Novel 8-Hydroxyquinoline-Derived V(IV)O, Ni(II), and Fe(III) Complexes: Synthesis, Characterization, and In Vitro Cytotoxicity Against Tumor Cells
Abstract
1. Introduction
2. Results and Discussion
2.1. Synthesis and Characterization of the Complexes
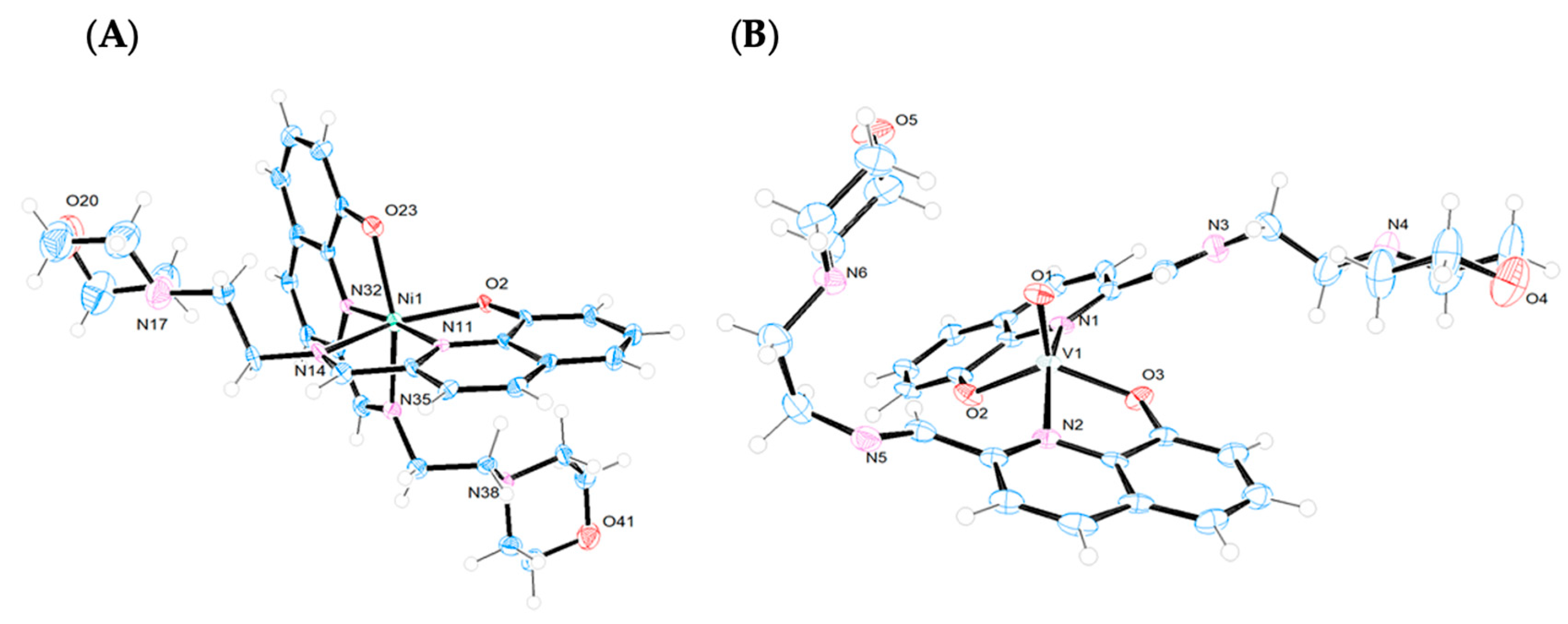
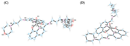
2.2. Single Crystal X-Ray Diffraction
2.3. EPR Characterization
2.4. Stability Studies in Organic and Aqueous Media
2.5. Interaction Studies with BSA
2.6. In Vitro Antiproliferative Properties of Metal-Based Complexes
2.7. In Vitro Synergistic Effect of Metal-Based Complexes in Combination with 5-FU
3. Materials and Methods
3.1. Materials
3.2. Apparatus
3.3. Diffuse Reflectance
3.4. Magnetic Susceptibility
3.5. EPR Measurements and Evaluation of the Spectra
3.6. Synthesis and Characterization
3.7. Single-Crystal X-Ray Diffraction
3.8. Stability Studies by UV-Vis and 51V NMR Spectroscopy and Mass Spectrometry
3.9. Interaction with BSA
3.10. Cell Lines and Cell Culture
3.11. Assessment of the Antiproliferative Activity
3.12. In Vitro Synergistic Studies
3.13. Statistical Analysis
4. Conclusions
Supplementary Materials
Author Contributions
Funding
Institutional Review Board Statement
Informed Consent Statement
Data Availability Statement
Conflicts of Interest
References
- Lopes, J.; Rodrigues, C.M.P.; Gaspar, M.M.; Reis, C.P. How to Treat Melanoma? The Current Status of Innovative Nanotechnological Strategies and the Role of Minimally Invasive Approaches like PTT and PDT. Pharmaceutics 2022, 14, 1817. [Google Scholar] [CrossRef] [PubMed]
- International Agency for Research on Cancer (IARC). Global Cancer Observatory, Cancer Tomorrow—Estimated Number of New Cases of Cancer from 2022 to 2050. Available online: https://gco.iarc.fr/tomorrow/en/dataviz/isotype?years=2050&single_unit=500000&types=0 (accessed on 30 March 2025).
- International Agency for Research on Cancer (IARC). Global Cancer Observatory, Cancer Tomorrow—Estimated Number of Deaths of Cancer from 2022 to 2050. Available online: https://gco.iarc.fr/tomorrow/en/dataviz/isotype?years=2050&single_unit=500000&types=1 (accessed on 30 March 2025).
- International Agency for Research on Cancer (IARC). Global Cancer Observatory, Cancer Tomorrow—Estimated Number of New Cases of Cancer from 2022 to 2025. Available online: https://gco.iarc.fr/tomorrow/en/dataviz/isotype?years=2025&single_unit=500000&types=0 (accessed on 30 March 2025).
- International Agency for Research on Cancer (IARC). Global Cancer Observatory, Cancer Tomorrow—Estimated Number of Deaths of Cancer from 2022 to 2025. Available online: https://gco.iarc.fr/tomorrow/en/dataviz/isotype?years=2025&single_unit=500000&types=1 (accessed on 30 March 2025).
- Lucaciu, R.L.; Hangan, A.C.; Sevastre, B.; Oprean, L.S. Metallo-Drugs in Cancer Therapy: Past, Present and Future. Molecules 2022, 27, 6485. [Google Scholar] [CrossRef] [PubMed]
- Adhikari, S.; Nath, P.; Das, A.; Datta, A.; Baildya, N.; Duttaroy, A.K.; Pathak, S. A review on metal complexes and its anti-cancer activities: Recent updates from in vivo studies. Biomed. Pharmacother. 2024, 171, 116211. [Google Scholar] [CrossRef] [PubMed]
- Debela, D.T.; Muzazu, S.G.; Heraro, K.D.; Ndalama, M.T.; Mesele, B.W.; Haile, D.C.; Kitui, S.K.; Manyazewal, T. New approaches and procedures for cancer treatment: Current perspectives. SAGE Open Med. 2021, 9, 205031212110343. [Google Scholar] [CrossRef]
- Kumar Singh, A.; Kumar, A.; Singh, H.; Sonawane, P.; Pathak, P.; Grishina, M.; Pal Yadav, J.; Verma, A.; Kumar, P. Metal Complexes in Cancer Treatment: Journey So Far. Chem. Biodivers. 2023, 20, e202300061. [Google Scholar] [CrossRef]
- Ndagi, U.; Mhlongo, N.; Soliman, M. Metal complexes in cancer therapy—An update from drug design perspective. Drug Des. Devel. Ther. 2017, 11, 599–616. [Google Scholar] [CrossRef]
- Abdolmaleki, S.; Aliabadi, A.; Khaksar, S. Riding the metal wave: A review of the latest developments in metal-based anticancer agents. Coord. Chem. Rev. 2024, 501, 215579. [Google Scholar] [CrossRef]
- Oliveri, V.; Vecchio, G. 8-Hydroxyquinolines in medicinal chemistry: A structural perspective. Eur. J. Med. Chem. 2016, 120, 252–274. [Google Scholar] [CrossRef]
- Gupta, R.; Luxami, V.; Paul, K. Insights of 8-hydroxyquinolines: A novel target in medicinal chemistry. Bioorg. Chem. 2021, 108, 104633. [Google Scholar] [CrossRef]
- Ribeiro, N.; Farinha, P.F.; Pinho, J.O.; Luiz, H.; Mészáros, J.P.; Galvão, A.M.; Costa Pessoa, J.; Enyedy, É.A.; Reis, C.P.; Correia, I.; et al. Metal Coordination and Biological Screening of a Schiff Base Derived from 8-Hydroxyquinoline and Benzothiazole. Pharmaceutics 2022, 14, 2583. [Google Scholar] [CrossRef]
- Ribeiro, N.; Albino, M.; Ferreira, A.; Escrevente, C.; Barral, D.; Pessoa, J.; Reis, C.; Gaspar, M.; Correia, I. Liposomal Formulations of a New Zinc(II) Complex Exhibiting High Therapeutic Potential in a Murine Colon Cancer Model. Int. J. Mol. Sci. 2022, 23, 6728. [Google Scholar] [CrossRef] [PubMed]
- Ribeiro, N.; Bulut, I.; Sergi, B.; Pósa, V.; Spengler, G.; Sciortino, G.; André, V.; Ferreira, L.P.; Biver, T.; Ugone, V.; et al. Promising anticancer agents based on 8-hydroxyquinoline hydrazone copper(II) complexes. Front. Chem. 2023, 11, 1106349. [Google Scholar] [CrossRef] [PubMed]
- Côrte-Real, L.; Sergi, B.; Yildirim, B.; Colucas, R.; Starosta, R.; Fontrodona, X.; Romero, I.; André, V.; Acilan, C.; Correia, I. Enhanced selectivity towards melanoma cells with zinc(II)-Schiff bases containing imidazole derivatives. Dalton Trans. 2024, 53, 9416–9432. [Google Scholar] [CrossRef] [PubMed]
- Côrte-Real, L.; Pósa, V.; Martins, M.; Colucas, R.; May, N.V.; Fontrodona, X.; Romero, I.; Mendes, F.; Pinto Reis, C.; Gaspar, M.M.; et al. Cu(II) and Zn(II) Complexes of New 8-Hydroxyquinoline Schiff Bases: Investigating Their Structure, Solution Speciation, and Anticancer Potential. Inorg. Chem. 2023, 62, 11466–11486. [Google Scholar] [CrossRef]
- Zoroddu, M.A.; Aaseth, J.; Crisponi, G.; Medici, S.; Peana, M.; Nurchi, V.M. The essential metals for humans: A brief overview. J. Inorg. Biochem. 2019, 195, 120–129. [Google Scholar] [CrossRef]
- Crans, D.C.; Yang, L.; Haase, A.; Yang, X. Health benefits of vanadium and its potential as an anticancer agent. In Metallo-Drugs: Development and Action of Anticancer Agents; De Gruyter: Berlin, Germany, 2018; pp. 251–280. [Google Scholar]
- Ay, B.; Şahin, O.; Saygıdeğer Demir, B.; Saygideger, Y.; López-de-Luzuriaga, J.M.; Mahmoudi, G.; Safin, D.A. Antitumor effects of novel nickel–hydrazone complexes in lung cancer cells. New J. Chem. 2020, 44, 9064–9072. [Google Scholar] [CrossRef]
- Ay, B.; Gönül, İ.; Demir, B.S.; Saygıdeğer, Y.; Kani, İ. Synthesis, structural characterization and in vitro anticancer activity of two new nickel complexes bearing imine bonds. Inorg. Chem. Commun. 2020, 114, 107824. [Google Scholar] [CrossRef]
- Matos, C.P.; Yildizhan, Y.; Adiguzel, Z.; Pavan, F.R.; Campos, D.L.; Pessoa, J.C.; Ferreira, L.P.; Tomaz, A.I.; Correia, I.; Acilan, C. New ternary iron(II) aminobisphenolate hydroxyquinoline complexes as potential therapeutic agents. Dalton Trans. 2019, 48, 8702–8716. [Google Scholar] [CrossRef]
- Amolegbe, S.A.; Adewuyi, S.; Akinremi, C.A.; Adediji, J.F.; Lawal, A.; Atayese, A.O.; Obaleye, J.A. Iron(III) and copper(II) complexes bearing 8-quinolinol with amino-acids mixed ligands: Synthesis, characterization and antibacterial investigation. Arab. J. Chem. 2015, 8, 742–747. [Google Scholar] [CrossRef]
- Ferretti, V.; Matos, C.P.; Canelas, C.; Pessoa, J.C.; Tomaz, A.I.; Starosta, R.; Correia, I.; León, I.E. New ternary Fe(III)-8-hydroxyquinoline–reduced Schiff base complexes as selective anticancer drug candidates. J. Inorg. Biochem. 2022, 236, 111961. [Google Scholar] [CrossRef]
- Nakamoto, K. Infrared and Raman Spectra of Inorganic and Coordination Compounds, Part B, 5th ed.; Wiley: New York, NY, USA, 1997. [Google Scholar]
- Maurya, M.R.; Sarkar, B.; Avecilla, F.; Correia, I. Vanadium(IV and V) complexes of pyrazolone based ligands: Synthesis, structural characterization and catalytic applications. Dalton Trans. 2016, 45, 17343–17364. [Google Scholar] [CrossRef] [PubMed]
- Dembaremba, T.O.; Correia, I.; Hosten, E.C.; Kuznetsov, M.L.; Gerber, W.J.; Pessoa, J.C.; Ogunlaja, A.S.; Tshentu, Z.R. New V IV O-complexes for oxidative desulfurization of refractory sulfur compounds in fuel: Synthesis, structure, reactivity trend and mechanistic studies. Dalton Trans. 2019, 48, 16687–16704. [Google Scholar] [CrossRef] [PubMed]
- Correia, I.; Roy, S.; Matos, C.P.; Borovic, S.; Butenko, N.; Cavaco, I.; Marques, F.; Lorenzo, J.; Rodríguez, A.; Moreno, V.; et al. Vanadium(IV) and copper(II) complexes of salicylaldimines and aromatic heterocycles: Cytotoxicity, DNA binding and DNA cleavage properties. J. Inorg. Biochem. 2015, 147, 134–146. [Google Scholar] [CrossRef] [PubMed]
- Figgis, B.N.; Hitchman, M.A. Ligand Field Theory and Its Applications; Wiley-VCH: Hoboken, NJ, USA, 2000; ISBN 978-0471986203. [Google Scholar]
- Ballhausen, C.J.; Gray, H.B. The Electronic Structure of the Vanadyl Ion. Inorg. Chem. 1962, 1, 111–122. [Google Scholar] [CrossRef]
- Hao, Z.; Gao, T.; Zhou, X.; Ma, Z.; Han, Z.; Lu, G.-L.; Lin, J. Nickel(II) complexes bearing 8-hydroxyquinoline-imine ligands: Synthesis and catalysis in hydrosilylation of aldehydes and ketones. J. Mol. Struct. 2023, 1294, 136539. [Google Scholar] [CrossRef]
- Zhang, X.; Zhang, J.; Hao, Z.; Han, Z.; Lin, J.; Lu, G.-L. Nickel Complexes Bearing N,N,O-Tridentate Salicylaldiminato Ligand: Efficient Catalysts for Imines Formation via Dehydrogenative Coupling of Primary Alcohols with Amines. Organometallics 2021, 40, 3843–3853. [Google Scholar] [CrossRef]
- Addison, A.W.; Rao, T.N.; Reedijk, J.; van Rijn, J.; Verschoor, G.C. Synthesis, structure, and spectroscopic properties of copper(II) compounds containing nitrogen–sulphur donor ligands; the crystal and molecular structure of aqua[1,7-bis(N-methylbenzimidazol-2′-yl)-2,6-dithiaheptane]copper(II) perchlorate. J. Chem. Soc. Dalton Trans. 1984, 1349–1356. [Google Scholar] [CrossRef]
- Hernández-Benítez, L.J.; Jiménez-Cruz, P.; Cureño-Hernández, K.E.; Solano-Peralta, A.; Flores-Álamo, M.; Flores-Parra, A.; Gracia-Mora, I.; Castillo-Blum, S.E. [VIVO]2+ complexes: Structure, unusual magnetic properties and cytotoxic effect. Inorg. Chim. Acta 2018, 480, 197–206. [Google Scholar] [CrossRef]
- Mello, L.d.S.; da Cruz, J.W., Jr.; Bucalon, D.H.; Romera, S.; dos Santos, M.P.; Lião, L.M.; Vizotto, L.; Martins, F.T.; Dockal, E.R. Synthesis, characterization and crystal structure of racemic vanadyl and uranyl salen-type complexes. J. Mol. Struct. 2021, 1228, 129656. [Google Scholar] [CrossRef]
- Sutradhar, M.; Roy Barman, T.; Mukherjee, G.; Drew, M.G.B.; Ghosh, S. Synthesis, structural characterization and electrochemical activity of oxidovanadium(IV/V) complexes of a diprotic ONS chelating ligand. Inorg. Chim. Acta 2010, 363, 3376–3383. [Google Scholar] [CrossRef]
- Palion-Gazda, J.; Luz, A.; Raposo, L.R.; Choroba, K.; Nycz, J.E.; Bieńko, A.; Lewińska, A.; Erfurt, K.; Baptista, P.V.; Machura, B.; et al. Vanadium(IV) Complexes with Methyl-Substituted 8-Hydroxyquinolines: Catalytic Potential in the Oxidation of Hydrocarbons and Alcohols with Peroxides and Biological Activity. Molecules 2021, 26, 6364. [Google Scholar] [CrossRef] [PubMed]
- Micera, G.; Pecoraro, V.L.; Garribba, E. Assessing the Dependence of 51 V A z Value on the Aromatic Ring Orientation of V IV O 2+ Pyridine Complexes. Inorg. Chem. 2009, 48, 5790–5796. [Google Scholar] [CrossRef] [PubMed]
- Correia, I.; Adão, P.; Roy, S.; Wahba, M.; Matos, C.; Maurya, M.R.; Marques, F.; Pavan, F.R.; Leite, C.Q.F.; Avecilla, F.; et al. Hydroxyquinoline derived vanadium(IV and V) and copper(II) complexes as potential anti-tuberculosis and anti-tumor agents. J. Inorg. Biochem. 2014, 141, 83–93. [Google Scholar] [CrossRef] [PubMed]
- Gätjens, J.; Meier, B.; Adachi, Y.; Sakurai, H.; Rehder, D. Characterization and Insulin-Mimetic Potential of Oxidovanadium(IV) Complexes Derived from Monoesters and -carboxylates of 2,5-Dipicolinic Acid. Eur. J. Inorg. Chem. 2006, 2006, 3575–3585. [Google Scholar] [CrossRef]
- Maurya, M.R.; Khan, A.A.; Azam, A.; Ranjan, S.; Mondal, N.; Kumar, A.; Avecilla, F.; Pessoa, J.C. Vanadium complexes having [VIVO]2+ and [VVO2]+ cores with binucleating dibasic tetradentate ligands: Synthesis, characterization, catalytic and antiamoebic activities. Dalton Trans. 2010, 39, 1345–1360. [Google Scholar] [CrossRef]
- Scalese, G.; Machado, I.; Correia, I.; Pessoa, J.C.; Bilbao, L.; Pérez-Diaz, L.; Gambino, D. Exploring oxidovanadium(iv) homoleptic complexes with 8-hydroxyquinoline derivatives as prospective antitrypanosomal agents. New J. Chem. 2019, 43, 17756–17773. [Google Scholar] [CrossRef]
- Bujacz, A.; Zielinski, K.; Sekula, B. Structural studies of bovine, equine, and leporine serum albumin complexes with naproxen. Proteins Struct. Funct. Bioinform. 2014, 82, 2199–2208. [Google Scholar] [CrossRef]
- Lakowicz, J.R. (Ed.) Principles of Fluorescence Spectroscopy; Springer: Boston, MA, USA, 2006; ISBN 978-0-387-31278-1. [Google Scholar]
- Ewert de Oliveira, B.; Junqueira Amorim, O.H.; Lima, L.L.; Rezende, R.A.; Mestnik, N.C.; Bagatin, E.; Leonardi, G.R. 5-Fluorouracil, innovative drug delivery systems to enhance bioavailability for topical use. J. Drug Deliv. Sci. Technol. 2021, 61, 102155. [Google Scholar] [CrossRef]
- Nahm, W.J.; Gwillim, E.C.; Badiavas, E.V.; Nichols, A.J.; Kirsner, R.S.; Boggeln, L.H.; Shen, J.T. Treating Melanoma in Situ During a Pandemic with Telemedicine and a Combination of Imiquimod, 5-Fluorouracil, and Tretinoin. Dermatol. Ther. 2021, 11, 307–314. [Google Scholar] [CrossRef]
- Cho, Y.-H.; Ro, E.J.; Yoon, J.-S.; Mizutani, T.; Kang, D.-W.; Park, J.-C.; Il Kim, T.; Clevers, H.; Choi, K.-Y. 5-FU promotes stemness of colorectal cancer via p53-mediated WNT/β-catenin pathway activation. Nat. Commun. 2020, 11, 5321. [Google Scholar] [CrossRef]
- Calado, S.; Eleutério, C.; Mendes, E.; Rocha, M.d.J.; Francisco, A.P.; Gaspar, M.M. Nanoformulations of a Triazene Analogue with Specific Affinity to Human Melanoma. J. Nanosci. Adv. Technol. 2016, 1, 1–9. [Google Scholar]
- Ribeiro, N.; Bulut, I.; Pósa, V.; Sergi, B.; Sciortino, G.; Pessoa, J.C.; Maia, L.B.; Ugone, V.; Garribba, E.; Enyedy, É.A.; et al. Solution chemical properties and anticancer potential of 8-hydroxyquinoline hydrazones and their oxidovanadium(IV) complexes. J. Inorg. Biochem. 2022, 235, 111932. [Google Scholar] [CrossRef] [PubMed]
- Singh, K.; Gangrade, A.; Jana, A.; Mandal, B.B.; Das, N. Design, Synthesis, Characterization, and Antiproliferative Activity of Organoplatinum Compounds Bearing a 1,2,3-Triazole Ring. ACS Omega 2019, 4, 835–841. [Google Scholar] [CrossRef]
- Tronina, T.; Bartmańska, A.; Popłoński, J.; Rychlicka, M.; Sordon, S.; Filip-Psurska, B.; Milczarek, M.; Wietrzyk, J.; Huszcza, E. Prenylated Flavonoids with Selective Toxicity against Human Cancers. Int. J. Mol. Sci. 2023, 24, 7408. [Google Scholar] [CrossRef]
- Adhikari, S.; Hussain, O.; Phillips, R.M.; Kaminsky, W.; Kollipara, M.R. Neutral and cationic half-sandwich arene d 6 metal complexes containing pyridyl and pyrimidyl thiourea ligands with interesting bonding modes: Synthesis, structural and anti-cancer studies. Appl. Organomet. Chem. 2018, 32, e4476. [Google Scholar] [CrossRef]
- Maciel, L.L.F.; Silva, M.B.; Moreira, R.O.; Cardoso, A.P.; Fernandes, C.; Horn, A.; de Aquino Almeida, J.C.; Kanashiro, M.M. In Vitro and In Vivo Relevant Antineoplastic Activity of Platinum(II) Complexes toward Triple-Negative MDA-MB-231 Breast Cancer Cell Line. Pharmaceutics 2022, 14, 2013. [Google Scholar] [CrossRef]
- Tram, N.T.T.; Anh, D.H.; Thuc, H.H.; Tuan, N.T. Investigation of chemical constituents and cytotoxic activity of the lichen Usnea undulata. Vietnam J. Chem. 2020, 58, 63–66. [Google Scholar] [CrossRef]
- Karges, J.; Stokes, R.W.; Cohen, S.M. Metal complexes for therapeutic applications. Trends Chem. 2021, 3, 523–534. [Google Scholar] [CrossRef]
- Fricker, S.P. Metal based drugs: From serendipity to design. Dalton Trans. 2007, 4903–4917. [Google Scholar] [CrossRef]
- Pinho, J.O.; da Silva, I.V.; Amaral, J.D.; Rodrigues, C.M.P.; Casini, A.; Soveral, G.; Gaspar, M.M. Therapeutic potential of a copper complex loaded in pH-sensitive long circulating liposomes for colon cancer management. Int. J. Pharm. 2021, 599, 120463. [Google Scholar] [CrossRef]
- Pinho, J.O.; Amaral, J.D.; Castro, R.E.; Rodrigues, C.M.; Casini, A.; Soveral, G.; Gaspar, M.M. Copper Complex Nanoformulations Featuring Highly Promising Therapeutic Potential in Murine Melanoma Models. Nanomedicine 2019, 14, 835–850. [Google Scholar] [CrossRef] [PubMed]
- Doostmohammadi, A.; Jooya, H.; Ghorbanian, K.; Gohari, S.; Dadashpour, M. Potentials and future perspectives of multi-target drugs in cancer treatment: The next generation anti-cancer agents. Cell Commun. Signal. 2024, 22, 228. [Google Scholar] [CrossRef] [PubMed]
- Palmer, A.C.; Chidley, C.; Sorger, P.K. A curative combination cancer therapy achieves high fractional cell killing through low cross-resistance and drug additivity. eLife 2019, 8, e50036. [Google Scholar] [CrossRef] [PubMed]
- Mokhtari, R.B.; Homayouni, T.S.; Baluch, N.; Morgatskaya, E.; Kumar, S.; Das, B.; Yeger, H. Combination therapy in combating cancer systematic review: Combination therapy in combating cancer background. Oncotarget 2017, 8, 38022–38043. [Google Scholar] [CrossRef] [PubMed]
- Chou, T.-C. Theoretical Basis, Experimental Design, and Computerized Simulation of Synergism and Antagonism in Drug Combination Studies. Pharmacol. Rev. 2006, 58, 621–681. [Google Scholar] [CrossRef]
- Chou, T.-C. Drug Combination Studies and Their Synergy Quantification Using the Chou-Talalay Method. Cancer Res. 2010, 70, 440–446. [Google Scholar] [CrossRef]
- Bijnsdorp, I.V.; Giovannetti, E.; Peters, G.J. Analysis of Drug Interactions. In Methods in Molecular Biology; Humana Press: Clifton, NJ, USA, 2011; Volume 731, pp. 421–434. ISBN 9781617790799. [Google Scholar]
- Balsa, L.M.; Ferretti, V.; Sottile, M.; Nunes, P.; Costa Pessoa, J.; Correia, I.; León, I.E. New copper(II) and oxidovanadium(IV) complexes with a vitamin B6 Schiff base: Mechanism of action and synergy studies on 2D and 3D human osteosarcoma cell models. Dalton Trans. 2024, 53, 3039–3051. [Google Scholar] [CrossRef]
- Atrián-Blasco, E.; Gascón, S.; Rodríguez-Yoldi, M.J.; Laguna, M.; Cerrada, E. Novel Gold(I) Thiolate Derivatives Synergistic with 5-Fluorouracil as Potential Selective Anticancer Agents in Colon Cancer. Inorg. Chem. 2017, 56, 8562–8579. [Google Scholar] [CrossRef]
- Zoetemelk, M.; Ramzy, G.M.; Rausch, M.; Nowak-Sliwinska, P. Drug-Drug Interactions of Irinotecan, 5-Fluorouracil, Folinic Acid and Oxaliplatin and Its Activity in Colorectal Carcinoma Treatment. Molecules 2020, 25, 2614. [Google Scholar] [CrossRef]
- Gonçalves, J.; Amaral, J.D.; Capela, R.; Perry, M.d.J.; Braga, C.; Gaspar, M.M.; Piedade, F.M.; Bijlsma, L.; Roig, A.; Pinto, S.N.; et al. Necroptosis induced by ruthenium (II) complexes as mitochondrial disruptors. Cell Death Discov. 2024, 10, 261. [Google Scholar] [CrossRef]
- Yim, E.-K.; Lee, S.B.; Lee, K.-H.; Kim, C.-J.; Park, J.-S. Analysis of the in vitro synergistic effect of 5-fluorouracil and cisplatin on cervical carcinoma cells. Int. J. Gynecol. Cancer Off. J. Int. Gynecol. Cancer Soc. 2006, 16, 1321–1329. [Google Scholar] [CrossRef]
- Frei, R.W.; MacNeil, J.D. Diffuse Reflectance Spectroscopy in Environmental Problem-Solving; CRC Press: Cleveland, OH, USA, 1973. [Google Scholar]
- Garland, C.W.; Nibler, J.W.; Shoemaker, D.P. Experiments in Physical Chemistry, 8th ed.; McGraw-Hill: New York, NY, USA, 2003. [Google Scholar]
- Schubert, E.M. Utilizing the Evans method with a superconducting NMR spectrometer in the undergraduate laboratory. J. Chem. Educ. 1992, 69, 62. [Google Scholar] [CrossRef]
- Piguet, C. Paramagnetic Susceptibility by NMR: The “Solvent Correction” Removed for Large Paramagnetic Molecules. J. Chem. Educ. 1997, 74, 815–816. [Google Scholar] [CrossRef]
- Martins, N.M.R.; Mahmudov, K.T.; Guedes da Silva, M.F.C.; Martins, L.M.D.R.S.; Pombeiro, A.J.L. Copper(II) and iron(III) complexes with arylhydrazone of ethyl 2-cyanoacetate or formazan ligands as catalysts for oxidation of alcohols. New J. Chem. 2016, 40, 10071–10083. [Google Scholar] [CrossRef]
- Rockenbauer, A.; Korecz, L. Automatic computer simulations of ESR spectra. Appl. Magn. Reson. 1996, 10, 29–43. [Google Scholar] [CrossRef]
- Coutinho, A.; Prieto, M. Ribonuclease TI and Alcohol Dehydrogenase Fluorescence Quenching by Acrylamide. J. Chem. Educ. 1993, 70, 425–428. [Google Scholar] [CrossRef]
- Marquês, J.T.; de Almeida, R.F.M. Application of Ratiometric Measurements and Microplate Fluorimetry to Protein Denaturation: An Experiment for Analytical and Biochemistry Students. J. Chem. Educ. 2013, 90, 1522–1527. [Google Scholar] [CrossRef]
- Pinho, J.O.; Matias, M.; Marques, V.; Eleutério, C.; Fernandes, C.; Gano, L.; Amaral, J.D.; Mendes, E.; Perry, M.J.; Moreira, J.N.; et al. Preclinical validation of a new hybrid molecule loaded in liposomes for melanoma management. Biomed. Pharmacother. 2023, 157, 114021. [Google Scholar] [CrossRef]
- Chou, T.-C.; Martin, N. CompuSyn for Drug Combinations and for General Dose-Effect Analysis—User’s Guide; ComboSyn, Inc.: Paramus, NJ, USA, 2005. [Google Scholar]
- Chou, T.-C.; Talalay, P. Quantitative analysis of dose-effect relationships: The combined effects of multiple drugs or enzyme inhibitors. Adv. Enzyme Regul. 1984, 22, 27–55. [Google Scholar] [CrossRef]
- Chou, T.-C.; Martin, N. CompuSyn Software for Drug Combinations and for General Dose—Effect Analysis, and User’s Guide; ComboSyn, Inc.: Paramus, NJ, USA, 2007. [Google Scholar]








| Compound | Media | λmax (nm) |
|---|---|---|
| [Ni(L1)2] | Solid state | 242, 305, 350 (sh), 485, 525, 600 (sh), 870 (br) |
| DMSO | 270, 297, 356 (sh), 439, 535 | |
| 5%DMSO/HEPES | 266, 297, 340 (sh), 467 | |
| [Fe(L1)2]Cl | Solid state | 235 (sh), 275, 488, 612 (sh, br) |
| DMSO | 280, 440 (sh), 600 (sh) | |
| 5%DMSO/HEPES | 276 (sh), 315 (sh), 355 (sh), 436, 573 | |
| [VO(L1)2] | Solid state | 230 (sh), 279, 330 (sh), 435, 474 (sh), 570 (sh), 775 (br) |
| DMSO (t = 0) | 278, 280 (sh), 432 | |
| 5%DMSO/HEPES | 274, 310 (sh), 384 | |
| [VO(L2)2] | Solid state | 230 (sh), 279, 348 (sh), 430, 480 (sh), 587 (sh), 800 (br) |
| DMSO (t = 0) | 270, 287, 353 (sh), 435 | |
| 5%DMSO/HEPES | 265, 300 (sh), 385 | |
| [VO(L3)2] | Solid state | 230 (sh), 279, 396 (sh), 476 (sh), 580 (sh), 810 (br) |
| DMSO (t = 0) | 268, 293 (sh), 348 (sh), 420 (sh) | |
| 5%DMSO/HEPES | 265, 293 (sh), 373 |
| Complex | % Quenching | KSV/M−1 ± SD | R2 | log k ± SD | R2 |
|---|---|---|---|---|---|
| [Ni(L1)2] | 33 | (2.1 ± 0.1) × 105 | 0.991 | 6.8 ± 0.1 | 0.997 |
| [Fe(L1)2]Cl | 28 | (1.53 ± 0.04) × 105 | 0.995 | 5.95 ± 0.07 | 0.998 |
| Cell Lines | IC50 (µM) of Compounds Under Study | ||||
|---|---|---|---|---|---|
| [Ni(L1)2] | V-Complex | [Fe(L1)2]Cl | 5-FU | ||
| B16F10 | 24 h | >40 | >40 | >40 | >40 |
| 48 h | 21.1 ± 0.1 | 15.4 ± 1.0 | 33.7 ± 0.9 | 4.1 ± 1.2 | |
| A375 | 24 h | 15.8 ± 4.7 | 6.4 ± 0.1 | 30.8 ± 2.9 | >40 |
| 48 h | 4.3 ± 0.7 | 3.6 ± 0.5 | 21.0 ± 5.5 | 33.9 ± 2.8 | |
| CT-26 | 24 h | >40 | >40 | >40 | >40 |
| 48 h | >40 | 22.8 ± 0.6 | >40 | 1.7 ± 0.8 | |
| HCT-116 | 24 h | >40 | >40 | >40 | >40 |
| 48 h | 5.9 ± 0.5 | 8.5 ± 1.5 | 16.0 ± 0.8 | 24.6 ± 0.1 | |
| HaCat | 24 h | >40 | >40 | >40 | >40 |
| 48 h | 9.2 ± 1.5 | 14.5 ± 6.2 | 37.3 ± 1.0 | 35.4 ± 5.9 | |
| Cell Lines | Selectivity Index of the Compounds Under Study | |||
|---|---|---|---|---|
| [Ni(L1)2] | V-Complex | [Fe(L1)2]Cl | 5-FU | |
| B16F10 | 0.44 | 0.94 | 1.11 | 8.63 |
| A375 | 2.14 | 4.03 | 1.78 | 1.04 |
| CT-26 | <0.23 | 0.64 | <0.93 | 20.82 |
| HCT-116 | 1.56 | 1.71 | 2.33 | 1.44 |
| Cell Line | IC50 Values for Compounds Under Study | |
|---|---|---|
| [Ni(L1)2] + 5-FU | V-Complex + 5-FU | |
| B16F10 | 10.6 | 8.4 |
| A375 | 27.8 | 25.2 |
| CT-26 | 39.5 | 12.2 |
| HCT-116 | 18.4 | 23.9 |
Disclaimer/Publisher’s Note: The statements, opinions and data contained in all publications are solely those of the individual author(s) and contributor(s) and not of MDPI and/or the editor(s). MDPI and/or the editor(s) disclaim responsibility for any injury to people or property resulting from any ideas, methods, instructions or products referred to in the content. |
© 2025 by the authors. Licensee MDPI, Basel, Switzerland. This article is an open access article distributed under the terms and conditions of the Creative Commons Attribution (CC BY) license (https://creativecommons.org/licenses/by/4.0/).
Share and Cite
Lopes, J.; Côrte-Real, L.; Neto, Í.; Alborghetti, A.; Dejoux, M.; May, N.V.; Fontrodona, X.; Romero, I.; Antunes, A.M.M.; Reis, C.P.; et al. Novel 8-Hydroxyquinoline-Derived V(IV)O, Ni(II), and Fe(III) Complexes: Synthesis, Characterization, and In Vitro Cytotoxicity Against Tumor Cells. Inorganics 2025, 13, 150. https://doi.org/10.3390/inorganics13050150
Lopes J, Côrte-Real L, Neto Í, Alborghetti A, Dejoux M, May NV, Fontrodona X, Romero I, Antunes AMM, Reis CP, et al. Novel 8-Hydroxyquinoline-Derived V(IV)O, Ni(II), and Fe(III) Complexes: Synthesis, Characterization, and In Vitro Cytotoxicity Against Tumor Cells. Inorganics. 2025; 13(5):150. https://doi.org/10.3390/inorganics13050150
Chicago/Turabian StyleLopes, Joana, Leonor Côrte-Real, Íris Neto, Alice Alborghetti, Maël Dejoux, Nora V. May, Xavier Fontrodona, Isabel Romero, Alexandra M. M. Antunes, Catarina Pinto Reis, and et al. 2025. "Novel 8-Hydroxyquinoline-Derived V(IV)O, Ni(II), and Fe(III) Complexes: Synthesis, Characterization, and In Vitro Cytotoxicity Against Tumor Cells" Inorganics 13, no. 5: 150. https://doi.org/10.3390/inorganics13050150
APA StyleLopes, J., Côrte-Real, L., Neto, Í., Alborghetti, A., Dejoux, M., May, N. V., Fontrodona, X., Romero, I., Antunes, A. M. M., Reis, C. P., Gaspar, M. M., & Correia, I. (2025). Novel 8-Hydroxyquinoline-Derived V(IV)O, Ni(II), and Fe(III) Complexes: Synthesis, Characterization, and In Vitro Cytotoxicity Against Tumor Cells. Inorganics, 13(5), 150. https://doi.org/10.3390/inorganics13050150

