Structural Evolution and Hydrogen Sorption Properties of YxNi2−yMny (0.825 ≤ x ≤ 0.95, 0.1 ≤ y ≤ 0.3) Laves Phase Compounds
Abstract
1. Introduction
2. Results
2.1. Structural Characteristics of YxNi2−yMny Compounds
2.2. Hydrogen Sorption Properties
2.2.1. Pressure–Composition Isotherms
2.2.2. X-ray Diffraction Results after Hydrogenation
2.2.3. Structural Evolution upon Dehydrogenation
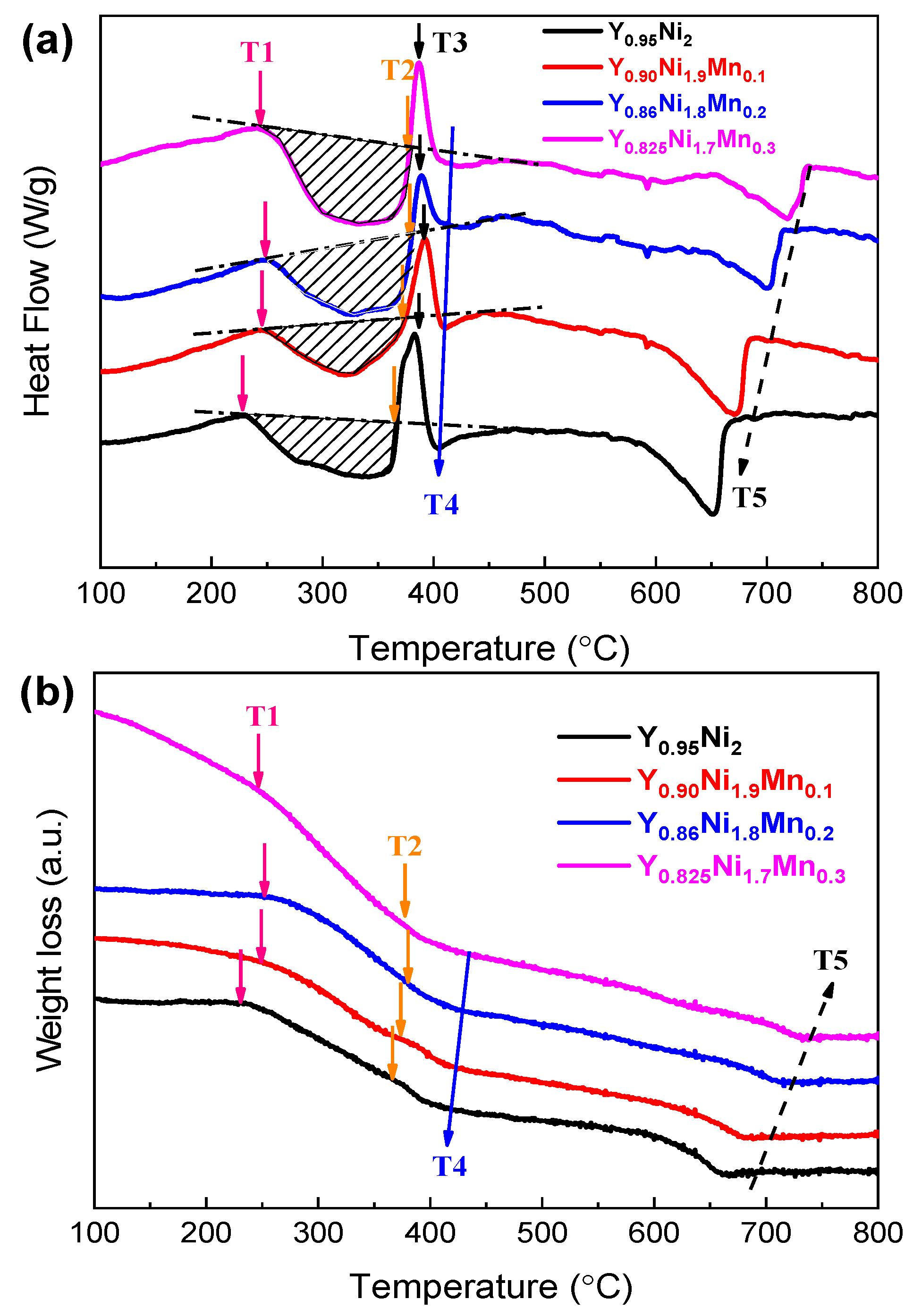
2.3. TG–DSC Studies of the Amorphous Hydrides
3. Discussion
3.1. Mn Substitution Effects on Phase Occurrence and Structures
3.2. Hydrogenation Properties
4. Materials and Methods
5. Conclusions
Author Contributions
Funding
Data Availability Statement
Conflicts of Interest
References
- Rusman, N.A.A.; Dahari, M. A Review on the Current Progress of Metal Hydrides Material for Solid-State Hydrogen Storage Applications. Int. J. Hydrogen Energy 2016, 41, 12108–12126. [Google Scholar] [CrossRef]
- Liang, F.; Lin, J.; Cheng, Y.; Yin, D.; Wu, Y.; Wang, L. Gaseous Sorption and Electrochemical Properties of Rare-Earth Hydrogen Storage Alloys and Their Representative Applications: A Review of Recent Progress. Sci. China Technol. Sci. 2018, 61, 1309–1318. [Google Scholar] [CrossRef]
- Fang, F.; Chen, Z.; Wu, D.; Liu, H.; Dong, C.; Song, Y.; Sun, D. Subunit Volume Control Mechanism for Dehydrogenation Performance of AB3-Type Superlattice Intermetallics. J. Power Sources 2019, 427, 145–153. [Google Scholar] [CrossRef]
- Denys, R.V.; Yartys, V.A.; Webb, C.J. Hydrogen in La2MgNi9D13: The Role of Magnesium. Inorg. Chem. 2012, 51, 4231–4238. [Google Scholar] [CrossRef] [PubMed]
- Liu, J.; Han, S.; Li, Y.; Zhao, X.; Yang, S.; Zhao, Y. Cooperative Effects of Sm and Mg on Electrochemical Performance of La-Mg-Ni-Based Alloys with A2B7- and A5B19-Type Super-Stacking Structure. Int. J. Hydrogen Energy 2015, 40, 1116–1127. [Google Scholar] [CrossRef]
- Liu, J.; Li, Y.; Han, D.; Yang, S.; Chen, X.; Zhang, L.; Han, S. Electrochemical Performance and Capacity Degradation Mechanism of Single-Phase La-Mg-Ni-Based Hydrogen Storage Alloys. J. Power Sources 2015, 300, 77–86. [Google Scholar] [CrossRef]
- Ouyang, L.Z.; Cao, Z.J.; Li, L.L.; Wang, H.; Liu, J.W.; Min, D.; Chen, Y.W.; Xiao, F.M.; Tang, R.H.; Zhu, M. Enhanced High-Rate Discharge Properties of La11.3Mg6.0Sm7.4Ni61.0Co7.2Al7.1 with Added Graphene Synthesized by Plasma Milling. Int. J. Hydrogen Energy 2014, 39, 12765–12772. [Google Scholar] [CrossRef]
- Kadir, K.; Sakai, T.; Uehara, I. Synthesis and Structure Determination of a New Series of Hydrogen Storage Alloys; RMg2Ni9 (R = La, Ce, Pr, Nd, Sm and Gd) Built from MgNi2 Laves-Type Layers Alternating with AB5 Layers. J. Alloys Compd. 1997, 257, 115–121. [Google Scholar] [CrossRef]
- Magee, C.B.; Liu, J.; Lundin, C.E. Relationships between Intermetallic Compound Structure and Hydride Formation. J. Less Common Met. 1980, 78, 119–138. [Google Scholar] [CrossRef]
- Soubeyroux, J.L.; Bououdina, M.; Fruchart, D.; de Rango, P. Phase Stability and Neutron Diffraction Studies of Laves Phases Zr(Cr1−xMx)2 with M = (Cu0.5Ni0.5) and 0 < x < 0.2 and Their Hydrides. J. Alloys Compd. 1995, 231, 760–765. [Google Scholar] [CrossRef]
- Soubeyroux, J.L.; Fruchart, D.; Biris, A.S. Structural Studies of Laves Phases ZrCo(V1−xCrx) with 0 ≤ x ≤ 1 and Their Hydrides. J. Alloys Compd. 1999, 293–295, 88–92. [Google Scholar] [CrossRef]
- Suzuki, A.; Nishimiya, N.; Ono, S. Thermodynamic Properties of Zr(FexMn1−x)2-H2 Systems. J. Less Common Met. 1983, 89, 263–268. [Google Scholar] [CrossRef]
- Wijayanti, I.D.; Denys, R.; Volodin, A.A.; Lototskyy, M.V.; Guzik, M.N.; Nei, J.; Young, K.; Roven, H.J.; Yartys, V. Hydrides of Laves Type Ti–Zr Alloys with Enhanced H Storage Capacity as Advanced Metal Hydride Battery Anodes. J. Alloys Compd. 2020, 828, 154354. [Google Scholar] [CrossRef]
- Zhang, X.; Li, B.; Wang, L.; Xiong, W.; Li, J.; Zhou, S.; Xu, J.; Zhao, Y.; He, X.; Yan, H. Hydrogen Storage Properties of AB2 Type Ti–Zr–Cr–Mn–Fe Based Alloys. Int. J. Hydrogen Energy 2024, 51, 193–201. [Google Scholar] [CrossRef]
- Kandavel, M.; Bhat, V.V.; Rougier, A.; Aymard, L.; Nazri, G.-A.; Tarascon, J.-M. Improvement of Hydrogen Storage Properties of the AB2 Laves Phase Alloys for Automotive Application. Int. J. Hydrogen Energy 2008, 33, 3754–3761. [Google Scholar] [CrossRef]
- Aoki, K.; Li, H.-W.; Dilixiati, M.; Ishikawa, K. Formation of Crystalline and Amorphous Hydrides by Hydrogenation of C15 Laves Phase YFe2. Mater. Sci. Eng. A 2007, 449–451, 2–6. [Google Scholar] [CrossRef]
- Shen, H.; Zhang, J.; Paul-Boncour, V.; Li, P.; Li, Z.; Wu, Y.; Jiang, L. AB2-Type Rare Earth-Based Compounds with C-15 Structure: Looking for Reversible Hydrogen Storage Materials. J. Rare Earths 2023, in press. [CrossRef]
- Latroche, M.; Paul-Boncour, V.; Percheron-Guegan, A. Structural Instability in R1−xNi2 Compounds and Their Hydrides (R = Y, Rare Earth). Z. Für Phys. Chem. 1993, 179, 261–268. [Google Scholar] [CrossRef]
- Paul-Boncour, V.; Lindbaum, A.; Latroche, M.; Heathman, S. Homogeneity Range and Order–Disorder Transitions in R1−xNi2 Laves Phase Compounds. Intermetallics 2006, 14, 483–490. [Google Scholar] [CrossRef]
- Shen, H.; Paul-Boncour, V.; Latroche, M.; Cuevas, F.; Li, P.; Yuan, H.; Li, Z.; Zhang, J.; Jiang, L. Investigation of the Phase Occurrence and H Sorption Properties in the Y33.33Ni66.67-xAlx(0 ≤ x ≤ 33.33) System. J. Alloys Compd. 2021, 888, 161375. [Google Scholar] [CrossRef]
- Paul-Boncour, V.; Percheron-Guegan, A.; Diaf, M.; Achard, J.C. Structural Characterization of RNi2 (R ≡ La, Ce) Intermetallic Compounds and Their Hydrides. J. Less Common Met. 1987, 131, 201–208. [Google Scholar] [CrossRef]
- Zhao, S.; Wang, H.; Liu, J. Exploring the Hydrogen-Induced Amorphization and Hydrogen Storage Reversibility of Y(Sc)0.95Ni2 Laves Phase Compounds. Materials 2021, 14, 276. [Google Scholar] [CrossRef]
- Przewoznik, J.; Paul-Boncour, V.; Latroche, M.; Percheron-Guégan, A. Structural Study of YMn2 Hydrides. J. Alloys Compd. 1995, 225, 436–439. [Google Scholar] [CrossRef]
- Figiel, H.; Przewoznik, J.; Paul-Boncour, V.; Lindbaum, A.; Gratz, E.; Latroche, M.; Escorne, M.; Percheron-Guégan, A.; Mietniowski, P. Hydrogen Induced Phase Transitions in YMn2. J. Alloys Compd. 1998, 274, 29–37. [Google Scholar] [CrossRef]
- Latroche, M.; Paul-Boncour, V.; Percheron-Guégan, A.; Bourée-Vigneron, F. Temperature Dependence Study of YMn2D4.5 by Means of Neutron Powder Diffraction. J. Alloys Compd. 1998, 274, 59–64. [Google Scholar] [CrossRef]
- Paul-Boncour, V.; Filipek, S.M.; Dorogova, M.; Bourée, F.; André, G.; Marchuk, I.; Percheron-Guégan, A.; Liu, R.S. Neutron Diffraction Study, Magnetic Properties and Thermal Stability of YMn2D6 Synthesized under High Deuterium Pressure. J. Solid State Chem. 2005, 178, 356–362. [Google Scholar] [CrossRef]
- Matsuo, M.; Miwa, K.; Semboshi, S.; Li, H.-W.; Kano, M.; Orimo, S. First-Principles Studies of Complex Hydride YMn2H6 and Its Synthesis from Metal Hydride YMn2H4.5. Appl. Phys. Lett. 2011, 98, 221908. [Google Scholar] [CrossRef]
- Suwarno, S.; Dicky, G.; Suyuthi, A.; Effendi, M.; Witantyo, W.; Noerochim, L.; Ismail, M. Machine Learning Analysis of Alloying Element Effects on Hydrogen Storage Properties of AB2 Metal Hydrides. Int. J. Hydrogen Energy 2022, 47, 11938–11947. [Google Scholar] [CrossRef]
- Latroche, M.; Paul-Boncour, V.; Percheron-Guégan, A.; Achard, J.C. Structure Determination of Y0.95Ni2 by X-Ray Powder Diffraction. J. Less Common Met. 1990, 161, L27–L31. [Google Scholar] [CrossRef]
- Shen, H.; Setayandeh, S.S.; Paul-Boncour, V.; Emery, N.; Li, Z.; Li, P.; Yuan, H.; Jiang, L.; Burr, P.A.; Latroche, M.; et al. Experimental and Computational Study on the C15 Phase Structure Stability of YzNi2-yMny System. J. Alloys Compd. 2023, 952, 169632. [Google Scholar] [CrossRef]
- Percheron-Guégan, A.; Paul-Boncour, V.; Latroche, M.; Achard, J.C.; Bourée-Vigneron, F. Structure of Y0.95Ni2 and Its Hydride. J. Less Common Met. 1991, 172–174, 198–205. [Google Scholar] [CrossRef]
- Nakhl, M.; Bobet, J.L.; Chevalier, B.; Darriet, B. Hydrogen Sorption Properties of Composites Mixtures Mg+YNi Submitted to Mechanical Grinding. J. Metastable Nanocrystalline Mater. 2001, 10, 637–642. [Google Scholar] [CrossRef]
- Aoki, K.; Yamamoto, T.; Masumoto, T. Hydrogen Induced Amorphization in RNi2 Laves Phases. Scr. Metall. 1987, 21, 27–31. [Google Scholar] [CrossRef]
- Paul-Boncour, V.; Lartigue, C.; Percheron-Guégan, A.; Achard, J.C.; Pannetier, J. In Situ Neutron Powder Diffraction Measurements of the Absorption and Desorption of Hydrogen (Deuterium) in (La,Ce)Ni2 Compounds: Amorphization and Recrystallization. J. Less Common Met. 1988, 143, 301–313. [Google Scholar] [CrossRef]
- Deutz, A.F.; Helmholdt, R.B.; Moleman, A.C.; De Mooij, D.B.; Buschow, K.H.J. Superstructure in the Intermetallic Compound TmNi2. J. Less Common Met. 1989, 153, 259–266. [Google Scholar] [CrossRef]
- Myakush, O.; Babizhetskyy, V.; Myronenko, P.; Michor, H.; Kotur, B.; Bauer, E. Influence of Doping Elements (Cu and Fe) on the Crystal Structure and Electrical Resistivity of YNi3 and Y0.95Ni2. Chem. Met. Alloys 2011, 4, 152–159. [Google Scholar] [CrossRef]
- Dilixiati, M.; Kanda, K.; Ishikawa, K.; Suzuki, K.; Aoki, K. Thermal Analysis of Hydrogen-Induced Amorphization in C15 Laves RFe2 Compounds. J. Alloys Compd. 2002, 330–332, 743–746. [Google Scholar] [CrossRef]
- Aoki, K.; Dilixiati, M.; Ishikawa, K. Hydrogen-Induced Transformations in C15 Laves Phases CeFe2 and TbFe2 Studied by Pressure Calorimetry up to 5 MPa. J. Alloys Compd. 2003, 356–357, 664–668. [Google Scholar] [CrossRef]
- Aoki, K.; Li, H.-W.; Ishikawa, K. Process and Mechanism of Hydrogen-Induced Amorphization in C15 Laves Phases RFe2. J. Alloys Compd. 2005, 404–406, 559–564. [Google Scholar] [CrossRef]
- Aoki, K.; Masumoto, T. Hydrogen-Induced Amorphization of Intermetallics. J. Alloys Compd. 1995, 231, 20–28. [Google Scholar] [CrossRef]
- Aoki, K.; Li, X.-G.; Masumoto, T. Factors Controlling Hydrogen-Induced Amorphization of C15 Laves Compounds. Acta Metall. Et Mater. 1992, 40, 1717–1726. [Google Scholar] [CrossRef]
- Buschow, K.H.J. Intermetallic Compounds of Rare-Earth and 3d Transition Metals. Rep. Prog. Phys. 1977, 40, 1179–1256. [Google Scholar] [CrossRef]
- Zhu, J.H.; Liu, C.T.; Pike, L.M.; Liaw, P.K. Enthalpies of Formation of Binary Laves Phases. Intermetallics 2002, 10, 579–595. [Google Scholar] [CrossRef]
- Zhu, J.H.; Liu, C.T.; Pike, L.M.; Liaw, P.K. A Thermodynamic Interpretation of the Size-Ratio Limits for Laves Phase Formation. Met. Mat Trans A 1999, 30, 1449–1452. [Google Scholar] [CrossRef]
- Wang, J.L.; Marquina, C.; Ibarra, M.R.; Wu, G.H. Structure and Magnetic Properties of RNi2Mn Compounds (R = Tb, Dy, Ho, and Er). Phys. Rev. B 2006, 73, 094436. [Google Scholar] [CrossRef]
- Mushnikov, N.V.; Gaviko, V.S.; Park, J.; Pirogov, A.N. Crystal and Magnetic Structure of TbNi2Mn. Phys. Rev. B 2009, 79, 184419. [Google Scholar] [CrossRef]
- Mushnikov, N.V.; Gaviko, V.S.; Gerasimov, E.G.; Terentyev, P.B.; Tkach, I.A.; Korolyov, A.V. Magnetic Properties of Non-Stoichiometric RNi2Mnx (R = Tb, Dy) Compounds. Solid State Phenom. 2010, 168–169, 200–203. [Google Scholar] [CrossRef]
- Gerasimov, E.G.; Mushnikov, N.V.; Terentev, P.B.; Gaviko, V.S.; Inishev, A.A. Magnetic Properties of the Off-Stoichiometric GdNi2Mnx Alloys. J. Alloys Compd. 2013, 571, 132–137. [Google Scholar] [CrossRef]
- Korotin, M.A.; Skorikov, N.A.; Efremov, A.V.; Shorikov, A.O. Influence of the Rare-Earth Site Nonstoichiometry and Mn Doping on the Electronic Structure of TbNi2. J. Magn. Magn. Mater. 2016, 397, 115–119. [Google Scholar] [CrossRef]
- Eyring, L.; Gschneidner, K.A. Handbook on the Physics and Chemistry of Rare Earths; North-Holland Sole Distributors for the U.S.A. and Canada; Elsevier North-Holland: Amsterdam, The Netherlands; New York, NY, USA, 1978; ISBN 978-0-444-50472-2. [Google Scholar]
- Rodríguez-Carvajal, J. Recent Advances in Magnetic Structure Determination by Neutron Powder Diffraction. Phys. B Condens. Matter 1993, 192, 55–69. [Google Scholar] [CrossRef]






| Sample | Phase | Space Group | Phase Composition (EPMA) (±0.01) | Abundance (wt.%) | Lattice Parameters (Å) | ||
|---|---|---|---|---|---|---|---|
| a | b | c | |||||
| Y0.95Ni2 | Y0.95Ni2 | Fm | Y0.93Ni2 | 99 (1) | 14.3557 (1) | - | - |
| Y0.9Ni1.9Mn0.1 * | Y1−v(Ni, Mn)2 | Fdm | Y0.86Ni1.87Mn0.13 | 96 (1) | 7.1733 (1) | - | - |
| Y2O3 | - | 4 (1) | - | - | - | ||
| Y0.9Ni1.8Mn0.2 | Y1−v(Ni, Mn)2 | Fdm | Y0.87Ni1.79Mn0.21 | 95 (1) | 7.1900 (1) | - | - |
| YNi | Pnma | - | 4 (1) | 7.131 (2) | 4.1505 (1) | 5.4858 (1) | |
| Y2O3 | - | trace | - | - | - | ||
| Y0.9Ni1.7Mn0.3 | Y1−v(Ni, Mn)2 | Fdm | Y0.83Ni1.68Mn0.32 | 90 (1) | 7.1951 (1) | - | - |
| YNi | Pnma | YNi0.99Mn0.02 | 9 (1) | 7.134 (2) | 4.1389 (1) | 5.5064 (1) | |
| Y2O3 | - | trace | - | - | - | ||
| Y0.86Ni1.8Mn0.2 * | Y1−v(Ni, Mn)2 | Fdm | Y0.85Ni1.79Mn0.21 | 99 (1) | 7.1826 (1) | - | |
| Y2O3 | - | - | trace | - | |||
| Y0.825Ni1.7Mn0.3 * | Y1−v(Ni, Mn)2 | Fdm | Y0.82Ni1.69Mn0.31 | 99 (1) | 7.1912 (1) | ||
| Y2O3 | - | - | trace | - | |||
| Hydrogen Content(H/f.u.) | Phase | Abundance (wt.%) | Space Group | Lattice Parameters(Å) | Cell VolumeV (Å3) | ΔV/V(%) |
|---|---|---|---|---|---|---|
| 0 | Y1−v(Ni, Mn)2 | 96 (1) | Fdm | 7.1733 (1) /14.3466 (2) | 369.11 (1) /2952.8 (1) | |
| Y2O3 | 4 (1) | |||||
| 1.1 | Y1−v(Ni, Mn)2 | 47 (1) | F3m | 14.318 (1) | 2935.3 (5) | |
| Y1−v(Ni, Mn)2Hw | 52 (1) | F3m | 15.065 (1) | 3419.3 (7) | 15.8 | |
| Y2O3 | trace | |||||
| 1.6 | Y1−v(Ni, Mn)2 | 35 (1) | F3m | 14.320 (2) | 2936.7 (7) | |
| Y1−v(Ni, Mn)2Hw’ | 64 (1) | F3m | 15.051 (2) | 3409.7 (9) | 15.5 | |
| Y2O3 | trace | |||||
| 2.0 | Y1−v(Ni, Mn)2 | 21 (1) | F3m | 14.357 (1) | 2959.4 (4) | |
| Y1−v(Ni, Mn)2Hw’’ | 78 (1) | F3m | 15.229 (1) | 3532.5 (5) | 19.6 | |
| Y2O3 | trace |
| Samples | Hydrogen Desorption (mol H2/mol Sample) | ∆H (kJ/mol H2) |
|---|---|---|
| a-Y0.95Ni2Hw | 0.39 | 41.58 |
| a-Y0.90Ni1.9Mn0.1Hw | 0.34 | 35.16 |
| a-Y0.86Ni1.8Mn0.2Hw | 0.39 | 52.80 |
| a-Y0.825Ni1.7Mn0.3Hw | 0.59 | 39.48 |
Disclaimer/Publisher’s Note: The statements, opinions and data contained in all publications are solely those of the individual author(s) and contributor(s) and not of MDPI and/or the editor(s). MDPI and/or the editor(s) disclaim responsibility for any injury to people or property resulting from any ideas, methods, instructions or products referred to in the content. |
© 2024 by the authors. Licensee MDPI, Basel, Switzerland. This article is an open access article distributed under the terms and conditions of the Creative Commons Attribution (CC BY) license (https://creativecommons.org/licenses/by/4.0/).
Share and Cite
Shen, H.; Paul-Boncour, V.; Li, P.; Jiang, L.; Zhang, J. Structural Evolution and Hydrogen Sorption Properties of YxNi2−yMny (0.825 ≤ x ≤ 0.95, 0.1 ≤ y ≤ 0.3) Laves Phase Compounds. Inorganics 2024, 12, 55. https://doi.org/10.3390/inorganics12020055
Shen H, Paul-Boncour V, Li P, Jiang L, Zhang J. Structural Evolution and Hydrogen Sorption Properties of YxNi2−yMny (0.825 ≤ x ≤ 0.95, 0.1 ≤ y ≤ 0.3) Laves Phase Compounds. Inorganics. 2024; 12(2):55. https://doi.org/10.3390/inorganics12020055
Chicago/Turabian StyleShen, Hao, Valerie Paul-Boncour, Ping Li, Lijun Jiang, and Junxian Zhang. 2024. "Structural Evolution and Hydrogen Sorption Properties of YxNi2−yMny (0.825 ≤ x ≤ 0.95, 0.1 ≤ y ≤ 0.3) Laves Phase Compounds" Inorganics 12, no. 2: 55. https://doi.org/10.3390/inorganics12020055
APA StyleShen, H., Paul-Boncour, V., Li, P., Jiang, L., & Zhang, J. (2024). Structural Evolution and Hydrogen Sorption Properties of YxNi2−yMny (0.825 ≤ x ≤ 0.95, 0.1 ≤ y ≤ 0.3) Laves Phase Compounds. Inorganics, 12(2), 55. https://doi.org/10.3390/inorganics12020055

