Synthesis, Characterisation, DFT Study and Biological Evaluation of Complexes Derived from Transition Metal and Mixed Ligands
Abstract
1. Introduction
2. Materials and Methods
2.1. Material and Measurement Technique
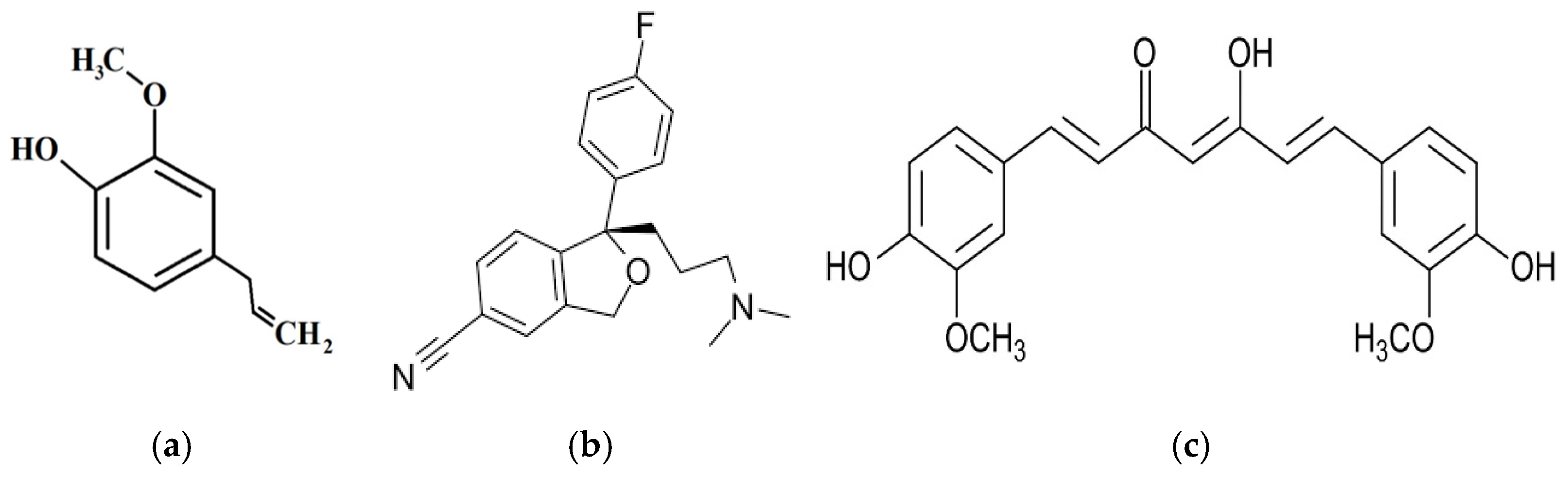
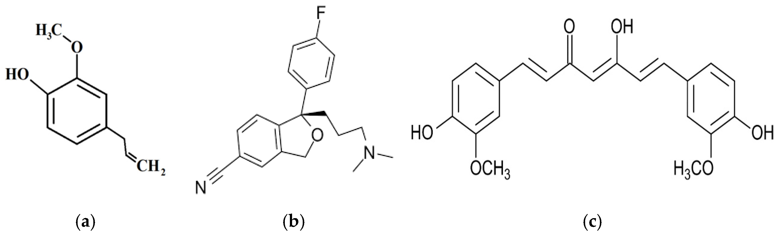
2.2. Preparation of the Mixed Escitalopram and Clove Oil (Eugenol) (Esc-Eug) Ligand
2.3. Preparation of the Mixed Escitalopram and Curcumin (Esc_Cur) Ligand
2.4. General Preparation of the Mixed Ligand-Transition Metal Complexes
3. Results and Discussion
3.1. Fourier Transfer Infrared Spectroscopy (FTIR)
3.2. 1H-NMR Spectra of L1 and L2
3.3. Molar Conductivity, (d-d) Spectrum and Expected Geometry of the Prepared [M(L1)Cl]Cl and [M(L2)Cl] Complexes
3.4. Antimicrobial Activities of [M(L1)Cl] and [M(L2)Cl] Complexes
3.5. Density Functional Theory (DFT)
DFT Calculations




4. Conclusions
Author Contributions
Funding
Institutional Review Board Statement
Informed Consent Statement
Data Availability Statement
Acknowledgments
Conflicts of Interest
References
- Banerjee, S.; Chakravarty, A.R. Metal Complexes of Curcumin for Cellular Imaging, Targeting, and Photoinduced Anticancer Activity. Acc. Chem. Res. 2015, 48, 2075–2083. [Google Scholar] [CrossRef]
- Sarkar, T.; Bera, A.; Upadhyay, A.; Jain, N.; Are, V.; Eedara, A.; Prakashchandra, R.D.; Panneerselvam, S.; Nanubolu, J.B.; Andugulapati, S.B.; et al. Photostable Mn(II) Complex of Curcumin for Effective Photodynamic Therapy and Precise Three-Dimensional In Vivo Tumor Imaging. ACS Appl. Mater. Interfaces 2025, 17, 13660–13675. [Google Scholar] [CrossRef]
- Coelho, J.R.A.; Pacheco, A.R.F.; Domingues, D.C.; Rodrigues, A.R.O.; Temitope, A.A.; Coutinho, P.J.G.; Fernandes, M.J.G.; Castanheira, E.M.S.; Gonçalves, M.S.T. New Cation Sensors Based on Eugenol-Derived Azo Dyes. Molecules 2025, 30, 2788. [Google Scholar] [CrossRef]
- Al-Noor, T.H.; Mohapatra, R.K.; Azam, M.; Karem, L.K.A.; Mohapatra, P.K.; Ibrahim, A.A.; Parhi, P.K.; Dash, G.C.; El-Ajaily, M.M.; Al-Resayes, S.I.; et al. Mixed-ligand complexes of ampicillin derived Schiff base ligand and Nicotinamide: Synthesis, physico-chemical studies, DFT calculation, antibacterial study and molecular docking analysis. J. Mol. Struct. 2021, 1229, 129832. [Google Scholar] [CrossRef]
- Albotani, A.S.; Mohammed, E.R.; Al-Dulaimi, M.S.; Saied, S.M.; Saleh, M.Y. Synthesis, Characterization, In Silico Screening for Molecular Docking and Computational Exploration of Some Novel Metal Complexes Derived from Ampicillin-Isatine Schiff Bases. New Mater. Compd. Appl. 2025, 9, 109–122. [Google Scholar] [CrossRef]
- Kowalewska, A.; Majewska-Smolarek, K. Eugenol-Based Polymeric Materials—Antibacterial Activity and Applications. Antibiotics 2023, 12, 1570. [Google Scholar] [CrossRef]
- Fujisawa, S.; Murakami, Y. Eugenol and its role in chronic diseases. In Drug Discovery from Mother Nature; Gupta, S.C., Prasad, S., Aggarwal, B.B., Eds.; Springer International Publishing: Cham, Switzerland, 2016; pp. 45–66. [Google Scholar]
- Kanwal, A.; Afzal, U.; Zubair, M.; Imran, M.; Rasool, N. Synthesis of anti-depressant molecules via metal-catalyzed reactions: A review. RSC Adv. 2024, 14, 6948–6971. [Google Scholar] [CrossRef] [PubMed]
- Refat, M.S. Synthesis and characterization of ligational behavior of curcumin drug towards some transition metal ions: Chelation effect on their thermal stability and biological activity. Spectrochim. Acta Part A Mol. Biomol. Spectrosc. 2013, 105, 326–337. [Google Scholar] [CrossRef]
- Prasad, S.; DuBourdieu, D.; Srivastava, A.; Kumar, P.; Lall, R. Metal-Curcumin Complexes in Therapeutics: An Approach to Enhance Pharmacological Effects of Curcumin. Int. J. Mol. Sci. 2021, 22, 7094. [Google Scholar] [CrossRef] [PubMed]
- Dhar, S.; Bhattacharjee, P. Promising role of curcumin against viral diseases emphasizing COVID-19 management: A review on the mechanistic insights with reference to host-pathogen interaction and immunomodulation. J. Funct. Foods 2021, 82, 104503. [Google Scholar] [CrossRef]
- Parikh, A.; Parikh, H.; Parikh, K. (Eds.) Williamson Ether Synthesis. In Name Reactions in Organic Synthesis; Foundation Books: New Delhi, India, 2006; pp. 430–434. [Google Scholar]
- Lu, K.-Q.; Li, Y.-H.; Tang, Z.-R.; Xu, Y.-J. Roles of Graphene Oxide in Heterogeneous Photocatalysis. ACS Mater. Au 2021, 1, 37–54. [Google Scholar] [CrossRef] [PubMed]
- Baranová, Z.; Amini, H.; Neupane, M.; Garrett, S.C.; Ehnbom, A.; Bhuvanesh, N.; Reibenspies, J.H.; Gladysz, J.A. Syntheses, Structural Studies, and Copper Iodide Complexes of Macrocycles Derived from Williamson Ether Syntheses Involving 2, 9-Bis (4-hydroxyphenyl)-1, 10-phenanthroline, α, ω-Dibromides, and Resorcinol or 2, 7-Dihydroxynaphthalene. Aust. J. Chem. 2016, 70, 373–386. [Google Scholar] [CrossRef]
- Bresciani, G.; Biancalana, L.; Pampaloni, G.; Zacchini, S.; Ciancaleoni, G.; Marchetti, F. A comprehensive analysis of the metal–nitrile bonding in an organo-diiron system. Molecules 2021, 26, 7088. [Google Scholar] [CrossRef] [PubMed]
- Wong, K.C. Review of Spectrometric Identification of Organic Compounds, 8th edition. J. Chem. Educ. 2015, 92, 1602–1603. [Google Scholar] [CrossRef]
- Călinescu, M.; Fiastru, M.; Bala, D.; Mihailciuc, C.; Negreanu-Pîrjol, T.; Jurcă, B. Synthesis, characterization, electrochemical behavior and antioxidant activity of new copper(II) coordination compounds with curcumin derivatives. J. Saudi Chem. Soc. 2019, 23, 817–827. [Google Scholar] [CrossRef]
- Malik, S.; Mondal, U.; Jana, N.C.; Banerjee, P.; Saha, A. Using eugenol scaffold to explore the explosive sensing properties of Cd(ii)-based coordination polymers: Experimental studies and real sample analysis. Dalton Trans. 2024, 53, 12995–13011. [Google Scholar] [CrossRef]
- Kumar, A.; Singh, B. Synthesis and Characterization of Transition Metal Complexes along with their Antibacterial Activities. Int. J. Curr. Eng. Technol. 2014, 4, 1950–1954. [Google Scholar]
- Mohammed, E.H.; AlSultan, M.; Alasalli, S.M.; Sabah, A.A. Syntheses, Characterization and Thermal Stability Study of New Co (II), Cu (II) AND Zn (II) Complexes Deviates from Schiff Base 4-(Dimethylamino) Benzaldehyde. Kim. Probl. 2025, 23, 395–406. [Google Scholar] [CrossRef]
- Abdulkarem, A.A. Synthesis and antibacterial studies of metal complexes of Cu (II), Ni (II) and Co (II) with tetradentate ligand. J. Biophys. Chem. 2017, 8, 13. [Google Scholar] [CrossRef][Green Version]
- Kumar, S.; Dhar, D.N.; Saxena, P.N. Applications of metal complexes of Schiff bases—A review. J. Sci. Ind. Res. 2009, 68, 181–187. [Google Scholar][Green Version]
- Wang, X.-q.; He, M.-h.; Wang, Q. Synthesis of Escitalopram Oxalate. Chin. Pharm. J. 2009, 44, 1429–1431. [Google Scholar][Green Version]
- Tahay, P.; Parsa, Z.; Zamani, P.; Safari, N. A structural and optical study of curcumin and curcumin analogs. J. Iran. Chem. Soc. 2022, 19, 3177–3188. [Google Scholar] [CrossRef]
- Poorghorban, M.; Karoyo, A.H.; Grochulski, P.; Verrall, R.E.; Wilson, L.D.; Badea, I. A 1H NMR Study of Host/Guest Supramolecular Complexes of a Curcumin Analogue with β-Cyclodextrin and a β-Cyclodextrin-Conjugated Gemini Surfactant. Mol. Pharm. 2015, 12, 2993–3006. [Google Scholar] [CrossRef]
- Ibrahim, F.; Hammza, R.; Fadhil, D. Synthesis and characterization of Trimethoprim metal complexes used as corrosion inhibitors for carbon steel in acid media. Int. J. Corros. Scale Inhib. 2019, 8, 733–742. [Google Scholar] [CrossRef]
- Mustafa, N.A.; Ahmed, S.A. Design, synthesis, characterization, DFT, molecular docking, and in vitro screening of metal chelates incorporating Schiff base. Bull. Chem. Soc. Ethiop. 2024, 38, 1625–1638. [Google Scholar] [CrossRef]
- Mohammed, B.A.-K.; Ahmed, S.A.; Al-Healy, F. Design, characterizations, DFT, molecular docking and antibacterial studies of some complexes derived from 4-aminpantipyrine with glycine amino acid and ligand. Bull. Chem. Soc. Ethiop. 2024, 38, 1609–1624. [Google Scholar] [CrossRef]
- Al Quaba, R.A. Synthesis, Characterization, DFT and Antibacterial, Azo Ligand Derived From 2-Amino pyrimidine with Antipyrine Mixed ligand Complexes involving 1,10-phenanthroline. J. Phys. Conf. Ser. 2021, 1999, 012008. [Google Scholar]
- Tegegn, D.F.; Belachew, H.Z.; Salau, A.O. DFT/TDDFT calculations of geometry optimization, electronic structure and spectral properties of clevudine and telbivudine for treatment of chronic hepatitis B. Sci. Rep. 2024, 14, 8146. [Google Scholar] [CrossRef]
- Prabakaran, A.; Maheswari, C.U.; Issaoui, N.; Al-Dossary, O.M.; Rajamani, T.; Gnanasambandan, T.; Saravanan, P.; Vimalan, M.; Manikandan, A. Computational insight into the spectroscopic and molecular docking analysis of estrogen receptor with ligand 2, 3-dimethyl-N [2-(hydroxy) benzylidene] aniline. J. King Saud Univ. Sci. 2024, 36, 103196. [Google Scholar] [CrossRef]
- Zhang, L.; Xie, R.; Zhao, W.; Ren, T.; Wang, Q.; Wang, W. Coumarin-Based Arylpyrazolines: Highly Selective Cu2+ Fluorescent Probes and their AIEE and MFC Properties. J. Fluoresc. 2025, 1–12. [Google Scholar] [CrossRef] [PubMed]









| Sample | ν(N–H) | ν(C≡N) | ν(C=O) | ν(C–N) | ν(C–O–C) | ν(C=C) (Aryl) | ν(M–N) | ν(M–O) |
|---|---|---|---|---|---|---|---|---|
| L1 | 3339 | 2227 | 1589 | 1368 | 1105 | 1640 | — | — |
| L2 | 2963 | — | 1642 | 1363 | 1100 | 1642 | — | — |
| [Co(L1)Cl]Cl | 2963 | — | 1555 | 1421 | 1106 | 1614 | 522 | 553 |
| [Ni(L1)Cl]Cl | 2901 | — | 1574 | 1376 | 1108 | 1552 | 463 | 556 |
| [Mn(L1)Cl]Cl | 2902 | — | 1505 | 1417 | 1105 | 1663 | 447 | 557 |
| [Cu(L1)Cl]Cl | 2995 | — | 1516 | 1409 | 1103 | 1644 | 494 | 558 |
| [Co(L2)Cl] | 3334 | 2196 | 1515 | 1410 | 1105 | 1643 | 491 | 554 |
| [Ni(L2)Cl] | 3333 | 2205 | 1516 | 1419 | 1104 | 1625 | 524 | 565 |
| [Mn(L2)Cl] | 3335 | 2212 | 1559 | 1406 | 1106 | 1642 | 526 | 571 |
| [Cu(L2)Cl] | 3332 | 2185 | 1509 | 1419 | 1105 | 1636 | 491 | 572 |
| Compound | Colour | Yield | M.P (°C) | Conductivity (Ω−1 cm2·mol−1) | μeff (B.M) | Found (Calc.) % | |||
|---|---|---|---|---|---|---|---|---|---|
| C | H | N | M | ||||||
| ESC | white | - | 150 | - | - | 73.98 | 6.47 | 8.63 | - |
| CUR | yellow | - | 183 | - | - | 68.4 | 5.42 | - | - |
| EUG | colourless | - | liquid | - | - | 73.17 | 7.31 | - | - |
| L1 | yellow | 71% | 218 | - | - | 74.4 (73.9) | 6.21 (6.6) | 6.67 (6.35) | - |
| L2 | Off-white | 73% | 223 | - | - | 74.6 (77.9) | 6.65 (6.9) | 6.16 (5.8) | - |
| [Co(L1)Cl]Cl | green | 82% | 240 °C | 25 | 5.10 | 67.84 (66.9) | 5.84 (5.78) | 5.45 (5.5) | 11.48 (11.5) |
| [Ni(L1)Cl]Cl | green | 81% | 280 °C | 29 | 3.31 | 67.87 (66.98) | 5.85 (5.80) | 5.46 (5.49) | 11.44 11.00) |
| [Mn(L1)Cl]Cl | brown | 88% | 268 °C | 32 | 3.98 | (68.36) (67.90) | 5.89 (5.77) | 5.50 (5.48) | 10.80 (10.35) |
| [Cu(L1)Cl]Cl | Brown | 75% | 257 °C | 28 | 2.80 | 67.24 (66.89) | 5.79 (5.93) | 5.41 (5.22) | 12.27 (12.98) |
| [Co(L2)Cl] | Blue | 68% | 184 °C | 8 | 5.10 | 65.60 (64.93) | 5.33 (5.29) | 3.73 (2.89) | 7.85 (7.88) |
| [Ni(L2)Cl] | green | 75% | 209 °C | 7 | 3.38 | 65.62 (66.09) | 5.33 (5.41) | 3.73 (2.91) | 7.82 (7.66) |
| [Mn(L2)Cl] | Brown | 84% | 186 °C | 11 | 3.98 | 65.95 (65.44) | 5.36 (5.78) | 3.75 (2.89) | 7.37 (6.89) |
| [Cu(L2)Cl] | green | 79% | 192 °C | 10 | 2.80 | 65.20 (64.87) | 5.30 (5.26) | 3.71 (3.65) | 8.41 (8.36) |
| Complexes | Conc. mg/mL | Escherichia coli St = 24 | Staphylococcus aureus St = 25 | Candida albicans St = 21 |
|---|---|---|---|---|
| [Cu(L1)Cl] | 100 | 16.5 | 23 | 13 |
| 50 | 12.5 | 18.5 | 9 | |
| 25 | R | 14.5 | R | |
| 12.5 | R | R | R | |
| [Cu(L2)Cl] | 100 | 17.5 | 24 | 14 |
| 50 | 13.5 | 19.5 | 10 | |
| 25 | R | 15.5 | R | |
| 12.5 | R | R | R | |
| [Ni(L1)Cl] | 100 | 11.5 | 15 | 15 |
| 50 | R | 12.5 | R | |
| 25 | R | R | R | |
| 12.5 | R | R | R | |
| [Ni(L2)Cl] | 100 | 12.5 | 16 | 16 |
| 50 | R | 13.5 | R | |
| 25 | R | R | R | |
| 12.5 | R | R | R | |
| [Mn(L1)Cl] | 100 | R | R | R |
| 50 | R | R | R | |
| 25 | R | R | R | |
| 12.5 | R | R | R | |
| [Mn(L2)Cl] | 100 | R | R | R |
| 50 | R | R | R | |
| 25 | R | R | R | |
| 12.5 | R | R | R | |
| [Co(L1)Cl] | 100 | 17.5 | 32.5 | 26.1 |
| 50 | 13 | 28.2 | 21 | |
| 25 | 10.5 | 21 | 13 | |
| 12.5 | R | 17 | R | |
| [Co(L2)Cl] | 100 | 19.5 | 31.5 | 25 |
| 50 | 14 | 27.2 | 20 | |
| 25 | 11 | 20 | 12 | |
| 12.5 | R | 16 | R | |
| L1 | 100 | R | R | 12.5 |
| 50 | R | R | 10.5 | |
| 25 | R | R | R | |
| 12.5 | R | R | R | |
| L2 | 100 | R | R | 11.5 |
| 50 | R | R | 11 | |
| 25 | R | R | R | |
| 12.5 | R | R | R |
| Compound | EHOMO (eV) | ELUMO (eV) | ΔE (eV) | µ (Debye) | χ (eV) | η (eV) | σ (eV) | ω (eV) | ΔNmax |
|---|---|---|---|---|---|---|---|---|---|
| L1 | −5.429 | −1.285 | 4.144 | −3.357 | −3.357 | 2.072 | 0.241 | 2.719 | 2.551 |
| Mn(II)-complex | −5.533 | −1.360 | 4.173 | −3.446 | − 3.446 | 2.086 | 0.240 | 2.847 | 1.652 |
| Co(II)-complex | −6.130 | −2.350 | 3.780 | −4.780 | −4.240 | 1.880 | 0.520 | 4.763 | 2.246 |
| L2 | −5.641 | −1.473 | 4.168 | −3.557 | −3.557 | 2.084 | 0.240 | 3.036 | 1.620 |
| Mn(II)-complex | −5.627 | −1.460 | 4.167 | −3.544 | −3.544 | 2.082 | 0.240 | 3.013 | 1.652 |
| Co(II)-complex | −5.831 | −2.547 | 3.284 | −4.189 | −4.189 | 1.642 | 0.305 | 5.343 | 1.701 |
Disclaimer/Publisher’s Note: The statements, opinions and data contained in all publications are solely those of the individual author(s) and contributor(s) and not of MDPI and/or the editor(s). MDPI and/or the editor(s) disclaim responsibility for any injury to people or property resulting from any ideas, methods, instructions or products referred to in the content. |
© 2025 by the authors. Licensee MDPI, Basel, Switzerland. This article is an open access article distributed under the terms and conditions of the Creative Commons Attribution (CC BY) license (https://creativecommons.org/licenses/by/4.0/).
Share and Cite
Mohammed, E.H.; Mohammed, E.R.; Yahya, E.M.; Alsultan, M. Synthesis, Characterisation, DFT Study and Biological Evaluation of Complexes Derived from Transition Metal and Mixed Ligands. Inorganics 2025, 13, 334. https://doi.org/10.3390/inorganics13100334
Mohammed EH, Mohammed ER, Yahya EM, Alsultan M. Synthesis, Characterisation, DFT Study and Biological Evaluation of Complexes Derived from Transition Metal and Mixed Ligands. Inorganics. 2025; 13(10):334. https://doi.org/10.3390/inorganics13100334
Chicago/Turabian StyleMohammed, Enas H., Eman R. Mohammed, Eman M. Yahya, and Mohammed Alsultan. 2025. "Synthesis, Characterisation, DFT Study and Biological Evaluation of Complexes Derived from Transition Metal and Mixed Ligands" Inorganics 13, no. 10: 334. https://doi.org/10.3390/inorganics13100334
APA StyleMohammed, E. H., Mohammed, E. R., Yahya, E. M., & Alsultan, M. (2025). Synthesis, Characterisation, DFT Study and Biological Evaluation of Complexes Derived from Transition Metal and Mixed Ligands. Inorganics, 13(10), 334. https://doi.org/10.3390/inorganics13100334

