Annealing Time Effect on the Microstructure, Phase Evolution, and Magnetic Properties of Self-Foaming AlCuFe Alloy
Abstract
1. Introduction
2. Results and Discussion
2.1. Structural Characterization
2.2. DSC Characterization
2.3. Microstructural Characterization
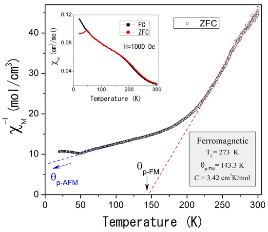
2.4. Magnetic Properties
3. Materials and Methods
4. Conclusions
Supplementary Materials
Author Contributions
Funding
Data Availability Statement
Acknowledgments
Conflicts of Interest
References
- Rajak, D.K.; Gupta, M. An Insight into Metal-Based Foams; Springer: Singapore, 2020. [Google Scholar]
 - Hassan, A.; Alnaser, I.A. A Review of Different Manufacturing Methods of Metallic Foams. ACS Omega 2024, 9, 6280–6295. [Google Scholar] [CrossRef] [PubMed]
 - Banhart, J. Manufacture, Characterisation and Application of Cellular Metals and Metal Foams. Prog. Mater. Sci. 2001, 46, 559–632. [Google Scholar] [CrossRef]
 - Gibson, L.J. Cellular Solids. MRS Bull. 2003, 28, 270–274. [Google Scholar] [CrossRef]
 - Oshida, Y. Bioscience and Bioengineering of Titanium Materials; Elsevier: Amsterdam, The Netherlands, 2010. [Google Scholar]
 - Parveez, B.; Jamal, N.A.; Anuar, H.; Ahmad, Y.; Aabid, A.; Baig, M. Microstructure and Mechanical Properties of Metal Foams Fabricated via Melt Foaming and Powder Metallurgy Technique: A Review. Materials 2022, 15, 5302. [Google Scholar] [CrossRef] [PubMed]
 - Ashby, M. Metal Foams: A Design Guide; Butterworth-Heinemann: Oxford, UK, 2000. [Google Scholar]
 - Behymer, N.; Morsi, K. Closed-Cell Metallic Foams Produced via Powder Metallurgy. Metals 2023, 13, 959. [Google Scholar] [CrossRef]
 - Ho, P.H.; Jabłonska, M.; Palkovits, R.; Rodríguez-Castellon, E.; Ospitali, F.; Fornasari, G.; Vaccari, A.; Benito, P. N2O Catalytic Decomposition on Electrodeposited Rh-Based Open-Cell Metallic Foams. Chem. Eng. J. 2020, 379, 122259. [Google Scholar] [CrossRef]
 - Allioux, F.-M.; Merhebi, S.; Ghasemian, M.B.; Tang, J.; Merenda, A.; Abbasi, R.; Mayyas, M.; Daeneke, T.; O’Mullane, A.P.; Daiyan, R.; et al. Bi-Sn Catalytic Foam Governed by Nanometallurgy of Liquid Metals. Nano Lett. 2020, 20, 4403–4409. [Google Scholar] [CrossRef]
 - Patil, K.N.; Prasad, D.; Manoorkar, V.K.; Nabgan, W.; Nagaraja, B.M.; Jadhav, A.H. Engineered Nano-Foam of Tri-Metallic (FeCuCo) Oxide Catalyst for Enhanced Hydrogen Generation via NaBH4 Hydrolysis. Chemosphere 2021, 281, 130988. [Google Scholar] [CrossRef]
 - Gao, H.; Wang, C.; Yang, Z.; Zhang, Y. 3D Porous Nickel Metal Foam/Polyaniline Heterostructure with Excellent Electromagnetic Interference Shielding Capability and Superior Absorption Based on Pre-Constructed Macroscopic Conductive Framework. Compos. Sci. Technol. 2021, 213, 108896. [Google Scholar] [CrossRef]
 - Liu, J.; Zhang, H.-B.; Sun, R.; Liu, Y.; Liu, Z.; Zhou, A.; Yu, Z.-Z. Hydrophobic, Flexible, and Lightweight MXene Foams for High-Performance Electromagnetic-Interference Shielding. Adv. Mater. 2017, 29, 1702367. [Google Scholar] [CrossRef]
 - Liu, S.; Jiang, Y.; Yang, M.; Zhang, M.; Guo, Q.; Shen, W.; He, R.; Li, M. Highly Conductive and Metallic Cobalt-Nickel Selenide Nanorods Supported on Ni Foam as an Efficient Electrocatalyst for Alkaline Water Splitting. Nanoscale 2019, 11, 7959–7966. [Google Scholar] [CrossRef]
 - Wu, Q.; Qin, M.; Yan, H.; Zhong, W.; Zhang, W.; Liu, M.; Cheng, S.; Xie, J. Facile Replacement Reaction Enables Nano-Ag-Decorated Three-Dimensional Cu Foam as High-Rate Lithium Metal Anode. ACS Appl. Mater. Interfaces 2022, 14, 42030–42037. [Google Scholar] [CrossRef]
 - Deng, X.; Li, J.; Zhu, S.; He, F.; He, C.; Liu, E.; Shi, C.; Li, Q.; Zhao, N. Metal-Organic Frameworks-Derived Honeycomb-Like Co3O4/Three-Dimensional Graphene Networks/Ni Foam Hybrid as a Binder-Free Electrode for Supercapacitors. J. Alloys Compd. 2017, 693, 16–24. [Google Scholar] [CrossRef]
 - Lyu, L.; Kang, J.; Seong, K.-d.; Kim, C.W.; Lim, J.; Piao, Y. ZnNiCo Hydroxide/Graphene-Carbon Nanotube Hydrogel on Surface-Modified Ni Foam as a Battery-Type Electrode for Hybrid Supercapacitors. J. Alloys Compd. 2021, 872, 159610. [Google Scholar] [CrossRef]
 - Tong, X.; Shi, Z.; Xu, L.; Lin, J.; Zhang, D.; Wang, K.; Li, Y.; Wen, C. Degradation Behavior, Cytotoxicity, Hemolysis, and Antibacterial Properties of Electro-Deposited ZnCu Metal Foams as Potential Biodegradable Bone Implants. Acta Biomater. 2020, 102, 481–492. [Google Scholar] [CrossRef]
 - Xu, Z.; Hao, H. Electromagnetic Interference Shielding Effectiveness of Aluminum Foams with Different Porosity. J. Alloys Compd. 2014, 617, 207–213. [Google Scholar] [CrossRef]
 - Li, X.; Wang, K.; Li, Y.; Wang, Z.; Zhao, Y.; Zhu, J. Mechanical and Magnetic Properties of Porous Ni50Mn28Ga22 Shape Memory Alloy. Metals 2024, 14, 291. [Google Scholar] [CrossRef]
 - Onishi, H.; Hyun, S.K.; Nakajima, H.; Mitani, S.; Takanashi, K.; Yakushiji, K. Magnetization Process of Lotus-Type Porous Metals. J. Appl. Phys. 2008, 103, 093539. [Google Scholar] [CrossRef]
 - Hong, G.; Liu, J.; Cobos, S.F.; Khazaee, T.; Drangova, M.; Holdsworth, D.W. Effective Magnetic Susceptibility of 3D-Printed Porous Metal Scaffolds. Magn. Reson. Med. 2022, 87, 2947–2956. [Google Scholar] [CrossRef]
 - Lefebvre, L.-P.; Banhart, J.; Dunand, D.C. Porous Metals and Metallic Foams: Current Status and Recent Developments. Adv. Eng. Mater. 2008, 10, 775–787. [Google Scholar] [CrossRef]
 - Suarez, M.; Figueroa, I.; González, G.; Lara-Rodríguez, G.; Novelo-Peralta, O.; Alfonso, I.; Calvo, I. Production of Al-Cu-Fe Metallic Foams without Foaming Agents or Space Holders. J. Alloys Compd. 2014, 585, 318–324. [Google Scholar] [CrossRef]
 - Hernández, J.; Figueroa, I.; González, G.; Salas, A.; Mendoza, L.; Alfonso, I.; Lara-Rodríguez, G. In-Situ Porosity Formation of Self-Foaming Al-Fe-Cu Alloys. Appl. Phys. A 2022, 128, 319. [Google Scholar] [CrossRef]
 - Suárez, M.; Delgado-Pamanes, M.; Chávez-Alcalá, J.; Cruz-Ramírez, A.; Guadarrama, I.; Figueroa, I. Microstructural and Mechanical Characterization of Quasicrystalline Al-Cu-Fe Foams. Mater. Today Commun. 2022, 30, 103043. [Google Scholar] [CrossRef]
 - Gögebakan, M.; Avar, B.; Uzun, O. Quasicrystalline Phase Formation in the Conventionally Solidified Al–Cu–Fe System. Mater. Sci. 2009, 27, 555–562. [Google Scholar]
 - Babilas, R.; Bajorek, A.; Spilka, M.; Radoń, A.; Łoński, W. Structure and Corrosion Resistance of Al–Cu–Fe Alloys. Prog. Nat. Sci. Mater. Int. 2020, 30, 393–401. [Google Scholar] [CrossRef]
 - Dubois, J.-M. New Prospects from Potential Applications of Quasicrystalline Materials. Mater. Sci. Eng. A 2000, 294, 4–9. [Google Scholar] [CrossRef]
 - Quispe, M.P.; Landauro, C.V.; Vergara, M.Z.P.; Quispe-Marcatoma, J.; Rojas-Ayala, C.; Peña-Rodríguez, V.A.; Baggio-Saitovitch, E. Influence of High Energy Milling on the Microstructure and Magnetic Properties of the Al–Cu–Fe Phases: The Case of the i-Al64Cu23Fe13 Quasicrystalline and the ω-Al70Cu20Fe10 Crystalline Phases. RSC Adv. 2016, 6, 5367–5376. [Google Scholar] [CrossRef]
 - Mendoza-Zélis, L.; Meyer, M.; Sánchez, F.H. Structural and Magnetic Properties of Mechanically Alloyed AlCuFe Intermetallics. Phys. Status Solidi C 2005, 2, 3581–3584. [Google Scholar] [CrossRef]
 - Müller, F.; Rosenberg, M.; Liu, W.; Köster, U. Mössbauer Measurements and Susceptibility Measurements on Crystalline and Icosahedral AlCuFe Alloys. Mater. Sci. Eng. A 1991, 134, 900–903. [Google Scholar] [CrossRef]
 - Zahoor, A.; Shahid, R.N.; Tariq, N.U.H.; Wahab, H.; Anwar, S.; Rafiq, M.A.; Hasan, B.A. Effect on Electrical and Magnetic Behavior of Al–Cu–Fe Quasicrystals during Surface Leaching. Appl. Phys. A 2021, 127, 551. [Google Scholar] [CrossRef]
 - Nikonov, A.A.; Semenovskiĭ, P.V.; Teplov, A.A.; Shaĭtura, D.S. Magnetic Susceptibility of Quasicrystalline Al65Cu22Fe13 Powders. Crystallogr. Rep. 2007, 52, 980–983. [Google Scholar] [CrossRef]
 - Semenovskiĭ, P.V.; Nikonov, A.A.; Teplov, A.A.; Ol’shanskiĭ, E.D.; Bryazkalo, A.M. Magnetic Properties of Quasicrystalline Al65Cu22Fe13 Powders Synthesized by Solid-Phase Diffusion. Crystallogr. Rep. 2010, 55, 833–836. [Google Scholar] [CrossRef]
 - Dolinšek, J.; Vrtnik, S.; Klanjšek, M.; Jagličić, Z.; Smontara, A.; Smiljanić, I.; Landauro, C.V. Intrinsic Electrical, Magnetic, and Thermal Properties of Single-Crystalline Al64Cu23Fe13 Icosahedral Quasicrystal: Experiment and Modeling. Phys. Rev. B 2007, 76, 054201. [Google Scholar] [CrossRef]
 - Meyer, M.; Sánchez, F.; Mendoza-Zélis, L. Magnetism and Disorder in BCC AlCuFe Intermetallics. Phys. B Condens. Matter 2007, 389, 163–167. [Google Scholar] [CrossRef]
 - Nguyen, H.V.; Do, N.B.; Nguyen, T.H.O.; Nguyen, C.S.; Trinh, V.T.; Le, H.T.; Jorge Junior, A.M. Synthesis and Magnetic Properties of Al–Cu–Fe Quasicrystals Prepared by Mechanical Alloying and Heat Treatment. J. Mater. Res. 2023, 38, 644–653. [Google Scholar] [CrossRef]
 - Lee, K.M.; Lee, J.H.; Kim, J.S.; Lee, J.W. Effect of Composition and Heat Treatment on the Magnetization Process of Al–Cu–Fe-Based Quasicrystalline Alloys. Mater. Chem. Phys. 2010, 123, 98–103. [Google Scholar]
 - Grin, J.; Burkhardt, U.; Ellner, M.; Peters, K. Refinement of the Fe4Al13 Structure and Its Relationship to the Quasihomological Homeotypical Structures. Z. Kristallogr. Cryst. Mater. 1994, 209, 479–487. [Google Scholar] [CrossRef]
 - Albedah, M.A.; Nejadsattari, F.; Stadnik, Z.M.; Przewoźnik, J. 57Fe Mössbauer Spectroscopy and Magnetic Study of Al13Fe4. J. Alloys Compd. 2015, 619, 839–845. [Google Scholar] [CrossRef]
 - Wang, K.-K. The Orientation Relationships and Interfaces of θ-Al2Cu/Cu and γ2-Al4Cu9/Cu and the Formation Sequence of θ-Al2Cu and γ2-Al4Cu9 at the Cu/Al Interface. Thin Solid Film. 2021, 717, 138436. [Google Scholar] [CrossRef]
 - Grushko, B.; Wittenberg, R.; Holland-Moritz, D. Solidification of Al–Cu–Fe Alloys Forming Icosahedral Phase. J. Mater. Res. 1996, 11, 2177–2185. [Google Scholar] [CrossRef]
 - Gögebakan, M.; Avar, B.; Tarakçı, M. Microstructures and Mechanical Properties of Conventionally Solidified Al63Cu25Fe12 Alloy. J. Alloys Compd. 2011, 509, 316–319. [Google Scholar] [CrossRef]
 - Gayle, F. Phase Equilibria at 550 °C in the Al-Cu-Fe System: 50 to 70 at.% Al, 0 to 9 at.% Fe. J. Phase Equilib. 1992, 13, 619–622. [Google Scholar] [CrossRef]
 - Wei, D.; He, Z. Multilayered Sandwich-Like Architecture Containing Large-Scale Faceted Al-Cu-Fe Quasicrystal Grains. Mater. Charact. 2016, 111, 154–161. [Google Scholar] [CrossRef]
 - Roy, M. Formation and Magnetic Properties of Mechanically Alloyed Al65Cu20Fe15 Quasicrystal. J. Magn. Magn. Mater. 2006, 302, 52–55. [Google Scholar] [CrossRef]
 - Shalaeva, E.V.; Prekul, A.F.; Shchegolikhina, N.I.; Medvedeva, N.I. Curie Temperature and Density of States at the Fermi Level for Al-Cu-Fe Phases: β-Solid State Solution Approximants Icosahedral Quasicrystals. Acta Phys. Pol. A 2014, 126, 572–576. [Google Scholar] [CrossRef]
 - Bogner, J.; Steiner, W.; Reissner, M.; Mohn, P.; Blaha, P.; Schwarz, K.; Krachler, R.; Ipser, H.; Sepiol, B. Magnetic Order and Defect Structure of FexAl1−x Alloys around x = 0.5: An Experimental and Theoretical Study. Phys. Rev. B 1998, 58, 14922. [Google Scholar] [CrossRef]
 - Kulikov, N.I.; Postnikov, A.V.; Borstel, G.; Braun, J. Onset of Magnetism in B2 Transition-Metal Aluminides. Phys. Rev. B 1999, 59, 6824–6832. [Google Scholar] [CrossRef]
 - Das, G.P.; Rao, B.K.; Jena, P.; Deevi, S.C. Electronic Structure of Substoichiometric Fe-Al Intermetallics. Phys. Rev. B 2002, 66, 184203. [Google Scholar] [CrossRef]
 - Apiñaniz, E.; Plazaola, F.; Garitaonandia, J. Electronic Structure Calculations of Fe-Rich Ordered and Disordered Fe-Al Alloys. Eur. Phys. J. B 2003, 31, 167–177. [Google Scholar] [CrossRef]
 - Fisher, M.E. The Theory of Equilibrium Critical Phenomena. Rep. Prog. Phys. 1967, 30, 615–730. [Google Scholar] [CrossRef]
 - Zhang, L.; Lück, R. Phase Diagram of the Al–Cu–Fe Quasicrystal-Forming Alloy System: III Isothermal Sections. Int. J. Mater. Res. 2022, 94, 108–115. [Google Scholar] [CrossRef]
 - Raghavan, V. Al–Cu–Fe (Aluminum–Copper–Iron). J. Phase Equilib. Diffus. 2005, 26, 59. [Google Scholar] [CrossRef]
 






| Sample | Volumetric Porosity (%) | Average Pore Size (mm2) | Density (g/cm3) | 
|---|---|---|---|
| As-cast | 7.8 ± 1.3 | 0.009 ± 0.002 | 4.45 ± 0.07 | 
| 6 h | 33.4 ± 2.6 | 0.554 ± 0.216 | 4.19 ± 0.11 | 
| 9 h | 48.7 ± 3.1 | 0.252 ± 0.096 | 3.76 ± 0.09 | 
| 15 h | 64.2 ± 6.7 | 0.183 ± 0.159 | 3.46 ± 0.26 | 
| 24 h | 60.8 ± 7.3 | 0.228 ± 0.209 | 3.12 ± 0.31 | 
Disclaimer/Publisher’s Note: The statements, opinions and data contained in all publications are solely those of the individual author(s) and contributor(s) and not of MDPI and/or the editor(s). MDPI and/or the editor(s) disclaim responsibility for any injury to people or property resulting from any ideas, methods, instructions or products referred to in the content.  | 
© 2025 by the authors. Licensee MDPI, Basel, Switzerland. This article is an open access article distributed under the terms and conditions of the Creative Commons Attribution (CC BY) license (https://creativecommons.org/licenses/by/4.0/).
Share and Cite
López, R.; Hernández, J.M.; Damián, C.; Lopez, I.A.; Gonzalez, G.; Figueroa, I.A. Annealing Time Effect on the Microstructure, Phase Evolution, and Magnetic Properties of Self-Foaming AlCuFe Alloy. Inorganics 2025, 13, 149. https://doi.org/10.3390/inorganics13050149
López R, Hernández JM, Damián C, Lopez IA, Gonzalez G, Figueroa IA. Annealing Time Effect on the Microstructure, Phase Evolution, and Magnetic Properties of Self-Foaming AlCuFe Alloy. Inorganics. 2025; 13(5):149. https://doi.org/10.3390/inorganics13050149
Chicago/Turabian StyleLópez, Rodolfo, José Manuel Hernández, Carlos Damián, Ismeli Alfonso Lopez, Gonzalo Gonzalez, and Ignacio Alejandro Figueroa. 2025. "Annealing Time Effect on the Microstructure, Phase Evolution, and Magnetic Properties of Self-Foaming AlCuFe Alloy" Inorganics 13, no. 5: 149. https://doi.org/10.3390/inorganics13050149
APA StyleLópez, R., Hernández, J. M., Damián, C., Lopez, I. A., Gonzalez, G., & Figueroa, I. A. (2025). Annealing Time Effect on the Microstructure, Phase Evolution, and Magnetic Properties of Self-Foaming AlCuFe Alloy. Inorganics, 13(5), 149. https://doi.org/10.3390/inorganics13050149
        
