Microwave-Assisted Synthesis of Pd/g-C3N4 for Enhanced Photocatalytic Degradation of Sulfamethoxazole
Abstract
1. Introduction
2. Results and Discussion
2.1. Characterization
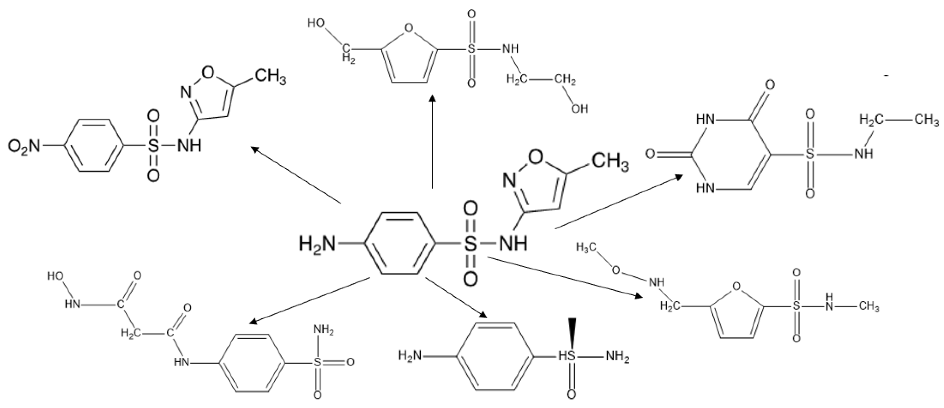
2.2. Photocatalytic Activity Test
3. Materials and Methods
3.1. Materials
3.2. Synthesis of g-C3N4
3.3. Synthesis of Pd/g-C3N4
4. Conclusions
Supplementary Materials
Author Contributions
Funding
Institutional Review Board Statement
Informed Consent Statement
Data Availability Statement
Conflicts of Interest
References
- Polianciuc, S.I.; Gurzău, A.E.; Kiss, B.; Georgia Ștefan, M.; Loghin, F. Antibiotics in the Environment: Causes and Consequences. Med. Pharm. Rep. 2020, 93, 231–240. [Google Scholar] [CrossRef] [PubMed]
- Al Masud, M.A.; Shin, W.S.; Septian, A.; Samaraweera, H.; Khan, I.J.; Mohamed, M.M.; Billah, M.M.; López-Maldonado, E.A.; Rahman, M.M.; Islam, A.R.M.T.; et al. Exploring the Environmental Pathways and Challenges of Fluoroquinolone Antibiotics: A State-of-the-Art Review. Sci. Total Environ. 2024, 926, 171944. [Google Scholar] [CrossRef] [PubMed]
- Lade, H.; Kim, J.S. Bacterial Targets of Antibiotics in Methicillin-Resistant Staphylococcus aureus. Antibiotics 2021, 10, 398. [Google Scholar] [CrossRef] [PubMed]
- Minato, Y.; Dawadi, S.; Kordus, S.L.; Sivanandam, A.; Aldrich, C.C.; Baughn, A.D. Mutual Potentiation Drives Synergy between Trimethoprim and Sulfamethoxazole. Nat. Commun. 2018, 9, 1003. [Google Scholar] [CrossRef]
- Kocak, Z.; Hatipoglu, C.A.; Ertem, G.; Kinikli, S.; Tufan, A.; Irmak, H.; Demiroz, A.P. Trimethoprim-Sulfamethoxazole Induced Rash and Fatal Hematologic Disorders. J. Infect. 2006, 52, e49–e52. [Google Scholar] [CrossRef]
- Ganthavee, V.; Trzcinski, A.P. Removal of Pharmaceutically Active Compounds from Wastewater Using Adsorption Coupled with Electrochemical Oxidation Technology: A Critical Review. J. Ind. Eng. Chem. 2023, 126, 20–35. [Google Scholar] [CrossRef]
- Jamil, T. Role of Advance Oxidation Processes (AOPs) in Textile Wastewater Treatment: A Critical Review. Desalination Water Treat. 2024, 318, 100387. [Google Scholar] [CrossRef]
- Le-Duy, N.; Hoang, L.A.T.; Nguyen, T.D.; Lee, T. Pd Nanoparticles Decorated BiVO4 Pine Architectures for Photocatalytic Degradation of Sulfamethoxazole. Chemosphere 2023, 321, 138118. [Google Scholar] [CrossRef]
- Bhanderi, D.; Lakhani, P.; Modi, C.K. Graphitic Carbon Nitride (g-C3N4) as an Emerging Photocatalyst for Sustainable Environmental Applications: A Comprehensive Review. RSC Sustain. 2023, 2, 265–287. [Google Scholar] [CrossRef]
- Ding, F.; Yang, D.; Tong, Z.; Nan, Y.; Wang, Y.; Zou, X.; Jiang, Z. Graphitic Carbon Nitride-Based Nanocomposites as Visible-Light Driven Photocatalysts for Environmental Purification. Environ. Sci. Nano 2017, 4, 1455–1469. [Google Scholar] [CrossRef]
- Qi, K.; Liu, S.-Y.; Zada, A. Graphitic Carbon Nitride, a Polymer Photocatalyst. J. Taiwan Inst. Chem. Eng. 2020, 109, 111–123. [Google Scholar] [CrossRef]
- Hoang, L.A.T.; Le, N.D.; Nguyen, T.D.; Lee, T. One-Step Synthesis of g-C3N4 Nanosheets with Enhanced Photocatalytic Performance for Organic Pollutants Degradation Under Visible Light Irradiation. Top. Catal. 2023, 66, 194–204. [Google Scholar] [CrossRef]
- Wang, J.; Sun, Y.; Lai, J.; Pan, R.; Fan, Y.; Wu, X.; Ou, M.; Zhu, Y.; Fu, L.; Shi, F.; et al. Two-Dimensional Graphitic Carbon Nitride/N-Doped Carbon with a Direct Z-Scheme Heterojunction for Photocatalytic Generation of Hydrogen. Nanoscale Adv. 2021, 3, 6580–6586. [Google Scholar] [CrossRef]
- Rashidizadeh, A.; Ghafuri, H.; Rezazadeh, Z. Improved Visible-Light Photocatalytic Activity of g-C3N4/CuWO4 Nanocomposite for Degradation of Methylene Blue. Proceedings 2019, 41, 43. [Google Scholar]
- Zhang, M.; Duan, Y.; Jia, H.; Wang, F.; Wang, L.; Su, Z.; Wang, C. Defective Graphitic Carbon Nitride Synthesized by Controllable Co-Polymerization with Enhanced Visible Light Photocatalytic Hydrogen Evolution. Catal. Sci. Technol. 2017, 7, 452–458. [Google Scholar] [CrossRef]
- Huang, M.; Yang, Z.; Lu, L.; Xu, J.; Wang, W.; Yang, C. The Preparation of G-C3N4/CoAl-LDH Nanocomposites and Their Depollution Performances in Cement Mortars under UV-Visible Light. Catalysts 2022, 12, 443. [Google Scholar] [CrossRef]
- Meng, A.; Yang, R.; Li, W.; Li, Z.; Zhang, J. Enhanced Photocatalytic Hydrogen Production through Tuning Charge Transfer in TiO2/CdS Se1–-DETA Nanocomposites with S-Scheme Heterojunction Structure. J. Mater. 2024, 11, 100919. [Google Scholar] [CrossRef]
- Li, W.; Meng, A.Y.; Li, Z.; Zhang, J.F.; Fu, J.W. S-Scheme CeO2/Cd7.23Zn2.77S10-DETA Heterojunctions for Superior Cocatalyst-Free Visible-Light Photocatalytic Hydrogen Evolution. J. Cent. South. Univ. 2024, 31, 4572–4585. [Google Scholar] [CrossRef]
- Godin, R.; Wang, Y.; Zwijnenburg, M.A.; Tang, J.; Durrant, J.R. Time-Resolved Spectroscopic Investigation of Charge Trapping in Carbon Nitrides Photocatalysts for Hydrogen Generation. J. Am. Chem. Soc. 2017, 139, 5216–5224. [Google Scholar] [CrossRef]
- Zhang, X.; Wang, C.; Zhang, M.; Luo, D.; Ye, S.; Weng, B. Surface Plasmon Resonance-Mediated Photocatalytic H2 Generation. ChemSusChem 2024, 17, e202400513. [Google Scholar] [CrossRef]
- Palanisamy, T.; Mitra, S.; Batra, N.; Smajic, J.; Emwas, A.-H.; Roqan, I.; Costa, P. Carbon Nitride Thin Film-Sensitized Graphene Field-Effect Transistor: A Visible-Blind Ultraviolet Photodetector. Adv. Mater. Interfaces 2022, 9, 2200313. [Google Scholar] [CrossRef]
- Xu, H.; Yan, J.; She, X.; Xu, L.; Xia, J.; Xu, Y.; Song, Y.; Huang, L.; Li, H. Graphene-Analogue Carbon Nitride: Novel Exfoliation Synthesis and Its Application in Photocatalysis and Photoelectrochemical Selective Detection of Trace Amount of Cu2+. Nanoscale 2014, 6, 1406–1415. [Google Scholar] [CrossRef]
- Liu, Y.N.; Zhou, X.; Wang, X.; Liang, K.; Yang, Z.K.; Shen, C.C.; Imran, M.; Sahar, S.; Xu, A.W. Hydrogenation/Oxidation Induced Efficient Reversible Color Switching between Methylene Blue and Leuco-Methylene Blue. RSC Adv. 2017, 7, 30080–30085. [Google Scholar] [CrossRef]
- Chang, X.; Fan, H.; Lei, L.; Wu, X.; Wang, W.; Ma, L. Generation Mechanism of the Defects in G-C3N4 Synthesized in N2 Atmosphere and the Method for Improving Photocatalysis Activity. Catalysts 2023, 13, 269. [Google Scholar] [CrossRef]
- Tiong, P.; Lintang, H.O.; Endud, S.; Yuliati, L. Improved Interfacial Charge Transfer and Visible Light Activity of Reduced Graphene Oxide-Graphitic Carbon Nitride Photocatalysts. RSC Adv. 2015, 5, 94029–94039. [Google Scholar] [CrossRef]
- Zhong, X.; Meng, F.; Dong, Y.; Zhao, J.; Zhang, H.; Du, Y. S-Scheme Heterojunction between Donor-Acceptor Linear Polymer and g-C3N4 via Strengthened Internal Electric Field for Enhanced Photocatalytic Activity. Mater. Today Energy 2025, 48, 101773. [Google Scholar] [CrossRef]
- Liang, B.; Rao, Y.; Duan, X. The Electrical Properties and Modulation of G-C3N4/β-As and g-C3N4/β-Sb Heterostructures: A First Principles Study. RSC Adv. 2019, 9, 38724–38729. [Google Scholar] [CrossRef]
- Zhang, L.; Mohamed, H.H.; Dillert, R.; Bahnemann, D. Kinetics and Mechanisms of Charge Transfer Processes in Photocatalytic Systems: A Review. J. Photochem. Photobiol. C Photochem. Rev. 2012, 13, 263–276. [Google Scholar]
- Paul, D.R.; Gautam, S.; Panchal, P.; Nehra, S.P.; Choudhary, P.; Sharma, A. ZnO-Modified g-C3N4: A Potential Photocatalyst for Environmental Application. ACS Omega 2020, 5, 3828–3838. [Google Scholar] [CrossRef]
- Gong, H.; Chu, W.; Xu, K.; Xia, X.; Gong, H.; Tan, Y.; Pu, S. Efficient Degradation, Mineralization and Toxicity Reduction of Sulfamethoxazole under Photo-Activation of Peroxymonosulfate by Ferrate (VI). Chem. Eng. J. 2020, 389, 124084. [Google Scholar] [CrossRef]
- Xu, H.; Zhang, T.; Gu, Y.; Yan, X.; Lu, N.; Liu, H.; Xu, Z.; Xing, Y.; Song, Y.; Zhang, Z.; et al. An Electrochemical Thrombin Aptasensor Based on the Use of Graphite-like C3N4 Modified with Silver Nanoparticles. Microchim. Acta 2020, 187, 163. [Google Scholar] [CrossRef]
- Peng, H.; Mo, Z.; Liao, S.; Liang, H.; Yang, L.; Luo, F.; Song, H.; Zhong, Y.; Zhang, B. High Performance Fe- and N- Doped Carbon Catalyst with Graphene Structure for Oxygen Reduction. Sci. Rep. 2013, 3, 1765. [Google Scholar] [CrossRef]
- Vezzù, K.; Bach Delpeuch, A.; Negro, E.; Polizzi, S.; Nawn, G.; Bertasi, F.; Pagot, G.; Artyushkova, K.; Atanassov, P.; Di Noto, V. Fe-Carbon Nitride “Core-Shell” Electrocatalysts for the Oxygen Reduction Reaction. Electrochim. Acta 2016, 222, 1778–1791. [Google Scholar] [CrossRef]
- Thøgersen, A.; Mayandi, J.; Vines, L.; Sunding, M.F.; Olsen, A.; Diplas, S.; Mitome, M.; Bando, Y. Composition and Structure of Pd Nanoclusters in SiOx Thin Film. J. Appl. Phys. 2011, 109, 084329. [Google Scholar] [CrossRef]
- Sági, G.; Csay, T.; Szabó, L.; Pátzay, G.; Csonka, E.; Takács, E.; Wojnárovits, L. Analytical Approaches to the OH Radical Induced Degradation of Sulfonamide Antibiotics in Dilute Aqueous Solutions. J. Pharm. Biomed. Anal. 2015, 106, 52–60. [Google Scholar] [CrossRef]
- Song, Y.; Qi, J.; Tian, J.; Gao, S.; Cui, F. Construction of Ag/g-C3N4 photocatalysts with visible-light photocatalytic activity for sulfamethoxazole degradation. Chem. Eng. J. 2018, 341, 547–555. [Google Scholar] [CrossRef]
- Senasu, T.; Lorwanishpaisarn, N.; Hemavibool, K.; Nijpanich, S.; Chanlek, N.; Nanan, S. Construction of g-C3N4/BiOCl/CdS heterostructure photocatalyst for complete removal of oxytetracycline antibiotic in wastewater. Sep. Purif. Technol. 2022, 306, 122735. [Google Scholar] [CrossRef]
- Guo, X.; He, S.; Meng, Z.; Wang, Y.; Peng, Y. Ag@ZIF-8/g-C3N4 Z-scheme photocatalyst for the enhanced removal of multiple classes of antibiotics by integrated adsorption and photocatalytic degradation under visible light irradiation. RSC Adv. 2022, 12, 17919–17931. [Google Scholar] [CrossRef]
- Ning, P.; Chen, H.; Pan, J.; Liang, J.; Qin, L.; Chen, D.; Huang, Y. Surface defect-rich g-C3N4/TiO2 Z-scheme heterojunction for efficient photocatalytic antibiotic removal: Rational regulation of free radicals and photocatalytic mechanism. Catal. Sci. Technol. 2020, 10, 8295–8304. [Google Scholar] [CrossRef]
- Lu, G.; Li, X.; Lu, P.; Guo, H.; Wang, Z.; Zhang, Q.; Li, Y.; Sun, W.; An, J.; Zhang, Z. Z-Type Heterojunction MnO2@g-C3N4 Photocatalyst-Activated Peroxymonosulfate for the Removal of Tetracycline Hydrochloride in Water. Toxics 2024, 12, 70. [Google Scholar] [CrossRef]
- Xue, J.; Ma, S.; Zhou, Y.; Zhang, Z.; He, M. Facile Photochemical Synthesis of Au/Pt/g-C3N4with Plasmon-Enhanced Photocatalytic Activity for Antibiotic Degradation. ACS Appl. Mater. Interfaces 2015, 7, 9630–9637. [Google Scholar] [CrossRef] [PubMed]
- Van Pham, V.; Truong, T.K.; Hai, L.V.; La, H.P.P.; Nguyen, H.T.; Lam, V.Q.; Tong, H.D.; Nguyen, T.Q.; Sabbah, A.; Chen, K.-H.; et al. S-Scheme α-Fe2O3/g-C3N4 Nanocomposites as Heterojunction Photocatalysts for Antibiotic Degradation. ACS Appl. Nano Mater. 2022, 5, 4506–4514. [Google Scholar] [CrossRef]








Disclaimer/Publisher’s Note: The statements, opinions and data contained in all publications are solely those of the individual author(s) and contributor(s) and not of MDPI and/or the editor(s). MDPI and/or the editor(s) disclaim responsibility for any injury to people or property resulting from any ideas, methods, instructions or products referred to in the content. |
© 2025 by the authors. Licensee MDPI, Basel, Switzerland. This article is an open access article distributed under the terms and conditions of the Creative Commons Attribution (CC BY) license (https://creativecommons.org/licenses/by/4.0/).
Share and Cite
Hoang, L.-A.T.; Nguyen, T.D.; Lee, T. Microwave-Assisted Synthesis of Pd/g-C3N4 for Enhanced Photocatalytic Degradation of Sulfamethoxazole. Inorganics 2025, 13, 118. https://doi.org/10.3390/inorganics13040118
Hoang L-AT, Nguyen TD, Lee T. Microwave-Assisted Synthesis of Pd/g-C3N4 for Enhanced Photocatalytic Degradation of Sulfamethoxazole. Inorganics. 2025; 13(4):118. https://doi.org/10.3390/inorganics13040118
Chicago/Turabian StyleHoang, Lan-Anh T., Trinh Duy Nguyen, and Taeyoon Lee. 2025. "Microwave-Assisted Synthesis of Pd/g-C3N4 for Enhanced Photocatalytic Degradation of Sulfamethoxazole" Inorganics 13, no. 4: 118. https://doi.org/10.3390/inorganics13040118
APA StyleHoang, L.-A. T., Nguyen, T. D., & Lee, T. (2025). Microwave-Assisted Synthesis of Pd/g-C3N4 for Enhanced Photocatalytic Degradation of Sulfamethoxazole. Inorganics, 13(4), 118. https://doi.org/10.3390/inorganics13040118

