Synthesis, X-ray Structures and Hirshfeld Analysis of Two Novel Thiocyanate-Bridged Ag(I) Coordination Polymers
Abstract
:1. Introduction
2. Results and Discussion
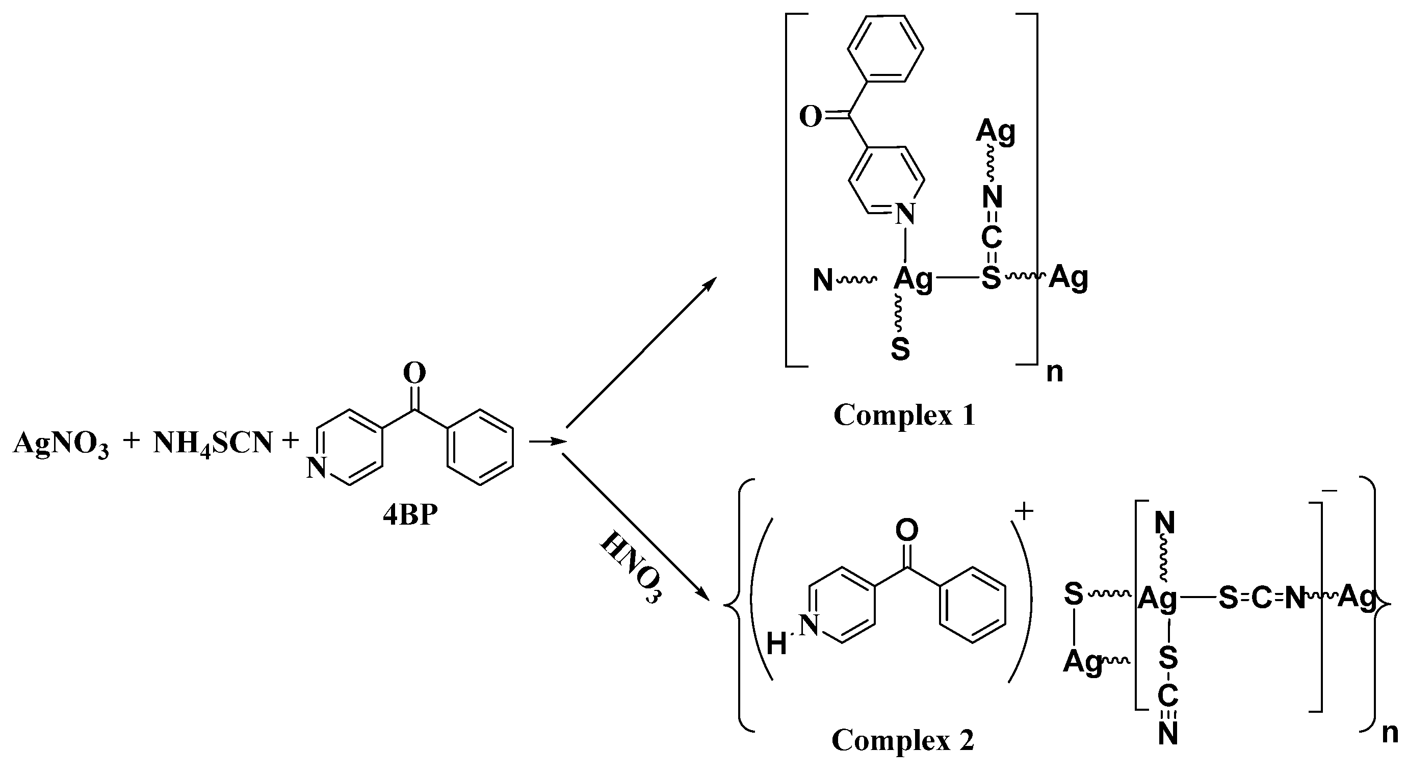
2.1. Synthesis and Characterizations
2.2. X-ray Crystal Structure Description of [Ag(4BP)(SCN)]n (1)
2.3. X-ray Crystal Structure Description of {(4BP-H)+[Ag(SCN)2]−}n (2)
2.4. Analysis of Molecular Packing
3. Experimental
3.1. Material and Instrumentation
3.2. Synthesis of the AgSCN/4BP CPS
3.2.1. Synthesis of [Ag(4BP)(SCN)]n Complex (1)
3.2.2. Synthesis of {(4BP-H)+[Ag(SCN)2]−}n Complex (2)
3.3. X-ray Crystallography
3.4. Hirshfeld Surface Analysis
4. Conclusions
Supplementary Materials
Author Contributions
Funding
Data Availability Statement
Acknowledgments
Conflicts of Interest
References
- Blagojević, V.A.; Lukić, V.; Begović, N.N.; Maričić, A.M.; Minić, D.M. Hydrogen Storage in a Layered Flexible [Ni2(btc)(en)2]n Coordination Polymer. Int. J. Hydrogen Energy 2016, 41, 22171–22181. [Google Scholar] [CrossRef]
- Suh, M.P.; Park, H.J.; Prasad, T.K.; Lim, D.W. Hydrogen storage in metal–organic frameworks. Chem. Rev. 2012, 112, 782–835. [Google Scholar] [CrossRef] [PubMed]
- Qiu, S.; Xue, M.; Zhu, G. Metal–organic framework membranes: From synthesis to separation application. Chem. Soc. Rev. 2014, 43, 6116–6140. [Google Scholar] [CrossRef] [PubMed]
- Li, J.R.; Kuppler, R.J.; Zhou, H.C. Selective gas adsorption and separation in metal–organic frameworks. Chem. Soc. Rev. 2009, 38, 1477–1504. [Google Scholar] [CrossRef]
- Wu, X.Y.; Qi, H.X.; Ning, J.J.; Wang, J.F.; Ren, Z.G.; Lang, J.P. One Silver(I)/Tetraphosphine Coordination Polymer Showing Good Catalytic Performance in the Photodegradation of Nitroaromatics in Aqueous Solution. Appl. Catal. B Environ. 2015, 168–169, 98–104. [Google Scholar] [CrossRef]
- Xing, B.; Choi, M.F.; Xu, B. Design of Coordination Polymer Gels as Stable Catalytic Systems. Chem.—Eur. J. 2002, 8, 5028–5032. [Google Scholar] [CrossRef]
- Maurya, M.R.; Kumar, A. Oxovanadium(IV) Based Coordination Polymers and Their Catalytic Potentials for the Oxidation of Styrene, Cyclohexene and Trans-Stilbene. J. Mol. Catal. A Chem. 2006, 250, 190–198. [Google Scholar] [CrossRef]
- Liu, J.Q.; Luo, Z.D.; Pan, Y.; Singh, A.K.; Trivedi, M.; Kumar, A. Recent developments in luminescent coordination polymers: Designing strategies, sensing application and theoretical evidences. Coord. Chem. Rev. 2020, 406, 213145. [Google Scholar] [CrossRef]
- Liu, H.; Wang, Y.; Qin, Z.; Liu, D.; Xu, H.; Dong, H.; Hu, W. Electrically conductive coordination polymers for electronic and optoelectronic device applications. J. Phys. Chem. Lett. 2021, 12, 1612–1630. [Google Scholar] [CrossRef]
- Mirtamizdoust, B. Sonochemical Synthesis of Nano Lead(II) Metal-Organic Coordination Polymer; New Precursor for the Preparation of Nano-Materials. Ultrason. Sonochem. 2017, 35, 263–269. [Google Scholar] [CrossRef]
- Molaei, F.; Bigdeli, F.; Morsali, A.; Joo, S.W.; Bruno, G.; Rudbari, H.A. Synthesis and Characterization of Different Zinc(II) Oxide Nano-Structures from Two New Zinc(II)- Quinoxaline Coordination Polymers. J. Mol. Struct. 2015, 1095, 8–14. [Google Scholar] [CrossRef]
- San Sebastian, E.; Rodríguez-Diéguez, A.; Seco, J.M.; Cepeda, J. Coordination Polymers with Intriguing Photoluminescence Behavior: The Promising Avenue for Greatest Long- Lasting Phosphors. Eur. J. Inorg. Chem. 2018, 2018, 2155–2174. [Google Scholar] [CrossRef]
- Li, Q.; Qian, J.; Zhou, J.; Du, L.; Zhao, Q. Highly chemically and thermally stable lanthanide coordination polymers for luminescent probes and white light emitting diodes. CrystEngComm 2020, 22, 2667–2674. [Google Scholar] [CrossRef]
- Begum, S.; Hassan, Z.; Bräse, S.; Wöll, C.; Tsotsalas, M. Metal–organic framework-templated biomaterials: Recent progress in synthesis, functionalization, and applications. Acc. Chem. Res. 2019, 52, 1598–1610. [Google Scholar] [CrossRef] [PubMed]
- Giménez-Marqués, M.; Hidalgo, T.; Serre, C.; Horcajada, P.J.C.C.R. Nanostructured metal–organic frameworks and their bio-related applications. Coord. Chem. Rev. 2016, 307, 342–360. [Google Scholar] [CrossRef]
- Zhu, H.; Liu, D.; Li, Y.H.; Cui, G.H. A 1D Silver(I) Coordination Polymer as Luminescent Probe for Cu2+ and Effective Photocatalyst for Degradation Organic Dyes. Inorg. Chem. Commun. 2019, 108, 107539. [Google Scholar] [CrossRef]
- Dinh Do, N.; Kovalchukova, O.; Stash, A.; Strashnova, S. Catena-Poly[Ammonium [Aquabis(μ-2,3,5,6-Tetraoxo-4-Nitropyridin-4-Ido) Argentate(I)]]. Acta Crystallogr. Sect. E Struct. Rep. Online 2013, 69, m477–m478. [Google Scholar] [CrossRef]
- Fang, X.Q.; Deng, Z.P.; Huo, L.H.; Wan, W.; Zhu, Z.B.; Zhao, H.; Gao, S. New Family of Silver(I) Complexes Based on Hydroxyl and Carboxyl Groups Decorated Arenesulfonic Acid: Syntheses, Structures, and Luminescent Properties. Inorg. Chem. 2011, 50, 12562–12574. [Google Scholar] [CrossRef]
- Chen, C.L.; Kang, B.S.; Su, C.Y. Recent Advances in Supramolecular Design and Assembly of Silver(I) Coordination Polymers. Aust. J. Chem. 2006, 59, 3–18. [Google Scholar] [CrossRef]
- Capel Berdiell, I.; Warriner, S.L.; Halcrow, M.A. Silver(I) Complexes of Bis- and Tris- (Pyrazolyl)Azine Derivatives-Dimers, Coordination Polymers and a Pentametallic Assembly. Dalton Trans. 2018, 47, 5269–5278. [Google Scholar] [CrossRef]
- Khlobystov, A.N.; Blake, A.J.; Champness, N.R.; Lemenovskii, D.A.; Majouga, A.G.; Zyk, N.V.; Schröder, M. Supramolecular Design of One-Dimensional Coordination Polymers Based on Silver(I) Complexes of Aromatic Nitrogen-Donor Ligands. Coord. Chem. Rev. 2001, 222, 155–192. [Google Scholar] [CrossRef]
- Moghadam, Z.; Akhbari, K.; Jamali, F.; Shahangi Shirazi, F. All Procedures for the Synthesis of Silver Nanosheets. Nanochem. Res. 2017, 2, 248–260. [Google Scholar]
- Schmidbaur, H.; Schier, A. Argentophilic interactions. Angew. Chem. Int. Ed. 2015, 54, 746–784. [Google Scholar] [CrossRef] [PubMed]
- Sun, D.; Wang, H.; Lu, H.F.; Feng, S.Y.; Zhang, Z.W.; Sun, G.X.; Sun, D.F. Two birds with one stone: Anion templated ball-shaped Ag56 and disc-like Ag20 clusters. Dalton Trans. 2013, 42, 6281–6284. [Google Scholar] [CrossRef]
- Sun, D.; Zhang, L.L.; Lu, H.F.; Feng, S.Y.; Sun, D.F. Brightyellow to orange-red thermochromic luminescence of an AgI6−ZnII2 heterometallic aggregate. Dalton Trans. 2013, 42, 3528–3532. [Google Scholar] [CrossRef]
- Lamming, G.; Kolokotroni, J.; Harrison, T.; Penfold, T.J.; Clegg, W.; Waddell, P.G.; Probert, M.R.; Houlton, A. Structural diversity and argentophilic interactions in one-dimensional silverbased coordination polymers. Cryst. Growth Des. 2017, 17, 5753–5763. [Google Scholar] [CrossRef]
- Huang, R.W.; Wei, Y.S.; Dong, X.Y.; Wu, X.H.; Du, C.X.; Zang, S.Q.; Mak, T.C. Hypersensitive dual-function luminescence switching of a silver-chalcogenolate cluster based metal-organic framework. Nat. Chem. 2017, 9, 689. [Google Scholar] [CrossRef]
- Xi, X.; Liu, Y.; Cui, Y. Homochiral Silver-Based Coordination Polymers Exhibiting Temperature-Dependent Photoluminescence Behavior. Inorg. Chem. 2014, 53, 2352–2354. [Google Scholar] [CrossRef]
- Song, Y.F.; Abbas, H.; Ritchie, C.; McMillian, N.; Long, D.L.; Gadegaard, N.; Cronin, L. From polyoxometalate building blocks to polymers and materials: The silver connection. J. Mater. Chem. 2007, 17, 1903–1908. [Google Scholar] [CrossRef]
- Rais, D.; Yau, J.; Mingos, D.M.P.; Vilar, R.; White, A.J.; Williams, D.J. Anion-Templated Syntheses of Rhombohedral Silver− Alkynyl Cage Compounds. Angew. Chem. Int. Ed. 2001, 40, 3464–3467. [Google Scholar] [CrossRef]
- Liu, C.; Li, T.; Abroshan, H.; Li, Z.; Zhang, C.; Kim, H.J.; Li, G.; Jin, R. Chiral Ag23 nanocluster with open shell electronicstructure and helical face-centered cubic framework. Nat. Commun. 2018, 9, 744. [Google Scholar] [CrossRef] [PubMed]
- Song, X.-R.; Goswami, N.; Yang, H.-H.; Xie, J. Functionalization of metal nanoclusters for biomedical applications. Analyst 2016, 141, 3126–3140. [Google Scholar] [CrossRef] [PubMed]
- Zhang, S.S.; Su, H.F.; Zhuang, G.L.; Wang, X.P.; Tung, C.H.; Sun, D.; Zheng, L.S. A hexadecanuclear silver alkynyl clusterbased NbO framework with triple emissions from the visible to near-infrared II region. Chem. Commun. 2018, 54, 11905–11908. [Google Scholar] [CrossRef] [PubMed]
- Chai, J.; Yang, S.; Lv, Y.; Chen, T.; Wang, S.; Yu, H.; Zhu, M. A unique pair: Ag40 and Ag46 nanoclusters with the same surface but different cores for structure—property correlation. J. Am. Chem. Soc. 2018, 140, 15582–15585. [Google Scholar] [CrossRef] [PubMed]
- Morsali, A.; Hashemi, L. Main Group Metal Coordination Polymers: Stuctures and Nanostructures; John Wiley & Sons: Hoboken, NJ, USA, 2017. [Google Scholar]
- Tran, M.; Kline, K.; Qin, Y.; Shen, Y.; Green, M.D.; Tongay, S. 2D Coordination Polymers: Design Guidelines and Materials Perspective. Appl. Phys. Rev. 2019, 6, 041311–041328. [Google Scholar] [CrossRef]
- Allen, F.H. The Cambridge Structural Database: A Quarter of a Million Crystal Structures and Rising. Acta Crystallogr. Sect. B 2002, 58, 380–388. [Google Scholar] [CrossRef]
- Su, C.Y.; Chen, C.L.; Zhang, J.Y.; Kang, B.S. Silver(I) coordination polymers. Des. Constr. Coord. Polym. 2009, 5, 111–144. [Google Scholar]
- Steel, P.J.; Fitchett, C.M. Metallosupramolecular silver(I) assemblies based on pyrazine and related ligands. Coord. Chem. Rev. 2008, 252, 990–1006. [Google Scholar] [CrossRef]
- Mak, T.C.; Zhao, X.-L. Silver: Inorganic and coordination chemistry. In Encyclopedia of Inorganic and Bioinorganic Chemistry; King, R.B., Ed.; John Wiley & Sons, Inc.: Chichester, UK, 2005; pp. 5187–5197. [Google Scholar]
- Rana, A.; Jana, S.K.; Pal, T.; Puschmann, H.; Zangrando, E.; Dalai, S. Electrical conductivity and luminescence properties of two silver(I) coordination polymers with heterocyclic nitrogen ligands. J. Solid State Chem. 2014, 216, 49–55. [Google Scholar] [CrossRef]
- Zheng, X.-F.; Zhu, L.-G. Synthesis, structures and conductivity properties of silver 3-sulfobenzoate coordination polymers. Inorg. Chim. Acta 2011, 365, 419–429. [Google Scholar] [CrossRef]
- Yan, J.; Wilbraham, L.; Basa, P.N.; Schüttel, M.; Macdonald, J.C.; Ciofini, I.; Coudert, F.-X.; Burdette, S.C. Emissive azobenzenes delivered on a silver coordination polymer. Inorg. Chem. 2018, 57, 15009–15022. [Google Scholar] [CrossRef] [PubMed]
- May, L.J.; Shimizu, G.K.H. Highly selective intercalation of primary amines in a continuous layer Ag coordination network. Chem. Mater. 2005, 17, 217–220. [Google Scholar] [CrossRef]
- Yang, G.; Raptis, R.G. A robust, porous, cationic silver(I) 3,5-diphenyl-1,2,4-triazolate framework with a uninodal 49.66 net. Chem. Commun. 2004, 18, 2058–2059. [Google Scholar] [CrossRef] [PubMed]
- Yamada, S.; Ishida, T.; Nogami, T. Supramolecular triangular and linear arrays of metal-radical solids using pirazolato-silver(I) motifs. Dalton Trans. 2004, 6, 898–903. [Google Scholar] [CrossRef] [PubMed]
- Rigamonti, L.; Vaccari, M.; Roncaglia, F.; Baschieri, C.; Forni, A. New silver(I) coordination polymer with Fe4 single-molecule magnets as long spacer. Magnetochemistry 2018, 4, 43. [Google Scholar] [CrossRef]
- Zhou, Z.; He, C.; Yang, L.; Wang, Y.; Liu, T.; Duan, C. Alkyne activation by a porous silver coordination polymer for heterogeneous catalysis of carbon dioxide cycloaddition. ACS Catal. 2017, 7, 2248–2256. [Google Scholar] [CrossRef]
- Wang, C.C.; Jing, H.P.; Wang, P. Three silver-based complexes constructed from organic carboxylic acid and 4,4′-bipyridine-like ligands: Syntheses, structures and photocatalytic properties. J. Mol. Struct. 2014, 1074, 92–99. [Google Scholar] [CrossRef]
- Sulaiman, N.I.; Salimin, N.R.; Haque, R.A.; Iqbal, M.A.; Ng, S.W.; Razali, M.R. Synthesis, spectroscopic characterization, single crystal X-ray determination and cytotoxicity activity against human breast cancer (MCF-7) and colon cancer (HCT 116) cell lines of silver (I) coordination polymer. Polyhedron 2015, 97, 188–196. [Google Scholar] [CrossRef]
- Rogovoy, M.I.; Berezin, A.S.; Kozlova, Y.N.; Samsonenko, D.G.; Artem’ev, A.V. A layered Ag (I)-based coordination polymer showing sky-blue luminescence and antibacterial activity. Inorg. Chem. Commun. 2019, 108, 107513. [Google Scholar] [CrossRef]
- El-Naggar, M.A.; Albering, J.H.; Barakat, A.; Abu-Youssef, M.A.; Soliman, S.M.; Badr, A.M. New bioactive 1D Ag (I) coordination polymers with pyrazole and triazine ligands; Synthesis, X-ray structure, Hirshfeld analysis and DFT studies. Inorg. Chim. Acta 2022, 537, 120948. [Google Scholar] [CrossRef]
- Adarsh, N.N.; Dastidar, P. Coordination polymers: What has been achieved in going from innocent 4, 4’-bipyridine to bis-pyridyl ligands having a non-innocent backbone? Chem. Soc. Rev. 2012, 41, 3039–3060. [Google Scholar] [CrossRef] [PubMed]
- Liu, Z.; Qayyum, M.F.; Wu, C.; Whited, M.T.; Djurovich, P.I.; Hodgson, K.O.; Hedman, B.; Solomon, E.I.; Thompson, M.E. A Codeposition route to CuI- pyridine coordination complexes for organic light-emitting diodes. J. Am. Chem. Soc. 2011, 133, 3700–3703. [Google Scholar] [CrossRef] [PubMed]
- Abu-Youssef, M.A.M.; Langer, V.; Barakat, A.; Haukka, M.; Soliman, S.M. Molecular, Supramolecular Structures Combined with Hirshfeld and DFT Studies of Centrosymmetric M(II)-azido {M = Ni(II), Fe(II) or Zn(II)} Complexes of 4-Benzoylpyridine. Symmetry 2021, 13, 2026. [Google Scholar] [CrossRef]
- Pai, S.; Schott, M.; Niklaus, L.; Posset, U.; Kurth, D.G. A study of the effect of pyridine linkers on the viscosity and electrochromic properties of metallo-supramolecular coordination polymers. J. Mater. Chem. C 2018, 6, 3310–3321. [Google Scholar] [CrossRef]
- Blake, A.J.; Champness, N.R.; Cooke, P.A.; Nicolson, J.E.B. Synthesis of a chiral adamantoid network—the role of solvent in the construction of new coordination netwroks with silver(I). Chem. Commun. 2000, 8, 665–666. [Google Scholar] [CrossRef]
- Feazell, R.P.; Carson, C.R.; Klausmeyer, K.K. Silver(I) 3-aminomethylpyridine complexes, Part 1: Effect of ligand ratio, π-stacking, and temperature with a noninteracting anion. Inorg. Chem. 2006, 45, 2627–2634. [Google Scholar] [CrossRef]
- Marchetti, F.; Pettinari, R.; Di Nicola, C.; Pettinari, C.; Paul, A.; Crispini, A.; Giorno, E.; Lelj, F.; Stoia, S.; Amati, M. Effect of methyl groups in a pyrimidine-based flexible ligand on the formation of silver(I) coordination networks. N. J. Chem. 2018, 42, 13998–14008. [Google Scholar] [CrossRef]
- Patra, G.K.; Goldberg, I.; De, S.; Datta, D. Effect of the size of discrete anions on the nuclearity of a complex cation. CrystEngComm 2007, 9, 828–832. [Google Scholar] [CrossRef]
- El-Naggar, M.A.; Abu-Youssef, M.A.M.; Soliman, S.M.; Haukka, M.; Al-Majid, A.M.; Barakat, A.; Badr, A.M.A. Synthesis, X-ray structure, Hirshfeld, and antimicrobial studies of new Ag(I) complexes based on pyridine-type ligands. J. Mol. Struct. 2022, 1264, 133210. [Google Scholar] [CrossRef]
- Gotsis, S.; White, A.H. Lewis-Base Adducts of Group-11 Metal(I) Compounds. XXIX. Crystal Structures of Bis(Pyridine-4-carbonitrile)silver(I) Nitrate and Bis(4-benzoylpyridine)Silver(I) Nitrate Monohydrate. Aust. J. Chem. 1987, 40, 1603–1608. [Google Scholar] [CrossRef]
- Song, K.Y.; Zhao, L.M.; Zhang, W.T.; Li, Y.; Li, H.H.; Chen, Z.R. Two-Dimensional Silver-Thiocyanate Layers Directed by Viologens: Structural Transformations upon Low Pressure Stimuli, Piezochromic Luminescence, Photocurrent Responses, and Photocatalytic Properties. Cryst. Growth Des. 2018, 19, 177–192. [Google Scholar] [CrossRef]
- Chakkaradhari, G.; Eskelinen, T.; Degbe, C.; Belyaev, A.; Melnikov, A.S.; Grachova, E.V.; Tunik, S.P.; Hirva, P.; Koshevoy, I.O. Oligophosphine-thiocyanate copper (I) and silver (I) complexes and their borane derivatives showing delayed fluorescence. Inorg. Chem. 2019, 58, 3646–3660. [Google Scholar] [CrossRef] [PubMed]
- Luo, S.Q.; Wang, Q.; Quan, J.; Yang, M.; Wang, Y.; Zhang, X.; Chen, Z.N. A sky-blue luminescent silver (I) complex with a one-dimensional zipper-like structure constructed with 2-diphenylphosphinopyridine and thiocyanate. Transit. Met. Chem. 2021, 46, 415–421. [Google Scholar] [CrossRef]
- Filipović, N.R.; Ristić, P.; Janjić, G.; Klisurić, O.; Puerta, A.; Padron, J.M.; Donnard, M.; Gulea, M.; Todorović, T.R. Silver-based monomer and coordination polymer with organic thiocyanate ligand: Structural, computational and antiproliferative activity study. Polyhedron 2019, 173, 114132. [Google Scholar] [CrossRef]
- Bowmaker, G.A.; Di Nicola, C.; Hanna, J.V.; Healy, P.C.; King, S.P.; Marchetti, F.; Pettinari, C.; Robinson, W.T.; Skelton, B.W.; Sobolev, A.N.; et al. Oligo-nuclear silver thiocyanate complexes with monodentate tertiary phosphine ligands, including novel ‘cubane’and ‘step’tetramer forms of AgSCN: PR3 (1:1)4. Dalton Trans. 2013, 42, 277–291. [Google Scholar] [CrossRef] [PubMed]
- Mautner, F.A.; Scherzer, M.; Berger, C.; Fischer, R.C.; Vicente, R.; Massoud, S.S. Synthesis and characterization of five new thiocyanato-and cyanato-metal (II) complexes with 4-azidopyridine as co-ligand. Polyhedron 2015, 85, 20–26. [Google Scholar] [CrossRef]
- Kabesova, M.; Gazo, J. Structure and classification of thiocyanates and the mutual influence of their ligands. Chem. Zvesti. 1980, 34, 800. [Google Scholar]
- Norbury, A.H. Coordination chemistry of the cyanate, thiocyanate, and selenocyanate ions. Adv. Inorg. Radiochem. 1975, 17, 231–386. [Google Scholar]
- Armstrong, D.R.; Khandelwal, A.H.; Raithby, P.R.; Snaith, R.; Stalke, D.; Wright, D.S. Structure of the lithium thiocyanate-tetramethylpropylenediamine complex dimer,[LiNCS-Me2N (CH2)3NMe2]2, with asymmetric NCS-bridge bonding: A new bonding mode for the thiocyanate ligand. Inorg. Chem. 1993, 32, 2132–2136. [Google Scholar] [CrossRef]
- Zhu, H.-L.; Liu, G.-F.; Meng, F.-J. Refinement of the crystal structure of silver (I) thiocyanate, AgSCN. Z. Kristallogr.—N. Cryst. Struct. 2003, 218, 263–264. [Google Scholar]
- Luo, G.G.; Sun, D.; Zhang, N.; Huang, R.B.; Zheng, L.S. Two novel silver (I) coordination polymers: Poly [(μ2-2-aminopyrimidine-κ2N1:N3)bis(μ3-thiocyanato-κ3S:S:S)disilver(I)] and poly [(2-amino-4,6-dimethylpyrimidine-κN) (μ3-thiocyanato-κ3N:S:S)silver(I)]. Acta Crystallogr. Sect. C Cryst. Struct. Commun. 2009, 65, m377–m381. [Google Scholar] [CrossRef] [PubMed]
- Etaiw, S.E.D.H.; Abd El-Aziz, D.M.; Ibrahim, M.S.; El-din, A.S.B. Synthesis and crystal structures of three novel coordination polymers constructed from Ag (I) thiocyanate and nitrogen donor ligands. Polyhedron 2009, 28, 1001–1009. [Google Scholar] [CrossRef]
- Krautscheid, H.; Emig, N.; Klaassen, N.; Seringer, P. Thiocyanato complexes of the coinage metals: Synthesis and crystal structures of the polymeric pyridine complexes [AgxCuy (SCN) x+ y (py) z]. J. Chem. Soc. Dalton Trans. 1998, 18, 3071–3078. [Google Scholar] [CrossRef]
- Sheldrick, G.M. A short history of SHELX. Acta Cryst. A 2008, 64, 112–122. [Google Scholar]
- Turner, M.J.; McKinnon, J.J.; Wolff, S.K.; Grimwood, D.J.; Spackman, P.R.; Jayatilaka, D.; Spackman, M.A. Crystal Explorer17; University of Western Australia: Crawley, Australia, 2017. [Google Scholar]
















| Bond | Distance | Bond | Distance |
| Ag1-N1## | 2.175(3) | Ag1-S1 | 2.5885(8) |
| Ag1-N2 | 2.331(2) | Ag1-S1# | 2.6136(8) |
| Bonds | Angle | Bonds | Angle |
| N1##-Ag1-N2 | 123.35(10) | C1-S1-Ag1 | 96.34(12) |
| N1##-Ag1-S1 | 116.58(8) | C1#-S1#-Ag1 | 94.97(11) |
| N2-Ag1-S1 | 103.91(7) | Ag1-S1-Ag1 | 155.04(4) |
| N1##-Ag1-S1# | 115.60(8) | C1##-N1##-Ag1 | 158.2(3) |
| N2-Ag1-S1# | 93.98(6) | C2-N2-Ag1 | 122.0(2) |
| S1-Ag1-S1# | 98.727(10) | C6-N2-Ag1 | 118.59(19) |
| Bond | Distance | Bond | Distance |
| Ag1-N2## | 2.213(2) | Ag1-S2 | 2.5890(8) |
| Ag1-S1 | 2.5747(6) | Ag1-S1# | 2.6788(7) |
| Bonds | Angle | Bonds | Angle |
| N2##-Ag1-S1 | 132.38(8) | S2-Ag1-Ag1# | 115.482(15) |
| N2##-Ag1-S2 | 106.15(7) | S1-Ag1#-Ag1 | 48.637(14) |
| S1-Ag1-S2 | 100.97(2) | C1-S1-Ag1 | 103.49(8) |
| N2##-Ag1-S1# | 105.56(7) | C1-S1-Ag1# | 98.38(9) |
| S1-Ag1-S1# | 99.980(19) | Ag1-S1-Ag1 | 80.020(19) |
| S2-Ag1-S1# | 111.08(2) | C2-S2-Ag1 | 97.88(9) |
| N2-Ag1-Ag1# | 136.58(7) | C2-N2-Ag1### | 172.9(2) |
| S1#-Ag1#-Ag1 | 51.343(15) |
Disclaimer/Publisher’s Note: The statements, opinions and data contained in all publications are solely those of the individual author(s) and contributor(s) and not of MDPI and/or the editor(s). MDPI and/or the editor(s) disclaim responsibility for any injury to people or property resulting from any ideas, methods, instructions or products referred to in the content. |
© 2023 by the authors. Licensee MDPI, Basel, Switzerland. This article is an open access article distributed under the terms and conditions of the Creative Commons Attribution (CC BY) license (https://creativecommons.org/licenses/by/4.0/).
Share and Cite
Altowyan, M.S.; Fathalla, E.M.; Albering, J.H.; Abu-Youssef, M.A.M.; Kassem, T.S.; Barakat, A.; Haukka, M.; Badr, A.M.A.; Soliman, S.M. Synthesis, X-ray Structures and Hirshfeld Analysis of Two Novel Thiocyanate-Bridged Ag(I) Coordination Polymers. Inorganics 2023, 11, 417. https://doi.org/10.3390/inorganics11100417
Altowyan MS, Fathalla EM, Albering JH, Abu-Youssef MAM, Kassem TS, Barakat A, Haukka M, Badr AMA, Soliman SM. Synthesis, X-ray Structures and Hirshfeld Analysis of Two Novel Thiocyanate-Bridged Ag(I) Coordination Polymers. Inorganics. 2023; 11(10):417. https://doi.org/10.3390/inorganics11100417
Chicago/Turabian StyleAltowyan, Mezna Saleh, Eman M. Fathalla, Jörg H. Albering, Morsy A. M. Abu-Youssef, Taher S. Kassem, Assem Barakat, Matti Haukka, Ahmed M. A. Badr, and Saied M. Soliman. 2023. "Synthesis, X-ray Structures and Hirshfeld Analysis of Two Novel Thiocyanate-Bridged Ag(I) Coordination Polymers" Inorganics 11, no. 10: 417. https://doi.org/10.3390/inorganics11100417
APA StyleAltowyan, M. S., Fathalla, E. M., Albering, J. H., Abu-Youssef, M. A. M., Kassem, T. S., Barakat, A., Haukka, M., Badr, A. M. A., & Soliman, S. M. (2023). Synthesis, X-ray Structures and Hirshfeld Analysis of Two Novel Thiocyanate-Bridged Ag(I) Coordination Polymers. Inorganics, 11(10), 417. https://doi.org/10.3390/inorganics11100417

