Tetragonal Nanosized Zirconia: Hydrothermal Synthesis and Its Performance as a Promising Ceramic Reinforcement
Abstract
1. Introduction
2. Results and Discussion
2.1. Glycerol Content
2.2. Effect of the Ultrasonic Mode on Tetragonal Nano-Zirconia
2.3. Hydrothermal Reaction Temperature
2.4. Dispersant Type
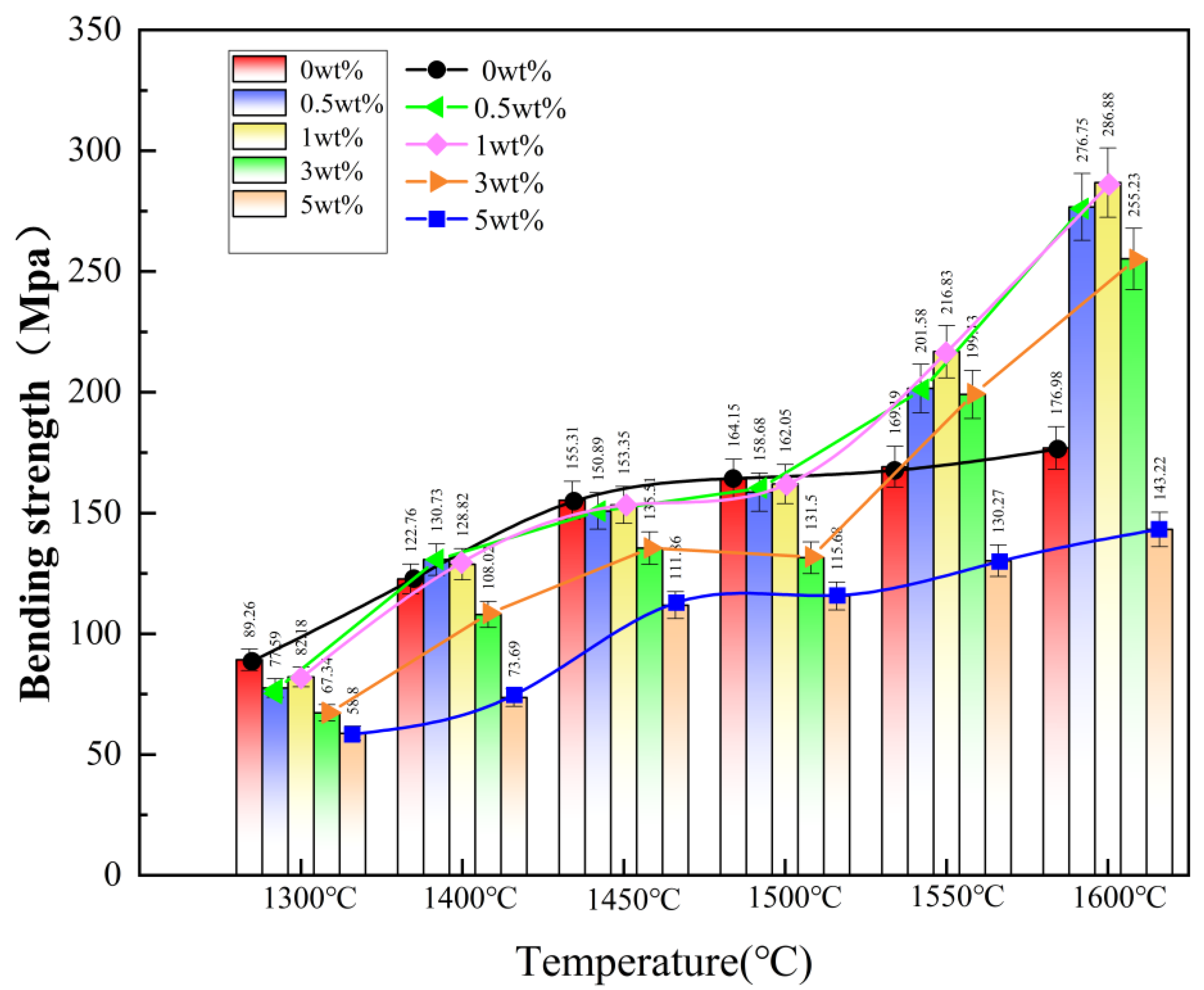
2.5. Effect of Adding Nano-Zirconia on Flexural Strength of 3Y-ZrO2
3. Experimental
3.1. Materials and Methods
3.2. Characterization
4. Conclusions
Supplementary Materials
Author Contributions
Funding
Acknowledgments
Conflicts of Interest
References
- Basu, B. Toughening of Yttria-Stabilised Tetragonal Zirconia Ceramics. Int. Metall. Rev. 2005, 50, 239–256. [Google Scholar] [CrossRef]
- You, X.; Chen, F.; Zhang, J.; Anpo, M. A Novel Deposition Precipitation Method for Preparation of Ag-Loaded Titanium Dioxide. Catal. Lett. 2005, 102, 247–250. [Google Scholar] [CrossRef]
- Huang, W.; Qiu, H.; Zhang, Y.; Nan, L.; Gao, L.; Chen, J.; Omran, M.; Chen, G. Preparation of Nano Zirconia by Binary Doping: Effect of Controlled Sintering on Structure and Phase Transformation. Ceram. Int. 2022, 48, 25374–25381. [Google Scholar] [CrossRef]
- Albayrak, S.; Becker-Willinger, C.; Aslan, M.; Veith, M. Influence of Nano-Scaled Zirconia Particles on the Electrical Properties of Polymer Insulating Materials. IEEE Trans. Dielectr. Electr. Insul. 2012, 19, 76–82. [Google Scholar] [CrossRef]
- Rehman, M.; Noor, T.; Iqbal, N. Effect of Zirconia on Hydrothermally Synthesized Co3O4/TiO2 Catalyst for NOx Reduction from Engine Emissions. Catalysts 2020, 10, 209. [Google Scholar] [CrossRef]
- Hori, C. Thermal Stability of Oxygen Storage Properties in a Mixed CeO2-ZrO2 System. Appl. Catal. B Environ. 1998, 16, 105–117. [Google Scholar] [CrossRef]
- Mandal, S.; Kumar, C.; Kumar, D.; Syed, K.; Ende, M.; Jung, I.; Finkeldei, S.C.; Bowman, W.J. Designing Environment-friendly Chromium-free Spinel-Periclase-Zirconia Refractories for Ruhrstahl Heraeus Degasser. J. Am. Ceram. Soc. 2020, 103, 7095–7114. [Google Scholar] [CrossRef]
- Jiang, L.; Guo, S.; Bian, Y.; Zhang, M.; Ding, W. Effect of Sintering Temperature on Mechanical Properties of Magnesia Partially Stabilized Zirconia Refractory. Ceram. Int. 2016, 42, 10593–10598. [Google Scholar] [CrossRef]
- Liu, C.X.; Gao, N. An Enzymesensor Based on Strongly Negative Nano-Zirconia-Embedded Carben Paste Electrode for H_2O_2 Assay. Chem. Sens. 2005, 25, 17–20. [Google Scholar] [CrossRef]
- Li, N.; Yu, N.; Yi, Z.; An, D.; Xie, Z. CeO2-Stabilised ZrO2 Nanoparticles with Excellent Sintering Performances Synthesized by Sol-Gel-Flux Method. J. Eur. Ceram. Soc. 2022, 42, 1645–1655. [Google Scholar] [CrossRef]
- Cousland, G.P.; Cui, X.Y.; Smith, A.E.; Stampfl, A.P.J.; Stampf, C.M. Mechanical Properties of Zirconia, Doped and Undoped Yttria-Stabilized Cubic Zirconia from First-Principles. J. Phys. Chem. Solids 2018, 122, 51–71. [Google Scholar] [CrossRef]
- Kelly, J.R.; Denry, I. Stabilized Zirconia as a Structural Ceramic: An Overview. Dent. Mater. 2008, 24, 289–298. [Google Scholar] [CrossRef] [PubMed]
- Pezzotti, G.; Zhu, W.; Zanocco, M.; Marin, E.; Sugano, N.; Mcentire, B.J.; Bal, B.S. Reconciling in Vivo and in Vitro Kinetics of the Polymorphic Transformation in Zirconia-Toughened Alumina for Hip Joints: II. Theory. Mater. Sci. Eng. C 2017, 72, 446–451. [Google Scholar] [CrossRef] [PubMed]
- Guo, H.; Khor, K.A.; Yin, C.B.; Miao, X. Laminated and Functionally Graded Hydroxyapatite/Yttria Stabilized Tetragonal Zirconia Composites Fabricated by Spark Plasma Sintering. Biomaterials 2003, 24, 667–675. [Google Scholar] [CrossRef]
- Torres-Lagares, D. A Review on CAD/CAM Yttria-Stabilized Tetragonal Zirconia Polycrystal (Y-TZP) and Polymethyl Methacrylate (PMMA) and Their Biological Behavior. Polymers 2022, 14, 906. [Google Scholar] [CrossRef]
- Guo, M.; Wang, G.; Zhao, Y.; Li, H.; Burgess, K. Preparation of Nano-ZrO2 Powder via a Microwave-Assisted Hydrothermal Method. Ceram. Int. 2021, 47, 12425–12432. [Google Scholar] [CrossRef]
- Salas, P.; Rosa-Cruz, E.; Mendoza-Anaya, D.; González, P.; Rodrguez, R.; Castao, V.M. High Temperature Thermoluminescence Induced on UV-Irradiated Tetragonal ZrO2 Prepared by Sol–Gel. Mater. Lett. 2000, 45, 241–245. [Google Scholar] [CrossRef]
- Song, J.; Zhang, H.; Feng, Z.; Zhang, J.; Huang, X. Controllable Preparation of 5mol% Y2O3-Stabilized Tetragonal ZrO2 by Hydrothermal Method. J. Alloys Compd. 2020, 856, 156766. [Google Scholar] [CrossRef]
- Yurdakul, A.; Gocmez, H. One-Step Hydrothermal Synthesis of Yttria-Stabilized Tetragonal Zirconia Polycrystalline Nanopowders for Blue-Colored Zirconia-Cobalt Aluminate Spinel Composite Ceramics. Ceram. Int. 2019, 45, 5398–5406. [Google Scholar] [CrossRef]
- Yang, C.; Jin, Z.; Chen, X.; Fan, J.; Fan, Y. Modified Wet Chemical Method Synthesis of Nano-ZrO2 and Its Application in Preparing Membranes. Ceram. Int. 2021, 47, 13432–13439. [Google Scholar] [CrossRef]
- Qiu, H.; Zhang, Y.; Huang, W.; Peng, J.; Chen, J.; Gao, L.; Omran, M.; Li, N.; Chen, G. Sintering Properties of Tetragonal Zirconia Nanopowder Preparation of the NaCl + KCl Binary System by the Sol–Gel–Flux Method. ACS Sustain. Chem. Eng. 2023, 11, 1067–1077. [Google Scholar] [CrossRef]
- Duran, C.; Jia, Y.; Sato, K.; Hotta, Y.; Watari, K. Hydrothermal Synthesis of Nano ZrO2 Powders. Key Eng. Mater. 2006, 317–318, 195–198. [Google Scholar] [CrossRef]
- Hsu, Y.-W.; Yang, K.-H.; Chang, K.-M.; Yeh, S.-W.; Wang, M.-C. Synthesis and Crystallization Behavior of 3 Mol% Yttria Stabilized Tetragonal Zirconia Polycrystals (3Y-TZP) Nanosized Powders Prepared Using a Simple Co-Precipitation Process. J. Alloys Compd. 2011, 509, 6864–6870. [Google Scholar] [CrossRef]
- Chevalier, J.; Gremillard, L.; Virkar, A.V.; Clarke, D.R. The Tetragonal-Monoclinic Transformation in Zirconia: Lessons Learned and Future Trends. J. Am. Ceram. Soc. 2010, 92, 1901–1920. [Google Scholar] [CrossRef]
- Gionco, C.; Hernández, S.; Castellino, M.; Gadhi, T.A.; Paganini, M.C. Synthesis and Characterization of Ce and Er Doped ZrO2 Nanoparticles as Solar Light Driven Photocatalysts. J. Alloys Compd. 2018, 775, 896–904. [Google Scholar] [CrossRef]
- Morales–Rodríguez, A.; Poyato, R.; Gutiérrez–Mora, F.; Muñoz, A.; Gallardo–López, A. The Role of Carbon Nanotubes on the Stability of Tetragonal Zirconia Polycrystals. Ceram. Int. 2018, 44, 17716–17723. [Google Scholar] [CrossRef]
- Sun, J.; Gao, L.A.; Guo, J.K. Effect of Dispersant on the Measurement of Particle Size Distribution of Nano Size Y-TZP. J. Inorg. Mater. 1999, 14, 465–469. [Google Scholar] [CrossRef]
- Yu, J.; Yu, F.-X.; Wang, S.; Zhang, J.-F.; Fan, F.-Q.; Long, Q. Effect of Dispersant Content and Drying Method on ZrO2@Al2O3 Multiphase Ceramic Powders. Ceram. Int. 2018, 44, 17630–17634. [Google Scholar] [CrossRef]
- Lin, C.; Zhang, C.; Lin, J. Phase Transformation and Photoluminescence Properties of Nanocrystalline ZrO2 PowdersPrepared via the Pechini-Type SolGel Process. J. Phys. Chem. C 2007, 111, 3300–3307. [Google Scholar] [CrossRef]
- Noh, H.J.; Seo, D.S.; Kim, H.; Lee, J.K. Synthesis and Crystallization of Anisotropic Shaped ZrO2 Nanocrystalline Powders by Hydrothermal Process. Mater. Lett. 2003, 57, 2425–2431. [Google Scholar] [CrossRef]
- Chang, Q.; Zhou, J.; Wang, Y.; Meng, G. Formation Mechanism of Zirconia Nano-Particles Containing Pores Prepared via Sol-Gel-Hydrothermal Method. Adv. Powder Technol. 2010, 21, 425–430. [Google Scholar] [CrossRef]
- Chao, Y.A.; Jw, A.; Xc, A.; Xd, A.; Mq, A.; Hv, B.; Yf, A. Modified Hydrothermal Treatment Route for High-Yield Preparation of Nanosized ZrO2. Ceram. Int. 2020, 46, 19807–19814. [Google Scholar] [CrossRef]
- Zang, S.; Yang, Q.; He, N.; Ji, Y.; Yang, H. Influence of Additives on the Tetragonal Phase Purity and Grain Size of Zirconia. J. Clin. Rehabil. Tissue Eng. Res. 2018, 22, 5445–5451. [Google Scholar] [CrossRef]
- Mondal, A.; Zachariah, A.; Nayak, P.; Nayak, B.B. Synthesis and Room Temperature Photoluminescence of Mesoporous Zirconia with a Tetragonal Nanocrystalline Framework. J. Am. Ceram. Soc. 2010, 93, 387–392. [Google Scholar] [CrossRef]
- Thackeray, D. The Raman Spectrum of Zirconium Dioxide. Spectrochim. Acta Part A Mol. Spectrosc. 1974, 30, 549–550. [Google Scholar] [CrossRef]
- Kulyk, V.; Duriagina, Z.; Vasyliv, B.; Vavrukh, V.; Kovbasiuk, T.; Lyutyy, P.; Vira, V. The Effect of Sintering Temperature on the Phase Composition, Microstructure, and Mechanical Properties of Yttria-Stabilized Zirconia. Materials 2022, 15, 2707. [Google Scholar] [CrossRef]
- Kulyk, V.; Duriagina, Z.; Kostryzhev, A.; Vasyliv, B.; Vavrukh, V.; Marenych, O. The Effect of Yttria Content on Microstructure, Strength, and Fracture Behavior of Yttria-Stabilized Zirconia. Materials 2022, 15, 5212. [Google Scholar] [CrossRef]
















| Sample Number | PEG8000 (wt%) | PVP (wt%) | CTAB (wt%) | Zirconium Oxychloride:Glycerol | Hydrothermal Reaction Temperature (°C) |
|---|---|---|---|---|---|
| 1 | / | / | / | 2:1 | 200 |
| 2 | 0.1 | 0.1 | 0.1 | 2:1 | 200 |
| 3 | 0.3 | 0.3 | 0.3 | 2:1 | 200 |
| 4 | 0.5 | 0.5 | 0.5 | 2:1 | 200 |
| 5 | 1 | 1 | 1 | 2:1 | 200 |
| 6 | 2 | 2 | 2 | 2:1 | 200 |
Disclaimer/Publisher’s Note: The statements, opinions and data contained in all publications are solely those of the individual author(s) and contributor(s) and not of MDPI and/or the editor(s). MDPI and/or the editor(s) disclaim responsibility for any injury to people or property resulting from any ideas, methods, instructions or products referred to in the content. |
© 2023 by the authors. Licensee MDPI, Basel, Switzerland. This article is an open access article distributed under the terms and conditions of the Creative Commons Attribution (CC BY) license (https://creativecommons.org/licenses/by/4.0/).
Share and Cite
Liu, S.; Wang, J.; Chen, Y.; Song, Z.; Han, B.; Wu, H.; Zhang, T.; Liu, M. Tetragonal Nanosized Zirconia: Hydrothermal Synthesis and Its Performance as a Promising Ceramic Reinforcement. Inorganics 2023, 11, 217. https://doi.org/10.3390/inorganics11050217
Liu S, Wang J, Chen Y, Song Z, Han B, Wu H, Zhang T, Liu M. Tetragonal Nanosized Zirconia: Hydrothermal Synthesis and Its Performance as a Promising Ceramic Reinforcement. Inorganics. 2023; 11(5):217. https://doi.org/10.3390/inorganics11050217
Chicago/Turabian StyleLiu, Shikai, Jialin Wang, Yingxin Chen, Zhijian Song, Bibo Han, Haocheng Wu, Taihang Zhang, and Meng Liu. 2023. "Tetragonal Nanosized Zirconia: Hydrothermal Synthesis and Its Performance as a Promising Ceramic Reinforcement" Inorganics 11, no. 5: 217. https://doi.org/10.3390/inorganics11050217
APA StyleLiu, S., Wang, J., Chen, Y., Song, Z., Han, B., Wu, H., Zhang, T., & Liu, M. (2023). Tetragonal Nanosized Zirconia: Hydrothermal Synthesis and Its Performance as a Promising Ceramic Reinforcement. Inorganics, 11(5), 217. https://doi.org/10.3390/inorganics11050217

