The Origin of Synergetic Effect in Mixed Mn-Co Oxide with Spinel Structure for Catalytic Oxidation of CO
Abstract
1. Introduction
2. Results
2.1. Catalytic Activity
2.2. Structural and Microstructural Properties
2.3. EXAFS
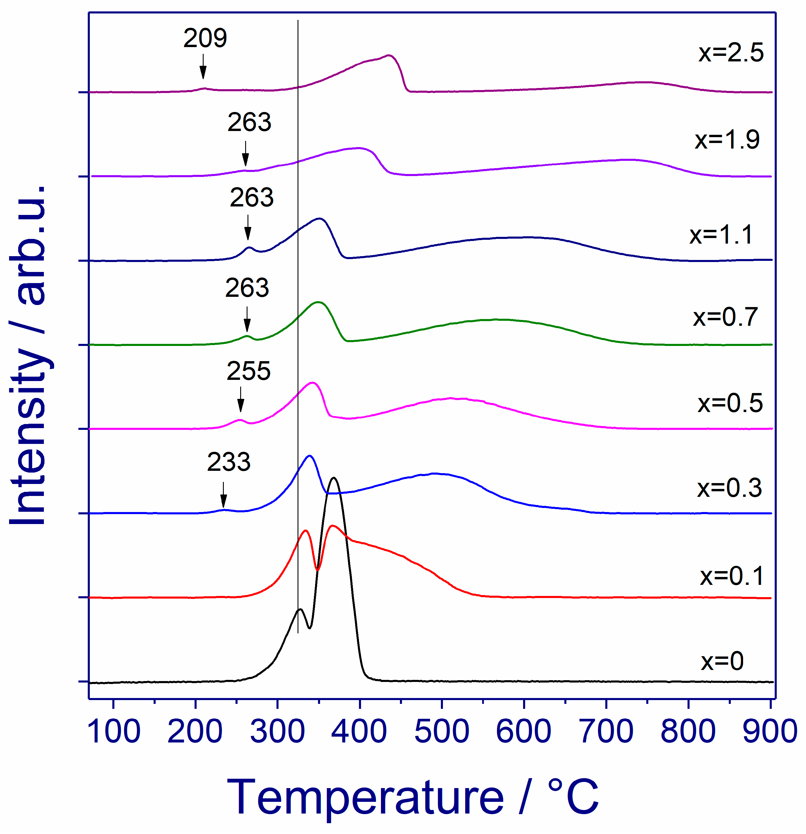
2.4. Catalyst Reducibility
2.5. XPS
3. Discussion
4. Materials and Methods
4.1. Catalyst Preparation
4.2. Catalyst Characterization
4.3. Catalytic Tests
5. Conclusions
Supplementary Materials
Author Contributions
Funding
Data Availability Statement
Acknowledgments
Conflicts of Interest
References
- Royer, S.; Duprez, D. Catalytic Oxidation of Carbon Monoxide over Transition Metal Oxides. ChemCatChem 2011, 3, 24–65. [Google Scholar] [CrossRef]
- Shen, Z.; Xing, X.; Wang, S.; Ren, S.; Lv, M.; Zheng, Z.; Jiang, X. Removal of CO in Flue Gas by Catalytic Oxidation: A Review. Z. Für Phys. Chem. 2024, 238, 1207–1265. [Google Scholar] [CrossRef]
- Shi, J. On the Synergetic Catalytic Effect in Heterogeneous Nanocomposite Catalysts. Chem. Rev. 2013, 113, 2139–2181. [Google Scholar] [CrossRef]
- Zhou, X.; Fang, S.; Zhang, T.; Wu, Z.; Li, J.; Wang, W.; Zhu, J.; Wu, J.; Ye, D.; Han, R.; et al. Unveiling the Mechanistic Synergy in Mn-Doped NiO Catalysts with Atomic-Burry Structure: Enhanced CO Oxidation via Ni-OH and Mn Bifunctionality. Sep. Purif. Technol. 2025, 354, 129330. [Google Scholar] [CrossRef]
- Aukrust, E.; Muan, A. Phase Relations in the System Cobalt Oxide–Manganese Oxide in Air. J. Am. Ceram. Soc. 1963, 46, 511. [Google Scholar] [CrossRef]
- Zhang, X.; Junhui, Y.; Jing, Y.; Ting, C.; Bei, X.; Zhe, L.; Kunfeng, Z.; Ling, Y.; Dannong, H. Excellent Low-Temperature Catalytic Performance of Nanosheet Co-Mn Oxides for Total Benzene Oxidation. Appl. Catal. A Gen. 2018, 566, 104–112. [Google Scholar] [CrossRef]
- Tang, W.; Wu, X.; Li, S.; Li, W.; Chen, Y. Porous Mn–Co Mixed Oxide Nanorod as a Novel Catalyst with Enhanced Catalytic Activity for Removal of VOCs. Catal. Commun. 2014, 56, 134–138. [Google Scholar] [CrossRef]
- Qu, Z.; Gao, K.; Fu, Q.; Qin, Y. Low-Temperature Catalytic Oxidation of Toluene over Nanocrystal-like Mn–Co Oxides Prepared by Two-Step Hydrothermal Method. Catal. Commun. 2014, 52, 31–35. [Google Scholar] [CrossRef]
- Aguilera, D.A.; Perez, A.; Molina, R.; Moreno, S. Cu–Mn and Co–Mn Catalysts Synthesized from Hydrotalcites and Their Use in the Oxidation of VOCs. Appl. Catal. B Environ. 2011, 104, 144–150. [Google Scholar] [CrossRef]
- Tang, W.; Li, W.; Li, D.; Liu, G.; Wu, X.; Chen, Y. Synergistic Effects in Porous Mn–Co Mixed Oxide Nanorods Enhance Catalytic Deep Oxidation of Benzene. Catal. Lett. 2014, 144, 1900–1910. [Google Scholar] [CrossRef]
- Tannous, M.; Bounoukta, C.E.; Siffert, S.; Poupin, C.; Cousin, R. Total Catalytic Oxidation of Ethanol over MnCoAl Mixed Oxides Derived from Layered Double Hydroxides: Effect of the Metal Ratio and the Synthesis Atmosphere Conditions. Catalysts 2023, 13, 1316. [Google Scholar] [CrossRef]
- Faure, B.; Alphonse, P. Co–Mn-Oxide Spinel Catalysts for CO and Propane Oxidation at Mild Temperature. Appl. Catal. B Environ. 2016, 180, 715–725. [Google Scholar] [CrossRef]
- Liu, C.; Gong, L.; Dai, R.; Lu, M.; Sun, T.; Liu, Q.; Huang, X.; Huang, Z. Mesoporous Mn Promoted Co3O4 Oxides as an Efficient and Stable Catalyst for Low Temperature Oxidation of CO. Solid. State Sci. 2017, 71, 69–74. [Google Scholar] [CrossRef]
- Bulavchenko, O.A.; Afonasenko, T.N.; Sigaeva, S.S.; Ivanchikova, A.V.; Saraev, A.A.; Gerasimov, E.Y.; Kaichev, V.V.; Tsybulya, S.V. The Structure of Mixed Mn–Co Oxide Catalysts for CO Oxidation. Top. Catal. 2020, 63, 75–85. [Google Scholar] [CrossRef]
- Frey, K.; Iablokov, V.; Sáfrán, G.; Osán, J.; Sajó, I.; Szukiewicz, R.; Chenakin, S.; Kruse, N. Nanostructured MnOx as Highly Active Catalyst for CO Oxidation. J. Catal. 2012, 287, 30–36. [Google Scholar] [CrossRef]
- Iablokov, V.; Frey, K.; Geszti, O.; Kruse, N. High Catalytic Activity in CO Oxidation over MnO x Nanocrystals. Catal. Lett. 2010, 134, 210–216. [Google Scholar] [CrossRef]
- Bulavchenko, O.A.; Afonasenko, T.N.; Osipov, A.R.; Pochtar, A.A.; Saraev, A.A.; Gerasimov, E.Y. The Formation of Mn-Ce Oxide Catalysts for CO Oxidation by Oxalate Route: The Role of Annealing Conditions. Catal. Lett. 2021, 151, 2906–2918. [Google Scholar] [CrossRef]
- Shannon, R.D. Revised Effective Ionic Radii and Systematic Studies of Interatomic Distances in Halides and Chalcogenides. Acta Cryst. A 1976, 32, 751–767. [Google Scholar] [CrossRef]
- Bulavchenko, O.A.; Cherepanova, S.V.; Malakhov, V.V.; Dovlitova, L.S.; Ishchenko, A.V.; Tsybulya, S.V. In Situ XRD Study of Nanocrystalline Cobalt Oxide Reduction. Kinet. Catal. 2009, 50, 192–198. [Google Scholar] [CrossRef]
- Sexton, B. An XPS and TPR Study of the Reduction of Promoted Cobalt-Kieselguhr Fischer-Tropsch Catalysts. J. Catal. 1986, 97, 390–406. [Google Scholar] [CrossRef]
- Bulavchenko, O.A.; Afonasenko, T.N.; Ivanchikova, A.V.; Murzin, V.Y.; Kremneva, A.M.; Saraev, A.A.; Kaichev, V.V.; Tsybulya, S.V. In Situ Study of Reduction of Mnx C 3– x O4 Mixed Oxides: The Role of Manganese Content. Inorg. Chem. 2021, 60, 16518–16528. [Google Scholar] [CrossRef] [PubMed]
- Bulavchenko, O.A.; Gerasimov, E.Y.; Afonasenko, T.N. Reduction of Double Manganese–Cobalt Oxides: In Situ XRD and TPR Study. Dalton Trans. 2018, 47, 17153–17159. [Google Scholar] [CrossRef] [PubMed]
- Arena, F.; Torre, T.; Raimondo, C.; Parmaliana, A. Structure and Redox Properties of Bulk and Supported Manganese Oxide Catalysts. Phys. Chem. Chem. Phys. 2001, 3, 1911–1917. [Google Scholar] [CrossRef]
- Bulavchenko, O.A.; Konovalova, V.P.; Saraev, A.A.; Kremneva, A.M.; Rogov, V.A.; Gerasimov, E.Y.; Afonasenko, T.N. The Catalytic Performance of CO Oxidation over MnOx-ZrO2 Catalysts: The Role of Synthetic Routes. Catalysts 2022, 13, 57. [Google Scholar] [CrossRef]
- Di Castro, V.; Polzonetti, G. XPS Study of MnO Oxidation. J. Electron. Spectrosc. Relat. Phenom. 1989, 48, 117–123. [Google Scholar] [CrossRef]
- Feng, X.; Cox, D.F. Na Deposition on MnO(100). Surf. Sci. 2016, 645, 23–29. [Google Scholar] [CrossRef]
- Han, Y.-F.; Chen, F.; Zhong, Z.; Ramesh, K.; Chen, L.; Widjaja, E. Controlled Synthesis, Characterization, and Catalytic Properties of Mn2O3 and Mn3O4 Nanoparticles Supported on Mesoporous Silica SBA-15. J. Phys. Chem. B 2006, 110, 24450–24456. [Google Scholar] [CrossRef]
- Ilton, E.S.; Post, J.E.; Heaney, P.J.; Ling, F.T.; Kerisit, S.N. XPS Determination of Mn Oxidation States in Mn (Hydr)Oxides. Appl. Surf. Sci. 2016, 366, 475–485. [Google Scholar] [CrossRef]
- Murray, J.W.; Dillard, J.G.; Giovanoli, R.; Moers, H.; Stumm, W. Oxidation of Mn(II): Initial Mineralogy, Oxidation State and Ageing. Geochim. Cosmochim. Acta 1985, 49, 463–470. [Google Scholar] [CrossRef]
- Biesinger, M.C.; Payne, B.P.; Grosvenor, A.P.; Lau, L.W.M.; Gerson, A.R.; Smart, R.S.C. Resolving Surface Chemical States in XPS Analysis of First Row Transition Metals, Oxides and Hydroxides: Cr, Mn, Fe, Co and Ni. Appl. Surf. Sci. 2011, 257, 2717–2730. [Google Scholar] [CrossRef]
- Vaz, C.A.F.; Prabhakaran, D.; Altman, E.I.; Henrich, V.E. Experimental Study of the Interfacial Cobalt Oxide in Co3O4/α − Al2O3 (0001) Epitaxial Films. Phys. Rev. B 2009, 80, 155457. [Google Scholar] [CrossRef]
- Chuang, T.J.; Brundle, C.R.; Rice, D.W. Interpretation of the X-Ray Photoemission Spectra of Cobalt Oxides and Cobalt Oxide Surfaces. Surf. Sci. 1976, 59, 413–429. [Google Scholar] [CrossRef]
- Lukashuk, L.; Föttinger, K.; Kolar, E.; Rameshan, C.; Teschner, D.; Hävecker, M.; Knop-Gericke, A.; Yigit, N.; Li, H.; McDermott, E.; et al. Operando XAS and NAP-XPS Studies of Preferential CO Oxidation on Co3O4 and CeO2-Co3O4 Catalysts. J. Catal. 2016, 344, 1–15. [Google Scholar] [CrossRef]
- Liang, Y.; Wang, H.; Zhou, J.; Li, Y.; Wang, J.; Regier, T.; Dai, H. Covalent Hybrid of Spinel Manganese–Cobalt Oxide and Graphene as Advanced Oxygen Reduction Electrocatalysts. J. Am. Chem. Soc. 2012, 134, 3517–3523. [Google Scholar] [CrossRef] [PubMed]
- Bordeneuve, H.; Tenailleau, C.; Guillemet-Fritsch, S.; Smith, R.; Suard, E.; Rousset, A. Structural Variations and Cation Distributions in Mn3−xCoxO4 (0≤x≤3) Dense Ceramics Using Neutron Diffraction Data. Solid. State Sci. 2010, 12, 379–386. [Google Scholar] [CrossRef]
- Mitran, G.; Chen, S.; Seo, D.-K. Role of Oxygen Vacancies and Mn4+/Mn3+ Ratio in Oxidation and Dry Reforming over Cobalt-Manganese Spinel Oxides. Mol. Catal. 2020, 483, 110704. [Google Scholar] [CrossRef]
- Omata, K.; Takada, T.; Kasahara, S.; Yamada, M. Active Site of Substituted Cobalt Spinel Oxide for Selective Oxidation of COH2. Part II. Appl. Catal. A Gen. 1996, 146, 255–267. [Google Scholar] [CrossRef]
- Xie, X.; Li, Y.; Liu, Z.-Q.; Haruta, M.; Shen, W. Low-Temperature Oxidation of CO Catalysed by Co3O4 Nanorods. Nature 2009, 458, 746–749. [Google Scholar] [CrossRef] [PubMed]
- Ravel, B.; Newville, M. ATHENA, ARTEMIS, HEPHAESTUS: Data Analysis for X-Ray Absorption Spectroscopy Using IFEFFIT. J. Synchrotron Rad. 2005, 12, 537–541. [Google Scholar] [CrossRef]
- Newville, M. EXAFS Analysis Using FEFF and FEFFIT. J. Synchrotron Rad. 2001, 8, 96–100. [Google Scholar] [CrossRef]
- Scofield, J.H. Hartree-Slater Subshell Photoionization Cross-Sections at 1254 and 1487 eV. J. Electron Spectrosc. Relat. Phenom. 1976, 8, 129–137. [Google Scholar] [CrossRef]
- Shirley, D.A. High-Resolution X-Ray Photoemission Spectrum of the Valence Bands of Gold. Phys. Rev. B 1972, 5, 4709–4714. [Google Scholar] [CrossRef]






| Catalysts | Phase Composition, wt % | Lattice Parameter, Å | Crystal Size, Å | e0, % | S, m2/g |
|---|---|---|---|---|---|
| Co3O4 | 100% Co3O4 (cubic) | 8.084 (2) | 550 (70) | 0.14 (2) | 25 |
| Mn0.1Co2.9 | 100% MnxCo3-xO4 (cubic) | 8.092 (1) | 220 (10) | 0.12 (1) | 26 |
| Mn0.3Co2.7 | 100% MnxCo3-xO4 (cubic) | 8.104 (1) | 160 (10) | 0.17 (2) | 27 |
| Mn0.5Co2.5 | 100% MnxCo3-xO4 (cubic) | 8.113 (1) | 170 (20) | 0.26 (2) | 29 |
| Mn0.7Co2.3 | 100% MnxCo3-xO4 (cubic) | 8.154 (1) | 140 (10) | 0.35 (2) | 46 |
| Mn1.1Co1.9 | 100% MnxCo3-xO4 (cubic) | 8.191 (1) | 120 (10) | 0.36 (2) | 44 |
| Mn1.9Co1.1 | 96% MnxCo3-xO4 (tetragonal) 4% CoMnO3. | 5.730 (1) 9.260(2) - | 240 (60) 230 (50) | 0.17 (2) - | 48 |
| Mn2.5Co0.5 | 100% MnxCo3-xO4 (tetragonal) | 5.741 (1) 9.341 (1) | 260 (10) | 0.10(1) | 21 |
| MnOx | 55% Mn3O4 35% Mn5O8 10% Mn2O3 | - | 250 (30) 80 (10) 250 (20) | - | 21 |
| Catalyst | x = 1.1 | x = 0.7 | x = 0.3 | x = 0.1 | Co3O4 | |||||
|---|---|---|---|---|---|---|---|---|---|---|
| Co K-Edge Shell | CN | R, Å | CN | R, Å | CN | R, Å | CN | R, Å | CN | R, Å |
| CoTd-O | 1.3 | 1.893 | ||||||||
| CoOh- O | 4.2 | 1.932 | 4.8 | 1.931 | 4.6 | 1.928 | 5.0 | 1.903 | 4.0 | 1.942 |
| CoOh-Co/MnOh | 4.3 | 2.883 | 5.5 | 2.885 | 6.5 | 2.880 | 7.5 | 2.873 | 4.0 | 2.858 |
| CoOh-CoTd | 4.2 | 3.420 | 5.0 | 3.408 | 5.0 | 3.391 | 8.7 | 3.347 | 8.0 | 3.352 |
| CoTd-O | 3.1 | 3.296 | 3.1 | 3.280 | 2.8 | 3.267 | 5.8 | 3.264 | 5.3 | 3.374 |
| CoOh-Mn | 1.5 | 3.050 | 2.3 | 3.074 | 3.4 | 3.070 | 6.3 | 3.107 | – | – |
| Mn K-edge Shell | CN | R, Å | CN | R, Å | CN | R, Å | CN | R, Å | CN | R, Å |
| MnOh-O | 2.7 | 1.908 | 2.8 | 1.913 | 1.8 | 1.870 | 1.8 | 1.912 | 6 | 1.942 |
| MnOh-O | 0.8 | 2.009 | 0.8 | 2.001 | 1.9 | 1.980 | 1.5 | 2.007 | – | – |
| MnOh-Mn/CoOh | 3.8 | 2.924 | 4.4 | 2.922 | 3.8 | 2.903 | 4.8 | 2.884 | 6 | 2.858 |
| MnOh-CoTd | 3.4 | 3.420 | 3.2 | 3.408 | 2.9 | 3.391 | 4.6 | 3.385 | 6 | 3.352 |
| MnOh-O | 4.6 | 3.581 | 3.8 | 3.583 | 3.2 | 3.556 | 4.5 | 3.533 | 6 | 3.551 |
| σ2(M-O), Å2 | 0.00386 | 0.00464 | 0.00240 | 0.00250 | ||||||
| σ2(M-M), Å2 | 0.00566 | 0.00646 | 0.00476 | 0.00577 | ||||||
| R-factor, % | 1.16 | 1.25 | 1.88 | 3.43 | – | – | ||||
| Catalyst | Mn2p3/2 | Co2p3/2 | [Mn]/ [Co + Mn] | ∆Mn3s, eV | |||
|---|---|---|---|---|---|---|---|
| Mn2+, eV (%) | Mn3+, eV (%) | Mn4+, eV (%) | Co2+, eV (%) | Co3+, eV (%) | |||
| Co3O4 | - | - | - | 780.5 (45%) | 779.6 (56%) | 0.00 | - |
| Mn0.1Co2.9 | 640.1 (57%) | 641.6 (40%) | 642.6 (3%) | 780.5 (37%) | 779.5 (63%) | 0.07 | - |
| Mn0.3Co2.7 | 640.2 (57%) | 641.5 (40%) | 642.6 (3%) | 780.5 (39%) | 779.5 (61%) | 0.26 | 5.7 |
| Mn0.5Co2.5 | 640.2 (55%) | 641.5 (41%) | 642.6 (3%) | 780.5 (41%) | 779.5 (59%) | 0.37 | 5.4 |
| Mn0.7Co2.3 | 640.2 (51%) | 641.5 (48%) | 642.6 (1%) | 780.5 (38%) | 779.6 (62%) | 0.40 | 5.5 |
| Mn1.1Co1.9 | 640.2 (44%) | 641.5 (56%) | 642.6 (1%) | 780.4 (41%) | 779.5 (59%) | 0.46 | 5.6 |
| Mn1.9Co1.1 | 640.2 (41%) | 641.5 (54%) | 642.6 (5%) | 780.2 (100%) | 779.5 (0%) | 0.70 | 5.5 |
| Mn2.5Co0.5 | 640.1 (15%) | 641.4 (65%) | 642.6 (20%) | 780.5 (100%) | 0.83 | 5.4 | |
| MnOx | 640.2 (40%) | 641.6 (59%) | 642.6 (1%) | - | - | 1.00 | 5.5 |
Disclaimer/Publisher’s Note: The statements, opinions and data contained in all publications are solely those of the individual author(s) and contributor(s) and not of MDPI and/or the editor(s). MDPI and/or the editor(s) disclaim responsibility for any injury to people or property resulting from any ideas, methods, instructions or products referred to in the content. |
© 2024 by the authors. Licensee MDPI, Basel, Switzerland. This article is an open access article distributed under the terms and conditions of the Creative Commons Attribution (CC BY) license (https://creativecommons.org/licenses/by/4.0/).
Share and Cite
Bulavchenko, O.A.; Rogov, V.A.; Gerasimov, E.Y.; Aydakov, E.E.; Kremneva, A.M. The Origin of Synergetic Effect in Mixed Mn-Co Oxide with Spinel Structure for Catalytic Oxidation of CO. Inorganics 2025, 13, 8. https://doi.org/10.3390/inorganics13010008
Bulavchenko OA, Rogov VA, Gerasimov EY, Aydakov EE, Kremneva AM. The Origin of Synergetic Effect in Mixed Mn-Co Oxide with Spinel Structure for Catalytic Oxidation of CO. Inorganics. 2025; 13(1):8. https://doi.org/10.3390/inorganics13010008
Chicago/Turabian StyleBulavchenko, Olga A., Vladimir A. Rogov, Evgeny Yu. Gerasimov, Egor E. Aydakov, and Anna M. Kremneva. 2025. "The Origin of Synergetic Effect in Mixed Mn-Co Oxide with Spinel Structure for Catalytic Oxidation of CO" Inorganics 13, no. 1: 8. https://doi.org/10.3390/inorganics13010008
APA StyleBulavchenko, O. A., Rogov, V. A., Gerasimov, E. Y., Aydakov, E. E., & Kremneva, A. M. (2025). The Origin of Synergetic Effect in Mixed Mn-Co Oxide with Spinel Structure for Catalytic Oxidation of CO. Inorganics, 13(1), 8. https://doi.org/10.3390/inorganics13010008

