously reported values in parenthesis.
The shape of the cyclic voltammograms at low potentials follows that of a characteristic ohmic resistance. From potentials around 1 V, however, mass transport deficiencies impede the charge transport. In this diffusion-limited region at high potentials, cells with the Cu(oxabpy) redox electrolyte exhibit a 1.7 times higher current at similar potential compared to the Cu(tmby)2 reference cells. The limiting current can be directly associated with the diffusion of the copper complexes in the electrolyte,
where n is the number of exchanged electrons (n = 1 for common copper-based redox systems), F represents the Faraday constant, c and D are the concentration and the diffusion coefficient of the limiting species (i.e., the minority species, in these cases the CuII), and δ is the spacing between the electrodes.
The diffusion coefficients for CuII(tmby)2 and CuII(oxabpy) obtained from the cyclic voltammograms are calculated in Table 4. The diffusion coefficient for Cu(tmby)2 is estimated around 8.6 cm2/s, slightly lower but within reasonable agreement with previously reported values from similar experimental setups [41,42]. The higher limiting current for the Cu(oxabpy) system yields a correspondingly 1.7 times higher diffusion coefficient of 14.3 cm2/s. A faster transport in the Cu(oxabpy) gel-like electrolyte appears intriguing when related to the fact that its viscosity was estimated more than 2.5 times higher than that of Cu(tmby)2. The enhanced charge transport properties are hence to be attributed to superposition of diffusion with an additional transport mechanism such as charge hopping. The square-planar coordination geometry of Cu(oxabpy) complexes appears to enable direct electronic interactions between the complexes, leading to charge-hopping transitions along Cu(oxabpy) complexes and thus a more effective charge transport in the electrolyte. Such charge transport based on intermolecular transfers had previously been successfully demonstrated in copper complexes as solid hole transport materials [25,43].
The advanced charge transport in the Cu(oxabpy) redox electrolyte was also observed in electrochemical impedance spectroscopy on symmetrical PEDOT-PEDOT cells (Figure 8b). Experimental results (circles/stars) were fitted to the alternative circuit shown in the inlet.
A constant phase element (CPE) was proposed for the impedance of the electrochemical double layer at the PEDOT/electrolyte interface,
where ω represents the frequency, and Q and β represent the parameters of the CPE. The constraint of 0 ≤ β ≤ 1 was applied for the fitting of experimental data. A short-circuit Warburg model was applied for the diffusion impedance parallel to the CPE,
where ω is the frequency, RW the diffusion resistance and TW the diffusion time constant, which are defined as
with the absolute temperature T, the gas constant R, cell spacing δ, number of charges z, Faraday constant F, area A and concentration c, as well as diffusion coefficient D for the transport-limiting species (here the CuII) [44]. Resistances were inserted at the beginning of the circuit as well as before the diffusion element.
Fitted parameters are summarized in Table 4. Electrochemical impedance spectra of symmetrical PEDOT-PEDOT cells generally exhibit two semicircles, originating from the charge transfer resistance at the electrolyte/PEDOT interface and from the diffusion impedance. The charge transfer resistance dominates the impedance response for the Cu(oxabpy) system while this contribution becomes less significant for the Cu(tmby)2 electrolyte, where a more distinct diffusion impedance arises. The high charge transfer resistance in the case of the Cu(oxabpy) redox system corresponds to a slower charge transfer rate at the electrolyte/PEDOT interface. This can be directly related to the lower fill factor in the solar cell devices.
Diffusion coefficients in the redox electrolytes were deduced from the fitted diffusion resistances RW according to Equation (5). The estimated diffusion coefficient for the diffusion-limiting CuII(tmby)2 of 22.4 × 10−6 cm2/s is found in excellent agreement with previously reported values and supports the proposed equivalent circuit model [20,41]. A similar circuit model was applied to fit the impedance spectrum of Cu(oxabpy). The agreement between experimental data and the equivalent circuit fit indicates that diffusive mass transport is the determining charge transport mechanism. The obtained diffusion coefficient for CuII(oxabpy) of 63.7 × 10−6 cm2/s exceeds the diffusion coefficient of CuII(tmby)2 by a factor of 2.8. With respect to the higher viscosity of the Cu(oxabpy) electrolyte, this result supports the above-proposed superposition of diffusive mass transport with a hole-hopping mechanism.
Both cyclic voltammetry and electrochemical impedance spectra indicate a significantly enhanced charge transport in the Cu(oxabpy) electrolyte with respect to Cu(tmby)2. Nonetheless, higher photocurrents were, at full illumination, measured with the Cu(tmby)2 redox electrolyte. This indicates that the mesoporous TiO2 hinders charge transport in the Cu(oxabpy) system.
3. Materials and Methods
3.1. Materials
Unless otherwise noted, materials were purchased from Sigma-Aldrich (Stockholm, Sweden) or TCI Chemicals (Zwijndrecht, Belgium) and used without further purification. Bis-(4,4′,6,6′-tetramethyl-2,2′-bipyridine)copperI/II bis(trifluoromethanesulfonyl)imide, (CuI/II(tmby)2), was received from Dyenamo AB (Stockholm, Sweden).
3.2. Synthesis of (6,6′-bis(4-(S)-isopropyl-2-oxazolinyl)-2,2′-bipyridine)Copper(II) bis (bis(trifluoromethanesulfonyl)imide) (CuII(oxabpy))
CuII(oxabpy) was synthesized by reacting CuTFSI2 (779.75 mg, 1.25 mmol) with 6,6′-bis(4-(S)-isopropyl-2-oxazolinyl)-2,2′-bipyridine (567 mg, 1.5 mmol) in acetonitrile at 70 °C for 12 h. The development of a deep blue/green color indicated complexation. The complex was precipitated in water and filtered. The product was dissolved in acetonitrile and dried with sodium sulfate. The solvent was subsequently removed and the product dried under high vacuum for 48 h (63.8%). ESI-MS m/z: Cu(oxabpy)2+ calculated 220.567, found 220.600. FT-IR (cm−1): C–H stretch 2978, 2931, 2893; C–H bend 1454; S=O stretch 1381; C=N (aromatic) stretch 1327; C–O (ether) stretch 1157; CH3 rock 1049; C=C bend 887; Elemental analysis (calculated/found (%)): C 39.92/41.51, H 3.63/3.87, Cu 8.80/8.25, N 9.70/9.94, S 8.88/9.71.
3.3. Synthesis of (6,6′-bis(4-(S)-isopropyl-2-oxazolinyl)-2,2′-bipyridine)Copper(I) bis(trifluoromethanesulfonyl)imide (CuI(oxabpy))
CuI(oxabpy) was obtained by reducing the aforementioned CuII(oxabpy) (450 mg, 0.448 mmol) with L-ascorbic acid (236 mg, 1.344 mmol) in acetonitrile for 2 h. A brown color indicating the formation of CuI(oxabpy) was observed after several minutes. Precipitation in water was followed by filtration, dissolution in acetonitrile, and drying with sodium sulfate. After solvent removal, the complex was dried under high vacuum for 48 h (81.2%). ESI-MS m/z: Cu(oxabpy)+ calculated 441.135, found 441.059. 1H NMR (400 MHz, Acetonitrile-d3) δ 8.36 (t, J = 15.2 Hz, 2H), 8.36 (d, J = 15.0 Hz, 2H), 8.04 (dd, J = 7.5, 1.3 Hz, 2H), 4.45 (t, J = 9.6 Hz, 2H), 4.34 (t, J = 9.1 Hz, 2H), 2.81 (td, J = 9.4, 5.9 Hz, 2H), 1.47 (oct, J = 6.9 Hz, 2H), 0.55 (t, J = 6.3 Hz, 12H). FT-IR (cm−1): C–H stretch 2978, 2931, 2885; C–H bend 1454; S=O stretch 1381; C=N (aromatic) stretch 1296; C–O (ether) stretch 1095; CH3 rock 1057; C=C bend 887; Elemental analysis (calculated/found (%)): C 31.16/35.27, H 2.61/3.67, Cu 6.34/5.42, N 8.38/9.03, S 12.79/13.55.
3.4. UV/VIS Spectroscopy
UV/VIS spectra were measured using a HR-2000 spectrophotometer (Ocean Optics, Largo, FL, USA) with baseline correction from acetonitrile solutions of the complexes.
3.5. Viscosity Measurements
Viscosities were studied with a capillary and ViscoClock (Schott, Mainz, Germany). The test solutions for both CuI/II(tmby)2 as well as CuI/II(oxabpy) were prepared with 10 mg/mL in chloroform. The complexes were mixed in a 5:1 ratio such as in the electrolyte (Cu(tmby)2: 7.85 mg CuI, 2.14 mg CuII; Cu(oxabpy): 7.82 mg CuI, 2.17 mg CuII). LiTFSI as well as tBP were excluded from the measurements.
3.6. Raman Spectroscopy
Raman spectra were collected using an InVia spectrometer (Renishaw, New Mills, UK) in confocal mode with a 50× objective, a frequency doubled Nd:YAG laser operating at 532 nm, and a Rayleigh line filter cutting 80 cm−1 into the Stokes part of the spectra. A 2400 lines/mm grating was used and the 520.5 cm−1 line from Si was used as a calibration giving a resolution of 1 cm−1. The Raman spectra were recorded at different spots to confirm the homogeneity of the material. Similar results were obtained upon repetition of the measurements with varying laser intensities.
3.7. Solar Cell Fabrication
Solar cell fabrication followed procedures previously reported from our laboratory [18]. Solar cells were manufactured using TEC15 FTO glass (Pilkington, St. Helens, UK). After several glass cleaning steps (RBS solution, water, ethanol, UV-Ozone (30 min each)), a dense TiO2 layer was deposited via spray pyrolysis at 450 °C from a 0.2 M titanium tetraisopropoxide, 2 M acetylacetone solution in isopropanol [45]. Subsequently, 0.25 cm2 TiO2 photoanodes were screen-printed from Dyesol/GreatCellSolar (Queanbeyan, Australia) DSL 30 NRD-T collodidal TiO2 paste diluted 7:3 with a saturated solution of cellulose in terpineol (4 µm). After drying at 120 °C for 5 min, a scattering layer (Dyesol/GreatCellSolar WER2-0) was screen-printed on top of the mesoporous film (4 µm), followed by a 30 min sintering step at 500 °C. After cooling, substrates were immersed in a 40 mM TiCl4 aqueous solution for 30 min at 70 °C and then sintered again at 500 °C for 30 min.
Dye solution was prepared with 0.1 mM Y123 (Dyenamo, Stockholm, Sweden) and 0.2 mM chenodeoxycholic acid in an acetonitrile 1:1 tert-butanol mixture. TiO2 substrates were immersed in dye solution for 16 h after the aforementioned heating step.
PEDOT counter electrodes were manufactured by electro-polymerization of (3,4-ethylene dioxythiophene) from a 0.01 mM aqueous solution with 0.1 M sodium dodecyl sulfate as previously studied in our group [46]. Redox electrolyte solutions were, unless otherwise noted, prepared in acetonitrile with 0.2 M Cu(oxabpy)TFSI and Cu(oxabpy)TFSI2 concentrations between 0 and 0.2 M. Reference cells were assembled with 0.2 M Cu(tmby)TFSI and 0.04 M Cu(tmby)TFSI2 electrolyte [20]. All electrolytes were prepared with additions of 0.1 M lithium bis(trifluoromethanesulfonyl)imide and 0.6 M 4-tert-butylpyridine.
Cells were assembled with a 25 µm Surlyn frame. Electrolyte solution was vacuum-injected through a pre-drilled hole in the counter electrode. After injection, the cells were sealed with a thermoplastic Surlyn cover and a glass coverslip.
3.8. Solar Cell Characterization
Current-Voltage measurements were carried out under AM 1.5G illumination using a 91160 solar simulator (Newport, Irvine, CA, USA). A 2400 voltage source (Keithley, Cleveland, OH, USA) was used to assess solar cell performance. After calibration with a certified silicon reference cell (Frauenhofer ISE, München, Germany), a mask was employed to confine active solar cell area to 0.16 cm2. Neutral density filters were placed between the light source and each cell to perform low light intensity measurements.
3.9. Incident Photon-to-Current Conversion Efficiency (IPCE)
IPCE spectra were recorded with an ASB-XE-175 xenon light source (10 mW∙cm−2) (Spectral Products, Putnam, CT, USA) and a CM110 monochromator (Spectral Products, Putnam, CT, USA). The photocurrent was measured with a U6 digital acquisition board (LabJack, Lakewood, CO, USA). The setup was calibrated with a certified silicon reference cell (Frauenhofer ISE, München, Germany). Photocurrent was integrated based on sunlight spectral distribution [47].
3.10. Electrochemistry
Electrochemical characterization was carried out with an XR potentiostat (Ivium, Eindhoven, The Netherlands). Cyclic voltammetry was recorded using a three-electrode setup employing a 2 mm disk gold electrode and a porous graphite rod as working and counter electrode, respectively. Potentials were measured against a Ag/AgCl (1 M KCl, H2O) reference electrode. Voltammograms were recorded from a 5 mM acetonitrile solution of CuI(oxabpy) with 0.1 M tetrabutylammonium hexafluorophosphate supporting electrolyte at a scan speed of 20 mV/s. All potentials were subsequently calibrated using the ferrocene/ferrocenium redox couple, measured in the same conditions.
For assessment of the charge transport in the electrolyte, symmetrical PEDOT-PEDOT cells were assembled. Therefore, the abovementioned electrochemical polymerization of 3,4-ethylene dioxythiophene was employed to deposit contacts on both anode and cathode. The cells were assembled, injected and sealed as described for the photovoltaic cells above.
Limiting currents in the electrolyte systems were determined through cyclic voltammetry of these symmetrical PEDOT-PEDOT cells. Voltammograms were recorded at a scan speed of 25 mV/s. Electrochemical impedance spectra were recorded at zero-potential on symmetrical PEDOT-PEDOT cells. The voltage was modulated by 10 mV with frequencies ranging from 100 kHz to 0.1 Hz. Devices were kept screened from any light source during measurements.
3.11. Electron Lifetime Measurements
Electron lifetimes were investigated with a 1 W white LED (Luxeon Star, Lethbridge, Canada). Kinetics in the solar cell were probed by applying square-wave modulations to the light intensity. Solar cell response was tracked by a digital acquisition board (National Instruments, Austin, Texas) and fitted with first-order kinetic models.
3.12. Photoinduced Absorption Spectroscopy (PIA)
PIA spectra were recorded using square-wave-modulated blue light (1 W, 460 nm) (Luxeon Star, Lethbridge, Canada), for excitation and white probe light (20 W tungsten-halogen) that was focused on a SP-150 monochromator (Acton Research Corp., Birmingham, AL, USA) with a UV-enhanced Si-photodiode. At sample location, pump and probe light intensities were estimated around 80 W/m2 and 100 W/m2, respectively. The sample response was assessed with a SR570 current amplifier and a SR830 lock-in amplifier (Stanford Research Systems, Reamwood, CA, USA).
3.13. Transient Absorption Spectroscopy (TAS)
TAS spectra were recorded using a frequency-tripled Q-switched Nd-YAG laser as pump and a xenon arc lamp (continuous wave) as probe light source. The laser system was set to 520 nm excitation wavelength with a S12 Quanta-Ray optical parametric oscillator (Spectra Physics, Santa Clara, CA, USA) to provide 1 mJ, 13 ns pulses at an operating frequency of 10 Hz. The sample was positioned at an angle of 45° between the light sources, yielding a 0.35 cm2 cross-sectional active area. The sample response was analyzed at 720 nm with an L920 detection unit (Edinburgh Instruments, Livingston, UK) containing a monochromator, an R928 photomultiplier and a TDS 3052B oscilloscope (Tektronix, Beaverton, OR, US).
4. Conclusions
A new redox electrolyte based on CuI/II(oxabpy) complexes was successfully introduced in dye-sensitized solar cells. The improved charge transport in the gel-like electrolyte appears to originate from a charge hopping mechanism on top of diffusive transport. The Cu(oxabpy) electrolyte outperformed the previously reported Cu(tmby)2 redox system in charge transport tests by 70%. Furthermore, the Cu(oxabpy) redox system shows slow recombination kinetics with electrons in the TiO2. Consequently, an exceptionally high photovoltage of 920 mV (at 100 mW/cm2 AM 1.5G illumination) was achieved despite the moderate redox potential of 0.66 V vs. NHE. Rapid regeneration of the Y123 dye showed efficient charge transfer by the electrolyte. The tetradentate 6,6′-bis(4-(S)-isopropyl-2-oxazolinyl)-2,2′-bipyridine ligand reduces reorganization energies upon oxidation state change, making the Cu(oxabpy) electrolyte a premiere redox system for large-scale applications of DSCs. The gelation effects in the Cu(oxabpy) will be further studied in future work. Due to its charge transport characteristics, the CuI/II(oxabpy) redox couple furthermore promises to be suited as a solid-state hole-transport material.
Supplementary Materials
The following are available online at Supplementary materials can be found at https://www.mdpi.com/2304-6740/6/2/53/s1, Figure S1: Cyclic Voltammetry of CuI(oxabpy), Figure S2: Viscosity study, Figure S3: DFT-estimated lowest energy structures with TFSI coordination, Figures S4 and S5: DFT-estimated frontier orbitals, Table S1: DFT-estimated optical transitions, Figures S6 and S7: Statistical assessment of photovoltaic performance, Figures S8 and S9: Statistical assessment of photovoltaic performance at low light intensity, Figures S10 and S11 and Table S2: Cyclic voltammetry and electrochemical impedance spectra on symmetrical PEDOT-PEDOT cells.
Author Contributions
M.F. conceptualized and supervised the study; H.M. synthesized the copper complexes and carried out the material/device characterizations. T.E. measured and analyzed the Raman spectra. A.B.M.-G. and M.P. performed the DFT calculations. H.M. wrote the manuscript with contributions from T.E., A.B.M.-G., and M.P.; I.B. and G.B. revised the manuscript.
Funding
This work was supported by the Swedish Energy Agency (42037-1 and 43294-1), by the STandUP for Energy program and the Carl Trygger Stiftelse 17:158.
Acknowledgments
We acknowledge experimental assistance on viscosity from Janne Bohlin (Polymer chemistry, Uppsala) and Leif Häggman (Physical chemistry, Uppsala). We are truly grateful for inspiring discussions at the Uppsala Teknolog-och Naturvetarkår.
Conflicts of Interest
The authors declare no conflict of interest.
References
- Hagfeldt, A.; Boschloo, G.; Sun, L.; Kloo, L.; Pettersson, H. Dye-Sensitized Solar Cells. Chem. Rev. 2010, 110, 6595–6663. [Google Scholar] [CrossRef] [PubMed]
- Gerischer, H. The impact of semiconductors on the concepts of electrochemistry. Electrochim. Acta 1990, 35, 1677–1699. [Google Scholar] [CrossRef]
- O’Regan, B.; Gratzel, M. A Low-Cost, High-Efficiency Solar-Cell Based on Dye-Sensitized Colloidal TiO2 Films. Nature 1991, 353, 737–740. [Google Scholar] [CrossRef]
- Asim, N.; Sopian, K.; Ahmadi, S.; Saeedfar, K.; Alghoul, M.A.; Saadatian, O.; Zaidi, S.H. A review on the role of materials science in solar cells. Renew. Sustain. Energy Rev. 2012, 16, 5834–5847. [Google Scholar] [CrossRef]
- Gong, J.; Liang, J.; Sumathy, K. Review on dye-sensitized solar cells (DSSCs): Fundamental concepts and novel materials. Renew. Sustain. Energy Rev. 2012, 16, 5848–5860. [Google Scholar] [CrossRef]
- Hagfeldt, A.; Grätzel, M. Molecular photovoltaics. Acc. Chem. Res. 2000, 33, 269–277. [Google Scholar] [CrossRef] [PubMed]
- Kakiage, K.; Aoyama, Y.; Yano, T.; Oya, K.; Fujisawa, J.; Hanaya, M. Highly-efficient dye-sensitized solar cells with collaborative sensitization by silyl-anchor and carboxy-anchor dyes. Chem. Commun. 2015, 51, 15894–15897. [Google Scholar] [CrossRef] [PubMed]
- Boschloo, G.; Hagfeldt, A.; Spectus, C.O.N. Characteristics of the Iodide/Triiodide Redox Mediator in Dye-Sensitized Solar Cells. Acc. Chem. Res. 2009, 42, 1819–1826. [Google Scholar] [CrossRef] [PubMed]
- Privalov, T.; Boschloo, G.; Hagfeldt, A.; Svensson, P.H.; Kloo, L. A study of the interactions between I−/I3− redox mediators and organometallic sensitizing dyes in solar cells. J. Phys. Chem. C 2009, 113, 783–790. [Google Scholar] [CrossRef]
- Nazeeruddin, M.K.; De Angelis, F.; Fantacci, S.; Selloni, A.; Viscardi, G.; Liska, P.; Ito, S.; Takeru, B.; Grätzel, M. Combined experimental and DFT-TDDFT computational study of photoelectrochemical cell ruthenium sensitizers. J. Am. Chem. Soc. 2005, 127, 16835–16847. [Google Scholar] [CrossRef] [PubMed]
- Feldt, S.M.; Wang, G.; Boschloo, G.; Hagfeldt, A. Effects of Driving Forces for Recombination and Regeneration on the Photovoltaic Performance of Dye-Sensitized Solar Cells using Cobalt Polypyridine Redox Couples. J. Phys. Chem. C 2011, 115, 21500–21507. [Google Scholar] [CrossRef]
- Feldt, S.M.; Gibson, E.A.; Gabrielsson, E.; Sun, L.; Boschloo, G.; Hagfeldt, A. Design of Organic Dyes and Cobalt Polypyridine Redox Mediators for High-Efficiency Dye-Sensitized Solar Cells. J. Am. Chem. Soc. 2010, 132, 16714–16724. [Google Scholar] [CrossRef] [PubMed]
- Sapp, S.A.; Elliott, C.M.; Contado, C.; Caramori, S.; Bignozzi, C.A. Substituted Polypyridine Complexes of Cobalt(II/III) as Efficient Electron-Transfer Mediators in Dye-Sensitized Solar Cells. J. Am. Chem. Soc. 2002, 124, 11215–11222. [Google Scholar] [CrossRef] [PubMed]
- Klahr, B.M.; Hamann, T.W. Performance enhancement and limitations of cobalt bipyridyl redox shuttles in dye-sensitized solar cells. J. Phys. Chem. C 2009, 113, 14040–14045. [Google Scholar] [CrossRef]
- Nelson, J.J.; Amick, T.J.; Elliott, C.M. Mass Transport of Polypyridyl Cobalt Complexes in Dye-Sensitized Solar Cells with Mesoporous TiO Photoanodes Mass Transport of Polypyridyl Cobalt Complexes in Dye-Sensitized Solar Cells with Mesoporous TiO2 Photoanodes. J. Phys. Chem. C 2008, 112, 18255–18263. [Google Scholar] [CrossRef]
- Cameron, P.J.; Peter, L.M.; Zakeeruddin, S.M.; Grätzel, M. Electrochemical studies of the Co(III)/Co(II)(dbbip)2redox couple as a mediator for dye-sensitized nanocrystalline solar cells. Coord. Chem. Rev. 2004, 248, 1447–1453. [Google Scholar] [CrossRef]
- Hattori, S.; Wada, Y.; Yanagida, S.; Fukuzumi, S. Blue copper model complexes with distorted tetragonal geometry acting as effective electron-transfer mediators in dye-sensitized solar cells. J. Am. Chem. Soc. 2005, 127, 9648–9654. [Google Scholar] [CrossRef] [PubMed]
- Freitag, M.; Giordano, F.; Yang, W.; Pazoki, M.; Hao, Y.; Zietz, B.; Grätzel, M.; Hagfeldt, A.; Boschloo, G. Copper Phenanthroline as a Fast and High-Performance Redox Mediator for Dye-Sensitized Solar Cells. J. Phys. Chem. C 2016, 120, 9595–9603. [Google Scholar] [CrossRef]
- Bai, Y.; Yu, Q.; Cai, N.; Wang, Y.; Zhang, M.; Wang, P. High-efficiency organic dye-sensitized mesoscopic solar cells with a copper redox shuttle. Chem. Commun. 2011, 47, 4376–4378. [Google Scholar] [CrossRef] [PubMed]
- Saygili, Y.; Söderberg, M.; Pellet, N.; Giordano, F.; Cao, Y.; Munoz-García, A.B.; Zakeeruddin, S.M.; Vlachopoulos, N.; Pavone, M.; Boschloo, G.; et al. Copper Bipyridyl Redox Mediators for Dye-Sensitized Solar Cells with High Photovoltage. J. Am. Chem. Soc. 2016, 138, 15087–15096. [Google Scholar] [CrossRef] [PubMed]
- Freitag, M.; Teuscher, J.; Saygili, Y.; Zhang, X.; Giordano, F.; Liska, P.; Hua, J.; Zakeeruddin, S.M.; Moser, J.E.; Grätzel, M.; et al. Dye-sensitized solar cells for efficient power generation under ambient lighting. Nat. Photonics 2017, 11, 372–378. [Google Scholar] [CrossRef]
- Zhang, W.; Wu, Y.; Bahng, H.W.; Cao, Y.; Yi, C.; Saygili, Y.; Luo, J.; Liu, Y.; Kavan, L.; Moser, J.E.; et al. Comprehensive control of voltage loss enables 11.7% efficient solid-state dye-sensitized solar cells. Energy Environ. Sci. 2018, 1–9. [Google Scholar] [CrossRef]
- Flasque, M.; Van Nhien, A.N.; Swiatowska, J.; Seyeux, A.; Davoisne, C.; Sauvage, F. Interface Stability of a TiO2/3-Methoxypropionitrile-Based Electrolyte: First Evidence for Solid Electrolyte Interphase Formation and Implications. ChemPhysChem 2014, 15, 1–13. [Google Scholar] [CrossRef] [PubMed]
- Jones, T.W.; Duffy, N.W.; Wilson, G.J. Efficient all-printable solid-state dye-sensitized solar cell based on a low-resistivity carbon composite counter electrode and highly doped hole transport material. J. Phys. Chem. C 2015, 119, 11410–11418. [Google Scholar] [CrossRef]
- Freitag, M.; Daniel, Q.; Pazoki, M.; Sveinbjörnsson, K.; Zhang, J.; Sun, L.; Hagfeldt, A.; Boschloo, G. High-efficiency dye-sensitized solar cells with molecular copper phenanthroline as solid hole conductor. Energy Environ. Sci. 2015, 8, 2634–2637. [Google Scholar] [CrossRef]
- Mosconi, E.; Yum, J.-H.; Kessler, F.; Gómez García, C.J.; Zuccaccia, C.; Cinti, A.; Nazeeruddin, M.K.; Grätzel, M.; De Angelis, F. Cobalt Electrolyte/Dye Interactions in Dye-Sensitized Solar Cells: A Combined Computational and Experimental Study. J. Am. Chem. Soc. 2012, 134, 19438–19453. [Google Scholar] [CrossRef] [PubMed]
- Yum, J.-H.; Baranoff, E.; Kessler, F.; Moehl, T.; Ahmad, S.; Bessho, T.; Marchioro, A.; Ghadiri, E.; Moser, J.-E.; Yi, C.; et al. A cobalt complex redox shuttle for dye-sensitized solar cells with high open-circuit potentials. Nat. Commun. 2012, 3, 631. [Google Scholar] [CrossRef] [PubMed]
- Feldt, S.M.; Lohse, P.W.; Kessler, F.; Nazeeruddin, M.K.; Grätzel, M.; Boschloo, G.; Hagfeldt, A. Regeneration and recombination kinetics in cobalt polypyridine based dye-sensitized solar cells, explained using Marcus theory. Phys. Chem. Chem. Phys. 2013, 15, 7087. [Google Scholar] [CrossRef] [PubMed]
- Kivelson, D.; Neiman, R. ESR Studies on the Bonding in Copper Complexes. J. Chem. Phys. 1961, 35, 149–155. [Google Scholar] [CrossRef]
- Billig, E.; Williams, R.; Bernal, I.; Waters, J.H.; Gray, H.B. The Electronic Structures of Square-Planar Metal Complexes. II. The Complexes of Maleonitriledithiolate with Copper(II), Nickel(II), Palladium(II), and Platinum(II). Inorg. Chem. 1964, 3, 663–666. [Google Scholar] [CrossRef]
- Freitag, M.; Yang, W.; Fredin, L.A.; D’Amario, L.; Karlsson, K.M.; Hagfeldt, A.; Boschloo, G. Supramolecular Hemicage Cobalt Mediators for Dye-Sensitized Solar Cells. ChemPhysChem 2016, 17, 3845–3852. [Google Scholar] [CrossRef] [PubMed]
- Jain, S.M.; Qiu, Z.; Häggman, L.; Mirmohades, M.; Johansson, M.B.; Edvinsson, T.; Boschloo, G. Frustrated Lewis pair-mediated recrystallization of CH3NH3PbI3 for improved optoelectronic quality and high voltage planar perovskite solar cells. Energy Environ. Sci. 2016, 9, 3770–3782. [Google Scholar] [CrossRef]
- Frisch, M.; Trucks, G.W.; Schlegel, H.B.; Scuseria, G.E.; Robb, M.A.; Cheeseman, J.R.; Scalmani, G.; Barone, V.; Petersson, G.A.; Nakatsuji, H.; et al. Gaussian 16; Revision A. 03; Gaussian, Inc.: Wallingford, CT, USA, 2016. [Google Scholar]
- Becke, A.D.; Johnson, E.R. A simple effective potential for exchange. J. Chem. Phys. 2006, 124. [Google Scholar] [CrossRef] [PubMed]
- Becke, A.D. Density-functional thermochemistry. III. The role of exact exchange. J. Chem. Phys. 1993, 98, 5648–5652. [Google Scholar] [CrossRef]
- Lee, C.; Yang, W.; Parr, R.G. Development of the Colle-Salvetti correlation-energy formula into a functional of the electron density. Phys. Rev. B 1988, 37, 785–789. [Google Scholar] [CrossRef]
- Tomasi, J.; Mennucci, B.; Cammi, R. Quantum mechanical continuum solvation models. Chem. Rev. 2005, 105, 2999–3093. [Google Scholar] [CrossRef] [PubMed]
- Scalmani, G.; Frisch, M.J.; Mennucci, B.; Tomasi, J.; Cammi, R.; Barone, V. Geometries and properties of excited states in the gas phase and in solution: Theory and application of a time-dependent density functional theory polarizable continuum model. J. Chem. Phys. 2006, 124. [Google Scholar] [CrossRef] [PubMed]
- Yang, W.; Hao, Y.; Vlachopoulos, N.; Eriksson, A.I.K.; Boschloo, G. Studies on the Interfacial Electric Field and Stark Effect at the TiO2/Dye/Electrolyte Interface. J. Phys. Chem. C 2016, 120, 22215–22224. [Google Scholar] [CrossRef]
- Cappel, U.B.; Feldt, S.M.; Schöneboom, J.; Hagfeldt, A.; Boschloo, G. The Influence of Local Electric Fields on Photoinduced Absorption in Dye-Sensitized Solar Cells. J. Am. Chem. Soc. 2010, 132, 9096–9101. [Google Scholar] [CrossRef] [PubMed]
- Ferdowsi, P.; Saygili, Y.; Zakeeruddin, S.M.; Mokhtari, J.; Grätzel, M.; Hagfeldt, A.; Kavan, L. Alternative bases to 4-tert-butylpyridine for dye-sensitized solar cells employing copper redox mediator. Electrochim. Acta 2018, 265, 194–201. [Google Scholar] [CrossRef]
- Kavan, L.; Krysova, H.; Janda, P.; Tarabkova, H.; Saygili, Y.; Freitag, M.; Zakeeruddin, S.M.; Hagfeldt, A.; Grätzel, M. Novel highly active Pt/graphene catalyst for cathodes of Cu(II/I)-mediated dye-sensitized solar cells. Electrochim. Acta 2017, 251, 167–175. [Google Scholar] [CrossRef]
- Cao, Y.; Saygili, Y.; Ummadisingu, A.; Teuscher, J.; Luo, J.; Pellet, N.; Giordano, F.; Zakeeruddin, S.M.; Moser, J.-E.; Freitag, M.; et al. 11% efficiency solid-state dye-sensitized solar cells with copper(II/I) hole transport materials. Nat. Commun. 2017, 8, 15390. [Google Scholar] [CrossRef] [PubMed]
- Yu, Z.; Gorlov, M.; Nissfolk, J.; Boschloo, G.; Kloo, L. Investigation of Iodine Concentration Effects in Electrolytes for Dye-Sensitized Solar Cells. J. Phys. Chem. C 2010, 114, 10612–10620. [Google Scholar] [CrossRef]
- Peng, B.; Jungmann, G.; Jäger, C.; Haarer, D.; Schmidt, H.-W.; Thelakkat, M. Systematic investigation of the role of compact TiO2 layer in solid state dye-sensitized TiO2 solar cells. Coord. Chem. Rev. 2004, 248, 1479–1489. [Google Scholar] [CrossRef]
- Ellis, H.; Vlachopoulos, N.; Häggman, L.; Perruchot, C.; Jouini, M.; Boschloo, G.; Hagfeldt, A. PEDOT counter electrodes for dye-sensitized solar cells prepared by aqueous micellar electrodeposition. Electrochim. Acta 2013, 107, 45–51. [Google Scholar] [CrossRef]
- Solar Spectral Irradiance: Air Mass. Available online: http://rredc.nrel.gov/solar/spectra/am1.5/ (accessed on 28 March 2018).
© 2018 by the authors. Licensee MDPI, Basel, Switzerland. This article is an open access article distributed under the terms and conditions of the Creative Commons Attribution (CC BY) license (http://creativecommons.org/licenses/by/4.0/).







