Synthesis, Characterization and Anticancer Activities of Zn2+, Ni2+, Co2+, and Cu2+ Complexes of 4-Benzopyranone-2-carboxylic Acid
Abstract
1. Introduction
2. Results and Discussion
2.1. Synthetic Analysis of Complexes I–IV
2.2. Crystal Structure Analysis
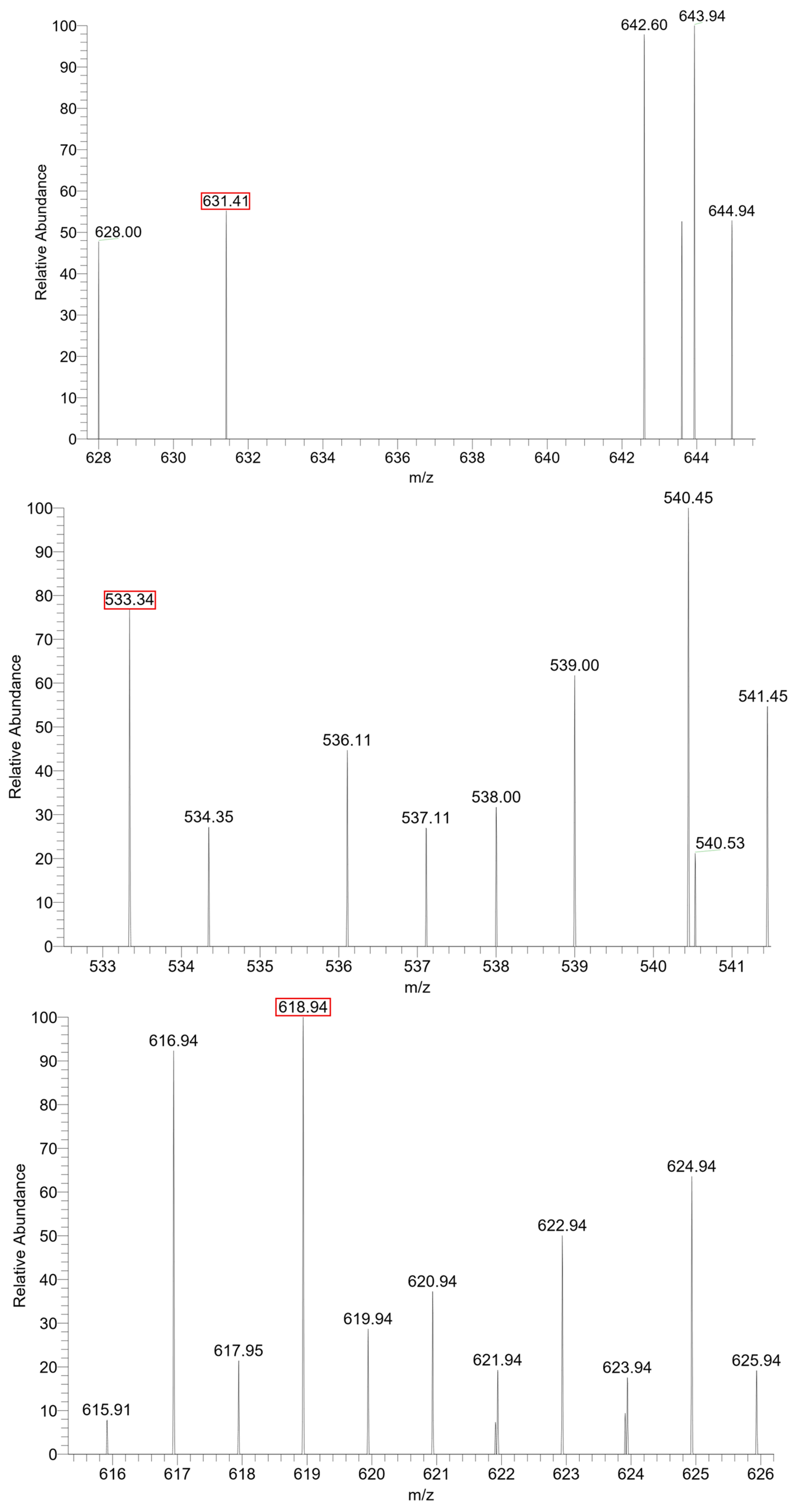
2.3. Electrospray Ionization Mass Spectrometry
2.4. Fourier Transform Infrared Spectrum Analysis
2.5. UV-Visible Diffuse Reflectance Spectrum Analysis
2.6. NMR Spectrum Analysis
2.7. Electron Paramagnetic Resonance Spectrum Analysis
2.8. Cytotoxicity Analysis
2.9. Molecular Docking Study of Complexes I–IV and the G-Quadruplex
3. Experimental Section
3.1. Materials and Methods
3.2. Cytotoxicity Assay
3.3. Synthesis of Complexes I–IV
3.3.1. Synthesis of the Ni(II)-4-Benzopyranone-2-carboxylic Acid Complex (I)
3.3.2. Synthesis of the Cobalt-4-benzopyranone-2-carboxylic Acid Complex (II)
3.3.3. Synthesis of the Zinc-4-benzopyranone-2-carboxylic Acid Complex (III)
3.3.4. Synthesis of the Copper-4-benzopyranone-2-carboxylic Acid Complex (IV)
3.4. X-Ray Structure
3.5. Molecular Docking of Complexes I–IV
4. Conclusions
Supplementary Materials
Author Contributions
Funding
Institutional Review Board Statement
Informed Consent Statement
Data Availability Statement
Acknowledgments
Conflicts of Interest
References
- Siegel, R.L.; Kratzer, T.B.; Giaquinto, A.N.; Sung, H.; Jemal, A. Cancer Statistics, 2025. CA Cancer J. Clin. 2025, 75, 10–45. [Google Scholar] [CrossRef] [PubMed]
- Smith, R. Is Cancer Treatment Inevitably Unsustainable? BMJ 2025, 389, r882. [Google Scholar] [CrossRef] [PubMed]
- Abdolmaleki, S.; Aliabadi, A.; Khaksar, S. Bridging the gap between theory and treatment: Transition metal complexes as successful candidates in medicine. Coord. Chem. Rev. 2025, 531, 216477. [Google Scholar] [CrossRef]
- Bera, A.; Sarkar, T.; Upadhyay, A.; Hussain, A. First-Row Transition Metal Complexes of Naturally Occurring Anticancer Chelators for Cancer Treatment. Coord. Chem. Rev. 2025, 541, 216847. [Google Scholar] [CrossRef]
- Bashir, M.; Mantoo, I.A.; Arjmand, F.; Tabassum, S.; Yousuf, I. An Overview of Advancement of Organoruthenium(II) Complexes as Prospective Anticancer Agents. Coord. Chem. Rev. 2023, 487, 215169. [Google Scholar] [CrossRef]
- Zhang, Y.-F.; Yin, Y.-K.; Zhang, H.; Han, Y.-F. Metal N-Heterocyclic Carbene Complexes as Potential Metallodrugs in Antitumor Therapy. Coord. Chem. Rev. 2024, 514, 215941. [Google Scholar] [CrossRef]
- Paprocka, R.; Wiese-Szadkowska, M.; Janciauskiene, S.; Kosmalski, T.; Kulik, M.; Helmin-Basa, A. Latest Developments in Metal Complexes as Anticancer Agents. Coord. Chem. Rev. 2022, 452, 214307. [Google Scholar] [CrossRef]
- Zhang, J.-J.; Xu, Q.-J.; Zhang, Y.; Zhou, Q.; Lv, R.; Chen, Z.; He, W. Recent Advances in Nanocarriers for Clinical Platinum(II) Anticancer Drugs. Coord. Chem. Rev. 2024, 505, 215676. [Google Scholar] [CrossRef]
- Zhou, Z.; Shi, P.; Wang, C.; Sun, Y.; Gao, C. Recent Updates in Nanoscale Delivery Systems of Platinum(IV) Antitumor Prodrugs. Coord. Chem. Rev. 2024, 508, 215774. [Google Scholar] [CrossRef]
- Li, J.; Chen, T. Transition Metal Complexes as Photosensitizers for Integrated Cancer Theranostic Applications. Coord. Chem. Rev. 2020, 418, 213355. [Google Scholar] [CrossRef]
- Gamberi, T.; Hanif, M. Metal-Based Complexes in Cancer Treatment. Biomedicines 2022, 10, 2573. [Google Scholar] [CrossRef]
- Abdolmaleki, S.; Aliabadi, A.; Khaksar, S. Riding the Metal Wave: A Review of the Latest Developments in Metal-Based Anticancer Agents. Coord. Chem. Rev. 2024, 501, 215579. [Google Scholar] [CrossRef]
- Ye, Z.; Bao, Y.; Chen, Z.; Ye, H.; Feng, Z.; Li, Y.; Zeng, Y.; Pan, Z.; Ouyang, D.; Zhang, K.; et al. Recent Advances in the Metal/Organic Hybrid Nanomaterials for Cancer Theranostics. Coord. Chem. Rev. 2024, 504, 215654. [Google Scholar] [CrossRef]
- Zhang, L.; Yin, H.; Zhang, J.-C.; Luo, M.; Meng, X.-G. Synthesis, Crystal Structure and Anticancer Activity of 4-chloro-2-Methoxybenzoic Acid Transition Metal Complexes. J. Mol. Struct. 2024, 1316, 139080. [Google Scholar] [CrossRef]
- Hatin Betseba, A.H.; Christabel Shaji, Y.; Brucely, Y.; Sakthipandi, K. Synthesis and Characterization of Nickel-Based MOFs: Enhancing Photocatalysis and Targeted Cancer Drug Delivery. J. Indian Chem. Soc. 2024, 101, 101335. [Google Scholar] [CrossRef]
- Khursheed, A.; Khursheed, N.; Rashid, N.; Khanday, W.A.; Hussain, A.; Alajmi, M.F.; Amir, S.; Malik, A.H.; Rather, J.A.; Wani, A.H.; et al. A Glimpse into the Developments, Potential Leads and Future Perspectives of Anticancer Cobalt Complexes. RSC Med. Chem. 2025, 16, 4003–4043. [Google Scholar] [CrossRef]
- Gowdhami, B.; Ambika, S.; Karthiyayini, B.; Ramya, V.; Kadalmani, B.; Vimala, R.T.V.; Akbarsha, M.A. Potential Application of Two Cobalt(III) Schiff Base Complexes in Cancer Chemotherapy: Leads from a Study Using Breast and Lung Cancer Cells. Toxicol. In Vitro 2021, 75, 105201. [Google Scholar] [CrossRef]
- Porchia, M.; Pellei, M.; Del Bello, F.; Santini, C. Zinc Complexes with Nitrogen Donor Ligands as Anticancer Agents. Molecules 2020, 25, 5814. [Google Scholar] [CrossRef]
- Gałczyńska, K.; Drulis-Kawa, Z.; Arabski, M. Antitumor Activity of Pt(II), Ru(III) and Cu(II) Complexes. Molecules 2020, 25, 3492. [Google Scholar] [CrossRef]
- Li, X.; Ma, Z.; Wang, H.; Shi, Q.; Xie, Z.; Yu, J. Research Progress of Copper-Based Metal–Organic Frameworks for Cancer Diagnosis and Therapy. Coord. Chem. Rev. 2024, 514, 215943. [Google Scholar] [CrossRef]
- Tan, L.-T.; Shen, T.-X.; Jiang, J.-Y.; Zhong, Y.-J.; Lin, F.-Q.; Xue, H.; Yao, Y.-X.; Jiang, X.; Shen, L.; He, X. Bifunctional Tetrazole–Carboxylate Ligand Based Zn(II) Complexes: Synthesis and Their Excellent Potential Anticancer Properties. RSC Adv. 2022, 12, 33808–33815. [Google Scholar] [CrossRef]
- Pellei, M.; Bagnarelli, L.; Luciani, L.; Del Bello, F.; Giorgioni, G.; Piergentili, A.; Quaglia, W.; De Franco, M.; Gandin, V.; Marzano, C.; et al. Synthesis and Cytotoxic Activity Evaluation of New Cu(I) Complexes of Bis(Pyrazol-1-Yl) Acetate Ligands Functionalized with an NMDA Receptor Antagonist. Int. J. Mol. Sci. 2020, 21, 2616. [Google Scholar] [CrossRef] [PubMed]
- Haiba, N.S.; Khalil, H.H.; Bergas, A.; Abu-Serie, M.M.; Khattab, S.N.; Teleb, M. First-in-Class Star-Shaped Triazine Dendrimers Endowed with MMP-9 Inhibition and VEGF Suppression Capacity: Design, Synthesis, and Anticancer Evaluation. ACS Omega 2022, 7, 21131–21144. [Google Scholar] [CrossRef] [PubMed]
- Yücel, N.T.; Asfour, A.A.R.; Evren, A.E.; Yazıcı, C.; Kandemir, Ü.; Özkay, Ü.D.; Can, Ö.D.; Yurttaş, L. Design and Synthesis of Novel Dithiazole Carboxylic Acid Derivatives: In Vivo and in Silico Investigation of Their Anti-Inflammatory and Analgesic Effects. Bioorg. Chem. 2024, 144, 107120. [Google Scholar] [CrossRef] [PubMed]
- Akbar, H.S.; Muhammad, N.; Jan, M.S.; Zafar, R.; Ali, S.; Sadia, H.; Alomar, T.S.; AlMasoud, N.; Rauf, A.; Sharma, R. Design, Synthesis, Molecular Docking, and Anti-Inflammatory Potential of Amide Coupling Carboxylate Derivatives. ChemistrySelect 2024, 9, e202303100. [Google Scholar] [CrossRef]
- Senhaji, S.; Lamchouri, F.; Akabli, T.; Toufik, H. In Vitro Antioxidant Activities of Five β-Carboline Alkaloids, Molecular Docking, and Dynamic Simulations. Struct. Chem. 2022, 33, 883–895. [Google Scholar] [CrossRef]
- Liu, Z.; Sadler, P.J. Organoiridium Complexes: Anticancer Agents and Catalysts. Acc. Chem. Res. 2014, 47, 1174–1185. [Google Scholar] [CrossRef]
- Yan, B.; You, X.; Tang, X.; Sun, J.; Xu, Q.; Wang, L.; Guan, Z.-J.; Li, F.; Shen, H. Carboxylate-Protected “Isostructural” Cu20 Nanoclusters as a Model System: Carboxylate Effect on Controlling Catalysis. Chem. Mater. 2024, 36, 1004–1012. [Google Scholar] [CrossRef]
- Tan, Y.; Zhang, Z.; Liu, J.; Tan, Y.; Jiang, W. Syntheses, Crystal Structures, and Anticancer Activities of Organotin Carboxylates Based on Alrestatin. J. Mol. Struct. 2025, 1322, 140697. [Google Scholar] [CrossRef]
- Tian, W.; Ji, M.; Yang, T.; Zhong, W.; Li, Y.; Yang, M.; Yang, P.; Long, X. Design, Synthesis, Crystal Structure and Anticancer Activity of Organotin(IV)-Rhein Carboxylates. J. Mol. Struct. 2024, 1318, 139341. [Google Scholar] [CrossRef]
- Viola; Khan, I.N.; Muhammad, N.; Shaik, M.R.; Ahmad, A.; Tumanov, N.; Wouters, J.; Ilyas, M.; Ibrahim, M. Centrosymmetric Homo- and Heteroleptic Core Paddle-Wheel Copper(II) Carboxylates; Syntheses, Crystal Structures, Antioxidant, Anticancer and Enzyme Inhibition Activity. J. Mol. Struct. 2024, 1313, 138742. [Google Scholar] [CrossRef]
- Wang, K.; Wang, L.; Li, H.; Yang, X.; Shang, Z.; Han, Q.; Wang, X.; Meng, Q.; Zhu, M. Synthesis, Crystal Structure, Biological Evaluation and DNA Binding of Three Cu(II) Complexes as Potential Anticancer Agents. J. Mol. Struct. 2025, 1327, 141184. [Google Scholar] [CrossRef]
- Ma, H.-Y.; Wang, W.-Q.; Yang, N.; Li, X.-X.; Li, Y.-W.; Shao, X. Structure Modulation in Four New Coordination Polymers by in Situ Ligands Synthesis of Anthracene Derivatives and Various Auxiliary N-Donor Ligands. J. Clust. Sci. 2016, 27, 1293–1306. [Google Scholar] [CrossRef]
- Swarbrook, A.M.; Weekes, R.J.; Goodwin, J.W.; Hawes, C.S. Ligand Isomerism Fine-Tunes Structure and Stability in Zinc Complexes of Fused Pyrazolopyridines. Dalton Trans. 2022, 51, 1056–1069. [Google Scholar] [CrossRef] [PubMed]
- Addison, A.W.; Rao, T.N.; Reedijk, J.; van Rijn, J.; Verschoor, G.C. Synthesis, Structure, and Spectroscopic Properties of Copper(II) Compounds Containing Nitrogen–Sulphur Donor Ligands; the Crystal and Molecular Structure of Aqua[1,7-Bis(N-Methylbenzimidazol-2′-Yl)-2,6-Dithiaheptane]Copper(II) Perchlorate. J. Chem. Soc. Dalton Trans. 1984, 7, 1349–1356. [Google Scholar] [CrossRef]
- Ikpo, N.; Barbon, S.M.; Drover, M.W.; Dawe, L.N.; Kerton, F.M. Aluminum Methyl and Chloro Complexes Bearing Monoanionic Aminephenolate Ligands: Synthesis, Characterization, and Use in Polymerizations. Organometallics 2012, 31, 8145–8158. [Google Scholar] [CrossRef]
- Xu, D.; Zhang, C.; Liu, J.; Xu, Y. A Small Jahn-Teller Distortion Around a Cu(II) Atom Crystal Structure of Bis(N,N′-Dimethyl-Formamide)Bis(1,1,1,5,5,5-Hexafluoro-2,4-Pentanedionato)Copper(II). J. Coord. Chem. 2000, 50, 73–78. [Google Scholar] [CrossRef]
- Macedi, E.; Rossi, P.; Formica, M.; Giorgi, L.; Lippi, M.; Montis, R.; Paderni, D.; Paoli, P.; Fusi, V. Crystal Structure, Hirshfeld Surface Analysis and Energy Framework Calculations of Different Metal Complexes of a Biphenol-Based Ligand: Role of Solvent and Transition Metal Ion. J. Mol. Struct. 2024, 1299, 137146. [Google Scholar] [CrossRef]
- Khatua, M.; Goswami, B.; Samanta, S. Dehydrogenation of Amines in Aryl-Amine Functionalized Pincer-like Nitrogen-Donor Redox Non-Innocent Ligands via Ligand Reduction on a Ni(II) Template. Dalton Trans. 2020, 49, 6816–6831. [Google Scholar] [CrossRef]
- Manuel, T.D.; Rohde, J.-U. Reaction of a Redox-Active Ligand Complex of Nickel with Dioxygen Probes Ligand-Radical Character. J. Am. Chem. Soc. 2009, 131, 15582–15583. [Google Scholar] [CrossRef]
- Liske, A.; Wallbaum, L.; Hölzel, T.; Föller, J.; Gernert, M.; Hupp, B.; Ganter, C.; Marian, C.M.; Steffen, A. Cu–F Interactions between Cationic Linear N-Heterocyclic Carbene Copper(I) Pyridine Complexes and Their Counterions Greatly Enhance Blue Luminescence Efficiency. Inorg. Chem. 2019, 58, 5433–5445. [Google Scholar] [CrossRef]
- Kekeç, S.; Kürkçüoğlu, G.S.; Yeşilel, O.Z.; Şahin, O. 1D Heteronuclear Coordination Polymers of Hexacyanocobaltate(III) with 2-Hydroxymethylpyridine. Polyhedron 2024, 260, 117096. [Google Scholar] [CrossRef]
- Dehghani-Firouzabadi, A.A.; Sepehri, S.; Notash, B. Synthesis and Characterization of Metal Complexes of a New Unsymmetrical Tridentate NNS Schiff Base Ligand: X-Ray Crystal Structure Determination of Nickel(II) Complex. J. Chin. Chem. Soc. 2017, 64, 1104–1110. [Google Scholar] [CrossRef]
- Umar, Q.; Huang, Y.H.; Nazeer, A.; Yin, H.; Zhang, J.C.; Luo, M.; Meng, X.G. Synthesis, Characterization and Anticancer Activities of Zn2+, Cu2+, Co2+ and Ni2+ Complexes Involving Chiral Amino Alcohols. RSC Adv. 2022, 12, 32119–32128. [Google Scholar] [CrossRef] [PubMed]
- Darkebira, F.; Fellah, F.Z.C.; Belkhiri, L.; Roisnel, T.; El Hassasna, S.; Guizouarn, T.; Boucekkine, A.; Pointillart, F. Synthesis, Characterization, Magnetic Properties, and DFT Investigations of Heterobimetallic Nickel–Lanthanide LNiIILnIII (Ln = Ce, Gd, Tb, Dy) Complexes Supported by Schiff Base Ligands. Eur. J. Inorg. Chem. 2025, 28, 2500229. [Google Scholar] [CrossRef]
- Deacon, G.B.; Phillips, R.J. Relationships between the Carbon-Oxygen Stretching Frequencies of Carboxylato Complexes and the Type of Carboxylate Coordination. Coord. Chem. Rev. 1980, 33, 227–250. [Google Scholar] [CrossRef]
- Pradeep, R.; Naresh, K.; Hussain, T.M.A.; Vikram, L.; Sivasankar, B.N. Crystal and Molecular Structure of Novel Binuclear Ten Coordinated Praseodymium(III) with Octadentateethylenediaminetetraacetate–Synthesis, Characterization and Antioxidant, Antiviral and Anticancer activities. J. Saudi Chem. Soc. 2017, 21, 358–365. [Google Scholar] [CrossRef]
- Wei, R.; Liu, Z.; Wei, W.; Liang, C.; Han, G.-C.; Zhan, L. Synthesis, Crystal Structure and Characterization of Two Cobalt(II) Complexes Based on Pyridine Carboxylic Acid Ligands. Z. Für Anorg. Allg. Chem. 2022, 648, e202000418. [Google Scholar] [CrossRef]
- Bordbar, M.; Tabatabaee, M.; Alizadeh-Nouqi, M.; Mehri-Lighvan, Z.; Khavasi, H.R.; YeganehFaal, A.; Fallahian, F.; Dolati, M. Synthesis, Characterization, Cytotoxic Activity and DNA-Binding Studies of Cobalt(II) Mixed-Ligand Complex Containing Pyridine-2,6-Dicarboxylate Ion and 2-Aminopyrimidine. J. Iran. Chem. Soc. 2016, 13, 1125–1132. [Google Scholar] [CrossRef]
- Kadu, R.; Wani, N.A.; Savani, C.; Aravinda, S.; Rai, R.; Singh, V.K. Synthesis, Crystallographic Characterization and Hirshfeld Surface Analysis of Metal Complexes of Conformationally Constrained β-Amino Acid, 2-(1-Aminocyclohexyl)Acetic Acid with CoII, NiII, CuII and ZnII Ions. J. Mol. Struct. 2021, 1230, 129858. [Google Scholar] [CrossRef]
- Tella, A.C.; Shamle, N.J.; Obaleye, J.A.; Whitwood, A.C.; Bourne, S.A.; Ajibade, P.A. Synthesis, Characterization, Crystal Structures and Electrochemical Properties of Heteroleptic Cu(II), Mn(II) and Zn(II) Complexes of Metronidazole with Benzoic Acid Derivatives. J. Mol. Struct. 2020, 1209, 127925. [Google Scholar] [CrossRef]
- Kremer, M.; Englert, U. Zn and Ni Complexes of Pyridine-2,6-Dicarboxylates: Crystal Field Stabilization Matters! Acta Crystallogr. Sect. E Crystallogr. Commun. 2019, 75, 903–911. [Google Scholar] [CrossRef] [PubMed]
- Rekha Boruah, S.; Bhattacharjee, M.; Dutta Purkayastha, R.N.; Modak, S.; Aktar, T.; Maiti, D.; Sieroń, L.; Maniukiewicz, W.; Gomila, R.M.; Frontera, A. Insights into Synthesis, Crystal Structure, Bioactivity and Computational Studies of Cu(II) and Zn(II) Carboxylates Containing Aminopyridine. ChemistrySelect 2023, 8, e202204937. [Google Scholar] [CrossRef]
- Yu, M.; Xuan, F.; Li, J.; Liu, G.-X. Four Zinc(II) Coordination Polymers with Dicarboxylate and Tri(4-Pyridylphenyl)Amine Ligand: Syntheses, Crystal Structures and Physical Properties. J. Mol. Struct. 2020, 1199, 127005. [Google Scholar] [CrossRef]
- Zrilić, S.S.; Živković, J.M.; Zarić, S.D. Hydrogen Bonds of a Water Molecule in the Second Coordination Sphere of Amino Acid Metal Complexes: Influence of Amino Acid Coordination. J. Inorg. Biochem. 2023, 242, 112151. [Google Scholar] [CrossRef]
- Živković, J.M.; Milovanović, M.R.; Zarić, S.D. Hydrogen Bonds of Coordinated Ethylenediamine and a Water Molecule: Joint Crystallographic and Computational Study of Second Coordination Sphere. Cryst. Growth Des. 2022, 22, 5198–5205. [Google Scholar] [CrossRef]
- Melvin, M.K.; Skelton, B.W.; Eggers, P.K.; Raston, C.L. Synthesis, Crystallization and Hirshfeld Surface Analysis of Transition Metal Carboxylate Pentapyridines. CrystEngComm 2021, 24, 57–69. [Google Scholar] [CrossRef]
- Iqbal, M.; Ullah, N.; Haleem, M.A.; Ali, S.; Tahir, M.N.; Mahboob-ur-Rehman. Synthesis, Crystal Structure Elucidation, DNA-Binding and Micellization Behavior of Copper(II) Carboxylate Complexes. Results Chem. 2023, 5, 100700. [Google Scholar] [CrossRef]
- Masárová, P.; Kuchtanin, V.; Mazúr, M.; Moncol, J. Crystal Structures and Spectroscopic Properties of Copper(II)–Dipicolinate Complexes with Benzimidazole Ligands. Transit. Met. Chem. 2018, 43, 507–516. [Google Scholar] [CrossRef]
- Wang, X.-L.; Song, G.; Lin, H.-Y.; Wang, X.; Liu, G.-C.; Rong, X. Solvent-Controlled Synthesis of Various Anderson-Type Polyoxometalate-Based Metal–Organic Complexes with Excellent Capacity for the Chromatographic Separation of Dyes. CrystEngComm 2017, 20, 51–62. [Google Scholar] [CrossRef]
- Hariprasad, V.M.; Nechipadappu, S.K.; Trivedi, D.R. Cocrystals of Ethenzamide: Study of Structural and Physicochemical Properties. Cryst. Growth Des. 2016, 16, 4473–4481. [Google Scholar] [CrossRef]
- Nazeer, A.; Umar, Q.; Yang, Y.; Luo, M. Zn(II), Cu(II), Co(II), and Ni(II) Complexes Bearing Aza-Heterocyclic Ligands: Synthesis, Characterization, and Anticancer Activities. J. Iran. Chem. Soc. 2024, 21, 1599–1609. [Google Scholar] [CrossRef]
- Alorini, T.; Daoud, I.; Al-Hakimi, A.N.; Alminderej, F. Synthesis, Characterization, Anticancer Activity, and Molecular Docking Study of Some Metal Complexes with a New Schiff Base Ligand. J. Mol. Struct. 2023, 1276, 134785. [Google Scholar] [CrossRef]
- İlkimen, H.; Salün, S.G.; Gülbandılar, A.; Sarı, M. The New Salt of 2-Amino-3-Methylpyridine with Dipicolinic Acid and Its Metal Complexes: Synthesis, Characterization and Antimicrobial Activity Studies. J. Mol. Struct. 2022, 1270, 133961. [Google Scholar] [CrossRef]
- Deptuch, A.; Górska, N.; Srebro-Hooper, M.; Hooper, J.; Dziurka, M.; Urbańska, M. Investigation of Infra-Red Spectra of Three Chiral Liquid Crystalline Compounds with Different Fluorosubstitution of Benzene Ring. J. Mol. Struct. 2024, 1315, 138907. [Google Scholar] [CrossRef]
- Gacki, M.; Kafarska, K.; Pietrzak, A.; Korona-Glowniak, I.; Wolf, W.M. Synthesis, Characterisation, Crystal Structure and Biological Activity of Metal(II) Complexes with Theophylline. J. Saudi Chem. Soc. 2019, 23, 346–354. [Google Scholar] [CrossRef]
- Shaikh, I.; Jadeja, R.N.; Patel, R.; Mevada, V.; Gupta, V.K. 4-Acylhydrazone-5-Pyrazolones and Their Zinc(II) Metal Complexes: Synthesis, Characterization, Crystal Feature and Antimalarial Activity. J. Mol. Struct. 2021, 1232, 130051. [Google Scholar] [CrossRef]
- Lim, I.-T.; Park, J.-H.; Choi, K.-Y.; Kim, C.-H.; Choi, Y.-M. Preparation, Characterization and Crystal Structures of Metal(II) Tetraza Macrocyclic Complexes with Organic Co-Ligands. Transit. Met. Chem. 2018, 43, 323–330. [Google Scholar] [CrossRef]
- Giri, G.C.; Haldar, S.; Ghosh, A.K.; Chowdhury, P.; Carrella, L.; Ghosh, U.; Bera, M. New Cyclic Tetranuclear Copper(II) Complexes Containing Quadrilateral Cores: Synthesis, Structure, Spectroscopy and Their Interactions with DNA in Aqueous Solution. J. Mol. Struct. 2017, 1142, 175–184. [Google Scholar] [CrossRef]
- Nikolić, M.A.; Dražić, B.; Cristóvão, B.; Bartyzel, A.; Miroslaw, B.; Tanasković, S. New Azamacrocyclic Binuclear Cu(II) Aminocarboxylate Complexes: Structural, Magnetic, Spectral and Antiproliferative Studies. J. Mol. Struct. 2022, 1252, 131969. [Google Scholar] [CrossRef]
- Ourari, A.; Bougossa, I.; Bouacida, S.; Aggoun, D.; Ruiz-Rosas, R.; Morallon, E.; Merazig, H. Synthesis, Characterization and X-Ray Crystal Structure of Novel Nickel Schiff Base Complexes and Investigation of Their Catalytic Activity in the Electrocatalytic Reduction of Alkyl and Aryl Halides. J. Iran. Chem. Soc. 2017, 14, 703–715. [Google Scholar] [CrossRef]
- Ismail, A.H.; Al-Zaidi, B.H.; Abd, A.N.; Habubi, N.F. Synthesis and Characterization of Novel Thin Films Derived from Pyrazole-3-One and Its Metal Complex with Bivalent Nickel Ion to Improve Solar Cell Efficiency. Chem. Pap. 2020, 74, 2069–2078. [Google Scholar] [CrossRef]
- Bendre, R.S.; Tadavi, S.K.; Patil, M.M. Synthesis, Crystal Structures and Biological Activities of Transition Metal Complexes of a Salen-Type Ligand. Transit. Met. Chem. 2018, 43, 83–89. [Google Scholar] [CrossRef]
- Duan, Y.; Huang, X.-J.; Fu, L.-F.; Chai, L.-Q. Crystallographic, Spectroscopic, Antimicrobial Activity, Molecular Docking, ESP/HSA, TD/DFT Calculations of Cobalt(II) and Copper(II) Complexes Containing Thiazole Ring. J. Mol. Struct. 2025, 1328, 141354. [Google Scholar] [CrossRef]
- Bharti, S.; Choudhary, M.; Mohan, B.; Rawat, S.P.; Sharma, S.R.; Ahmad, K. Syntheses, Spectroscopic Characterization, SOD-like Properties and Antibacterial Activities of Dimer Copper(II) and Nickel(II) Complexes Based on Imine Ligands Containing 2-Aminothiophenol Moiety: X-Ray Crystal Structure Determination of Disulfide Schiff Bases. J. Mol. Struct. 2018, 1164, 137–154. [Google Scholar] [CrossRef]
- Han, M.-H.; Gan, L.-L.; Liu, G.-H.; Hu, X.-Y.; Yue, Y.-N.; Dong, W.-K. A Comprehensive Study on Two Novel Cyclic Tetranuclear Co(II) and Ni(II) Bis(Salamo)-Based Oligo(N,O-Donor) Complexes. J. Mol. Struct. 2024, 1318, 139287. [Google Scholar] [CrossRef]
- Boutobba, Z.; Direm, A.; Sayin, K.; El Bali, B.; Lachkar, M.; Benali-Cherif, N. Crystal Structure, Hirshfeld Surface Analysis and Theoretical Calculations of an Oxalato-Bridged Copper(II) Complex: μ-Oxalato-Bis[(2,2′-Bipyridine) Hydrate Copper(II) Nitrate]. J. Iran. Chem. Soc. 2020, 17, 671–685. [Google Scholar] [CrossRef]
- Phillips, K.A.; Stonelake, T.M.; Horton, P.N.; Coles, S.J.; Hallett, A.J.; O’Kell, S.P.; Beames, J.M.; Pope, S.J.A. Dual Visible/NIR Emission from Organometallic Iridium(III) Complexes. J. Organomet. Chem. 2019, 893, 11–20. [Google Scholar] [CrossRef]
- Kuzmitsky, V.A.; Volkovich, D.I.; Gladkov, L.L.; Solovyov, K.N. Quantum-Chemical Calculations of the Geometric Structures and Electronic Spectra of Phthalocyanines MgPc and H2Pc and Their β-Octaphenyl Derivatives. J. Appl. Spectrosc. 2018, 85, 829–839. [Google Scholar] [CrossRef]
- Fréreux, J.N.; Godard, M.; Dartois, E.; Pino, T. Ultraviolet Electronic Spectroscopy of Heavily Substituted Naphthalene Derivatives—Insights on the Potential Double Aromatic Ring Substructures of Interstellar Bump Carriers. Astron. Astrophys. 2023, 677, A149. [Google Scholar] [CrossRef]
- Mahdi, S.H.; Karem, L.K.A. Synthesis, Characterization, Anticancer and Antimicrobial Studies of Metal Nanoparticles Derived from Schiff Base Complexes. Inorg. Chem. Commun. 2024, 165, 112524. [Google Scholar] [CrossRef]
- Esfahani, M.H.; Behzad, M.; Dusek, M.; Kucerakova, M. Synthesis and Characterization of a Series of Acylpyrazolone Transition Metal Complexes: Crystal Structures and Catalytic Performance in the Epoxidation of Cyclooctene. Inorganica Chim. Acta 2020, 508, 119637. [Google Scholar] [CrossRef]
- Eni, D.B.; Yufanyi, D.M.; Nono, J.H.; Tabong, C.D.; Agwara, M.O. Synthesis, Characterization and Thermal Properties of 1,10-Phenanthroline Mixed-Ligand Complexes of Cobalt(II) and Copper(II): Metal-Mediated Transformations of the Dicyanamide Ion. Chem. Pap. 2020, 74, 3003–3016. [Google Scholar] [CrossRef]
- Gaikwad, K.D.; Ubale, P.; Khobragade, R.; Deodware, S.; Dhale, P.; Asabe, M.R.; Ovhal, R.M.; Singh, P.; Vishwanath, P.; Shivamallu, C.; et al. Preparation, Characterization and in Vitro Biological Activities of New Diphenylsulphone Derived Schiff Base Ligands and Their Co(II) Complexes. Molecules 2022, 27, 8576. [Google Scholar] [CrossRef]
- De, A.; Ray, H.P.; Jain, P.; Kaur, H.; Singh, N. Synthesis, Characterization, Molecular Docking and DNA Cleavage Study of Transition Metal Complexes of o-Vanillin and Glycine Derived Schiff Base Ligand. J. Mol. Struct. 2020, 1199, 126901. [Google Scholar] [CrossRef]
- Santana, F.S.; Briganti, M.; Cassaro, R.A.A.; Totti, F.; Ribeiro, R.R.; Hughes, D.L.; Nunes, G.G.; Reis, D.M. An Oxalate-Bridged Copper(II) Complex Combining Monodentate Benzoate, 2,2′-Bipyridine and Aqua Ligands: Synthesis, Crystal Structure and Investigation of Magnetic Properties. Molecules 2020, 25, 1898. [Google Scholar] [CrossRef]
- Hathaway, B.J.; Billing, D.E. The Electronic Properties and Stereochemistry of Mono-Nuclear Complexes of the Copper(II) Ion. Coord. Chem. Rev. 1970, 5, 143–207. [Google Scholar] [CrossRef]
- Maślewski, P.; Wyrzykowski, D.; Witwicki, M.; Dołęga, A. Histaminol and Its Complexes with Copper(II)—Studies in Solid State and Solution. Eur. J. Inorg. Chem. 2018, 2018, 1399–1408. [Google Scholar] [CrossRef]
- Pellei, M.; Bello, F.D.; Porchia, M.; Santini, C. Zinc Coordination Complexes as Anticancer Agents. Coord. Chem. Rev. 2021, 445, 214088. [Google Scholar] [CrossRef]
- Plapp, B.V.; Savarimuthu, B.R.; Ferraro, D.J.; Rubach, J.K.; Brown, E.N.; Ramaswamy, S. Horse Liver Alcohol Dehydrogenase: Zinc Coordination and Catalysis. Biochemistry 2017, 56, 3632–3646. [Google Scholar] [CrossRef]
- Chand, P.; Narula, K.; VS, R.; Sharma, S.; Kumari, S.; Mondal, N.; Singh, S.P.; Mishra, P.; Prasad, T. Mechanistic Insights into Cellular and Molecular Targets of Zinc Oxide Quantum Dots (ZnO QDs) in Fungal Pathogen, Candida Albicans: One Drug Multi-Targeted Therapeutic Approach. ACS Infect. Dis. 2024, 10, 1914–1934. [Google Scholar] [CrossRef]
- Das, R.; Mohanty, P.; Dash, P.P.; Mishra, S.; Bishoyi, A.K.; Mishra, L.; Prusty, L.; Behera, D.P.; Dubey, D.; Mishra, M.; et al. Unveiling the Interaction, Cytotoxicity and Antibacterial Potential of Pyridine Derivatives: An Experimental and Theoretical Approach with Bovine Serum Albumin. Naunyn-Schmiedeberg’s Arch. Pharmacol. 2025, 398, 4449–4466. [Google Scholar] [CrossRef]
- Mo, Q.; Deng, J.; Liu, Y.; Huang, G.; Li, Z.; Yu, P.; Gou, Y.; Yang, F. Mixed-Ligand Cu(II) Hydrazone Complexes Designed to Enhance Anticancer Activity. Eur. J. Med. Chem. 2018, 156, 368–380. [Google Scholar] [CrossRef]
- Sheldrick, G.M. SHELXT—Integrated Space-Group and Crystal-Structure Determination. Acta Crystallogr. Sect. Found. Adv. 2015, 71, 3–8. [Google Scholar] [CrossRef]
- Sacchi, P.; Lusi, M.; Cruz-Cabeza, A.J.; Nauha, E.; Bernstein, J. Same or Different—That Is the Question: Identification of Crystal Forms from Crystal Structure Data. CrystEngComm 2020, 22, 7170–7185. [Google Scholar] [CrossRef]
- Kleemiss, F.; Peyerimhoff, N.; Bodensteiner, M. Refinement of X-Ray and Electron Diffraction Crystal Structures Using Analytical Fourier Transforms of Slater-Type Atomic Wavefunctions in Olex2. J. Appl. Crystallogr. 2024, 57, 161–174. [Google Scholar] [CrossRef]
- Vilar, S.; Cozza, G.; Moro, S. Medicinal Chemistry and the Molecular Operating Environment (MOE): Application of QSAR and Molecular Docking to Drug Discovery. Curr. Top. Med. Chem. 2008, 8, 1555–1572. [Google Scholar] [CrossRef]
- Yuan, S.; Chan, H.C.S.; Hu, Z. Using PyMOL as a Platform for Computational Drug Design. Wiley Interdiscip. Rev. Comput. Mol. Sci. 2017, 7, e1298. [Google Scholar] [CrossRef]








| Complex (100 μM) | K562 | A549 | HepG2 | MDA-MB-231 | SW480 |
|---|---|---|---|---|---|
| Cell Inhibition (%) | |||||
| I | 40.69 ± 2.22 | 12.49 ± 1.51 | 4.06 ± 1.51 | 12.27 ± 1.89 | 17.59 ± 1.73 |
| II | 44.20 ± 2.12 | 11.74 ± 1.75 | 5.98 ± 2.77 | 6.21 ± 1.54 | 23.42 ± 0.63 |
| III | 43.58 ± 3.18 | 33.19 ± 0.14 | 31.43 ± 2.52 | 9.40 ± 1.49 | 33.73 ± 2.17 |
| IV | —— | 6.14 ± 0.51 | 32.65 ± 1.93 | 19.07 ± 2.23 | 12.00 ± 3.19 |
| Dox (10 μM) | 78.79 ± 1.82 | 73.32 ± 2.14 | 84.59 ± 1.50 | 76.31 ± 0.32 | 64.34 ± 2.74 |
| Taxol (10 μM) | 56.70 ± 1.60 | 58.94 ± 1.74 | 81.59 ± 0.96 | 73.09 ± 1.41 | 60.72 ± 0.44 |
| Complexes | Docking Score (kcal/mol) |
|---|---|
| I | −9.2020 |
| II | −6.9703 |
| III | −7.7817 |
| III | −9.1687 |
Disclaimer/Publisher’s Note: The statements, opinions and data contained in all publications are solely those of the individual author(s) and contributor(s) and not of MDPI and/or the editor(s). MDPI and/or the editor(s) disclaim responsibility for any injury to people or property resulting from any ideas, methods, instructions or products referred to in the content. |
© 2026 by the authors. Licensee MDPI, Basel, Switzerland. This article is an open access article distributed under the terms and conditions of the Creative Commons Attribution (CC BY) license.
Share and Cite
Kang, Q.; Umar, Q.; Zhang, W.; Meng, X.; Yin, H.; Luo, M.; Zhang, Y. Synthesis, Characterization and Anticancer Activities of Zn2+, Ni2+, Co2+, and Cu2+ Complexes of 4-Benzopyranone-2-carboxylic Acid. Inorganics 2026, 14, 26. https://doi.org/10.3390/inorganics14010026
Kang Q, Umar Q, Zhang W, Meng X, Yin H, Luo M, Zhang Y. Synthesis, Characterization and Anticancer Activities of Zn2+, Ni2+, Co2+, and Cu2+ Complexes of 4-Benzopyranone-2-carboxylic Acid. Inorganics. 2026; 14(1):26. https://doi.org/10.3390/inorganics14010026
Chicago/Turabian StyleKang, Qianqian, Qasim Umar, Wenjie Zhang, Xianggao Meng, Hao Yin, Mei Luo, and Yanmin Zhang. 2026. "Synthesis, Characterization and Anticancer Activities of Zn2+, Ni2+, Co2+, and Cu2+ Complexes of 4-Benzopyranone-2-carboxylic Acid" Inorganics 14, no. 1: 26. https://doi.org/10.3390/inorganics14010026
APA StyleKang, Q., Umar, Q., Zhang, W., Meng, X., Yin, H., Luo, M., & Zhang, Y. (2026). Synthesis, Characterization and Anticancer Activities of Zn2+, Ni2+, Co2+, and Cu2+ Complexes of 4-Benzopyranone-2-carboxylic Acid. Inorganics, 14(1), 26. https://doi.org/10.3390/inorganics14010026

