Effect of Sintering Temperature on the Magnetic Properties of Fe3Mn3Co60.66Si33.34
Abstract
1. Introduction
2. Experiment
3. Results and Analysis
3.1. XRD Analysis
3.2. Microscopic Morphology Analysis
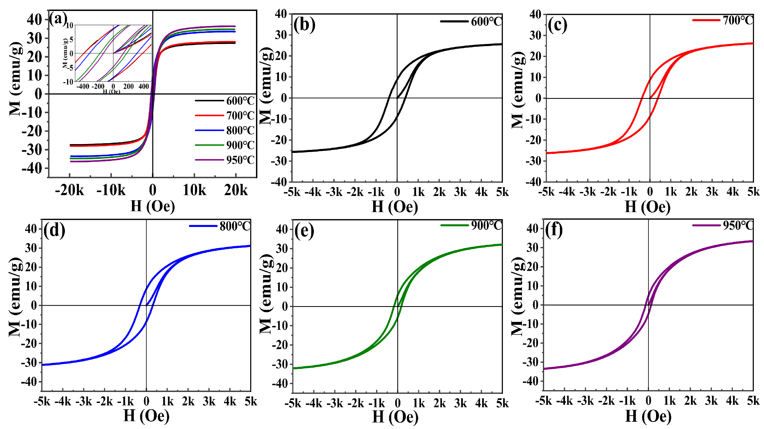
3.3. Magnetic Performance Analysis
3.4. Electromagnetic Loss Analysis
4. Conclusions
Author Contributions
Funding
Data Availability Statement
Conflicts of Interest
References
- Ji, Z.; Wang, Q.; Ma, Y.; Dong, C. Research progress of high-performance soft magnetic alloys. J. Mater. Eng. 2022, 50, 69–80. [Google Scholar]
- He, K.; Zhao, Y. Research progress of Co-based nanocrystalline soft magnetic alloys. Met. Funct. Mater. 2001, 8, 1–5. [Google Scholar]
- Xing, H.; Yao, Q.; Sun, J.; Liu, S. Theoretical electron energy loss spectroscopy of cobalt silicides. J. Chin. Electron Microsc. Soc. 2006, 25, 468–471. [Google Scholar]
- Liu, X. Fabrication and Magnetic Performance of Co Based Magnetic Nanowires. Master’s Thesis, Ningbo University, Ningbo, China, 2016. [Google Scholar]
- Zhang, T.; Wu, Y.; Qian, W.; Liu, A. Formation of cobalt silicide by cobalt ion implantation and characteristics of microwave power tube preparation. Sci. China Ser. E 2002, 32, 442–446. [Google Scholar]
- Yuan, Z.; Bao, S.; Tong, Y.; Yao, L. Effect of crystallization on magnetic properties of Co43fe20ta5.5b31.5 amorphous alloy. Rare Met. Mater. Eng. 2009, 38, 851–856. [Google Scholar]
- Hao, L.; Chen, X.; Yuan, Z.; Chen, X. Glass forming ability and magnetic property of Co-based amorphous alloy. J. Lanzhou Univ. Technol. 2005, 31, 19–22. [Google Scholar]
- Makino, A.; Inoue, A.; Masumoto, T. Compositional effect on the soft magnetic properties of Co-Fe-Si-B amorphous alloys with zero magnetostriction. Mater. Trans. JIM 1990, 31, 884–890. [Google Scholar] [CrossRef]
- Liu, G.; Lin, Y.C.; Liao, L.; Liu, L.; Chen, Y.; Liu, Y.; Weiss, N.O.; Zhou, H.; Huang, Y.; Duan, X. Domain wall motion in synthetic Co2Si nanowires. Nano Lett. 2012, 12, 972–1976. [Google Scholar] [CrossRef] [PubMed]
- Zou, J.; Wang, L.; He, J.; Wu, B.; Xie, Q. Effects of Fe, Mn individual doping and (Fe, Mn) co-doping on ferromagnetic properties of Co2Si powders. Nanomaterials 2022, 12, 293. [Google Scholar] [CrossRef] [PubMed]
- Cheng, X.; Huang, H.; Li, F. Phase transformation in β-FeSi2 thermoelectric material during mechanical alloying and heat treatment. J. Southeast Univ. Nat. Sci. Ed. 2008, 38, 898–901. [Google Scholar]
- Zhang, X.; Ma, R.; Xie, Q. Effects of Ni doping amount on the microwave absorptive properties of Fe3Si alloy. Electron. Compon. Mater. 2014, 33, 38–41, 52. [Google Scholar]
- Kai, H.; Liu, X.; Zhou, S.; Wang, Y.; Cai, X.; Sun, H.; Ma, B. Effects of La, Co substitution on the structure and magnetic properties of M-type strontium ferrites. J. Magn. Mater. Devices 2006, 37, 17–19, 29. [Google Scholar]
- Qiu, J. Preparation and Application of Ni-Co Heterojunctions Based on Metal-Organic Frameworks. Master’s Thesis, Guizhou University, Guizhou, China, 2019. [Google Scholar]
- Zhuang, J.; Chen, X.; Chi, Y.; Liu, Y. Synthesis by solid state reaction and electromagnetic loss property of nano meter Ni0.5Zn0.5Fe2O4 ferrite. J. Funct. Mater. 2006, 37, 43–46. [Google Scholar]
- Sapna; Budhiraja, N.; Kumar, V.; Singh, S.K. X-ray analysis of NiFe2O4 nanoparticles by the Williamson–Hall and size-strain plot method. J. Adv. Phys. 2017, 6, 492–495. [Google Scholar] [CrossRef]
- Yang, W.; Zou, Y.; Zhang, L.; Li, J.; Wang, J.; Li, Y. Calculating and Analyzing the Influence of Fabrication Conditions on the Structure of Carbonated Hydroxyapatite. Chin. J. Inorg. Chem. 2009, 25, 223–230. [Google Scholar]
- Luis, D.C.; Katherine, S.; Catherine, G.; Scott, M. Synthetic Data Curation Sategies for Robust Model Development: A Case Study with HRTEM Micrograph Segmentation. Microsc. Microanal. 2022, 28, 3098–3100. [Google Scholar] [CrossRef]
- Tonejc, E.M.; Djerdj, I.; Tonejc, A. Structure of ball milled ZrO2 AND ZrO2–10 mol % Y2O3 powders revealed by hrtem image processing. Fiz. A 2001, 4, 177–190. [Google Scholar]
- Vadivel, M.; Gopalakrishnan, S.; Babu, R.R.; Pandian, M.S.; Ramasamy, P. Influence of Bi Doping Concentrations on the Structural, Morphological, Dielectric, Optical and Magnetic Properties of ZnO Nanoparticles. J. Supercond. Nov. Magn. 2022, 35, 3647–3659. [Google Scholar] [CrossRef]
- Dong, L.; Liu, C.; Shen, Z.; Zhou, B.; Zheng, T.; Li, Q.; Zhong, Y. Influence of annealing temperature on the magnetic properties of one-dimensional diluted magnetic semiconductor Zn0.95Mn0.05O tuning with vacuum atmospheric annealing. J. Supercond. Nov. Magn. 2022, 36, 189–196. [Google Scholar] [CrossRef]











Disclaimer/Publisher’s Note: The statements, opinions and data contained in all publications are solely those of the individual author(s) and contributor(s) and not of MDPI and/or the editor(s). MDPI and/or the editor(s) disclaim responsibility for any injury to people or property resulting from any ideas, methods, instructions or products referred to in the content. |
© 2023 by the authors. Licensee MDPI, Basel, Switzerland. This article is an open access article distributed under the terms and conditions of the Creative Commons Attribution (CC BY) license (https://creativecommons.org/licenses/by/4.0/).
Share and Cite
Zou, J.; Zhao, Z.; Zhou, X.; Xie, Q. Effect of Sintering Temperature on the Magnetic Properties of Fe3Mn3Co60.66Si33.34. Inorganics 2023, 11, 272. https://doi.org/10.3390/inorganics11070272
Zou J, Zhao Z, Zhou X, Xie Q. Effect of Sintering Temperature on the Magnetic Properties of Fe3Mn3Co60.66Si33.34. Inorganics. 2023; 11(7):272. https://doi.org/10.3390/inorganics11070272
Chicago/Turabian StyleZou, Jiang, Zehang Zhao, Xiongyu Zhou, and Quan Xie. 2023. "Effect of Sintering Temperature on the Magnetic Properties of Fe3Mn3Co60.66Si33.34" Inorganics 11, no. 7: 272. https://doi.org/10.3390/inorganics11070272
APA StyleZou, J., Zhao, Z., Zhou, X., & Xie, Q. (2023). Effect of Sintering Temperature on the Magnetic Properties of Fe3Mn3Co60.66Si33.34. Inorganics, 11(7), 272. https://doi.org/10.3390/inorganics11070272
