Novel Sulfone 2-Aminobenzimidazole Derivatives and Their Coordination Compounds: Contribution of the Ethyl and Phenyl Substituents on Non-Covalent Molecular Interactions; Biological Antiproliferative Activity
Abstract
:1. Introduction
2. Results and Discussion
2.1. Spectroscopic Characterization and Magnetic Susceptibility
2.1.1. IR Spectra
2.1.2. Electronic Spectroscopy and Magnetic Susceptibility
2.1.3. NMR Studies
2.2. X-ray Structures of the Ligands and Their Coordination Compounds
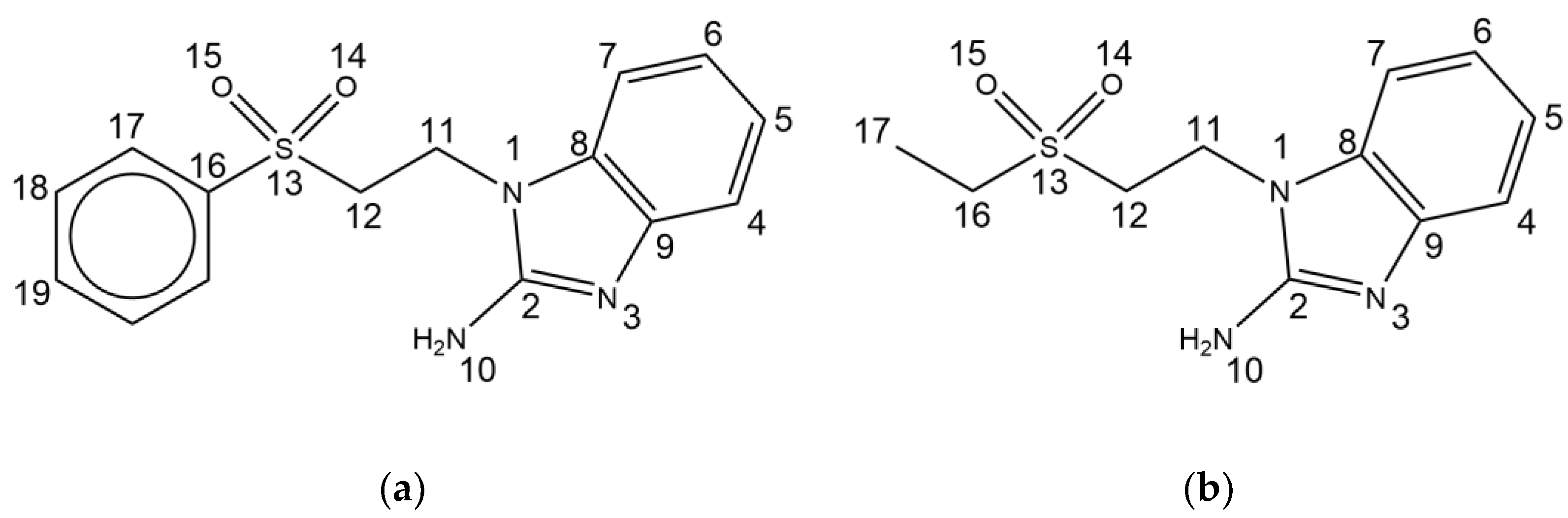
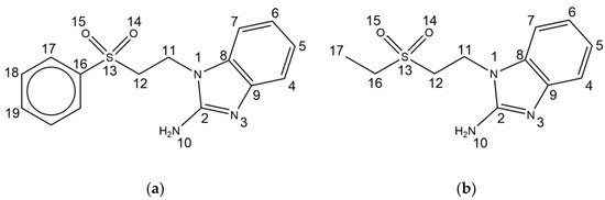
2.2.1. Crystal Structure of the 2-Aminobenzimidazolic Ligands
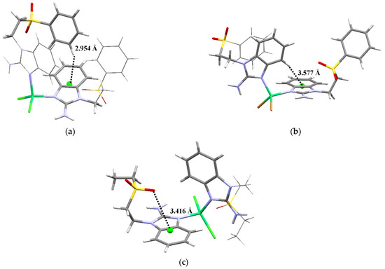
2.2.2. Crystal Structure of the Coordination Compounds of seabz and sfabz
2.3. Stability in Solution and Antiproliferative Activity
3. Experimental
3.1. Materials
3.2. Synthesis of the Ligands
3.2.1. Synthesis of 2-Amino-1-(2-phenylsulfonyl)ethylbenzimidazole (sfabz)
3.2.2. Synthesis of 2-Amino-1-(2-ethylsulfonyl)ethylbenzimidazole (seabz)
3.3. Synthesis of the Coordination Compounds
3.3.1. [Ni(sfabz)2Cl2] (1)
3.3.2. [Ni(sfabz)2Br2] (2)
3.3.3. [Ni(seabz)2Cl2] (3)
3.3.4. [Ni(seabz)2Br2] (4)
3.3.5. [Cu(sfabz)2Cl2] (5)
3.3.6. [Cu(sfabz)2Br2] (6)
3.3.7. [Cu(seabz)2Cl2] (7)
3.3.8. [Cu(seabz)2Br2] (8)
3.3.9. [Zn(sfabz)2Cl2] (9)
3.3.10. [Zn(sfabz)2Br2] (10)
3.3.11. [Zn(seabz)2Cl2] (11)
3.3.12. [Zn(seabz)2Br2] (12)
3.3.13. [Cd(sfabz)2Cl2] (13)
3.3.14. [Cd(seabz)2Cl2] (14)
3.3.15. [Hg(sfabz)2Cl2] (15)
3.3.16. [Hg(seabz)2Cl2] (16)
3.4. Physical Measurements
3.5. Solution Studies
3.6. X-ray Crystallography
3.7. Cell Growth Inhibition
3.7.1. Cell Culture
3.7.2. In Vitro Growth Inhibition Assay
4. Conclusions
Supplementary Materials
Author Contributions
Funding
Data Availability Statement
Acknowledgments
Conflicts of Interest
References
- Alderden, R.A.; Hall, M.D.; Hambley, T.W. The Discovery and Development of Cisplatin. J. Chem. Educ. 2006, 83, 728–734. [Google Scholar] [CrossRef]
- Wang, Y.; Wang, X.; Wang, J.; Zhao, Y.; He, W.; Guo, Z. Noncovalent Interactions between a Trinuclear Monofunctional Platinum Complex and Human Serum Albumin. Inorg. Chem. 2011, 50, 12661–12668. [Google Scholar] [CrossRef]
- Qu, Y.; Kipping, R.G.; Farrell, N.P. Solution studies on DNA interactions of substitution-inert platinum complexes mediated via the phosphate clamp. Dalton Trans. 2015, 44, 3563–3572. [Google Scholar] [CrossRef] [PubMed]
- Miller, R.P.; Tadagavadi, R.K.; Ramesh, G.; Reeves, W.B. Mechanisms of Cisplatin Nephrotoxicity. Toxins 2010, 2, 2490–2518. [Google Scholar] [CrossRef] [PubMed]
- Laurell, G.; Jungnelius, U. High-dose cisplatin treatment: Hearing loss and plasma concentrations. Laryngoscope 1990, 100, 724–734. [Google Scholar] [CrossRef]
- Bruijnincx, P.C.A.; Sadler, P.J. New trends for metal complexes with anticancer activity. Curr. Opin. Chem. Biol. 2008, 12, 197–206. [Google Scholar] [CrossRef]
- Hernández-Romero, D.; Rosete-Luna, S.; López-Monteon, A.; Chávez-Piña, A.; Pérez-Hernández, N.; Marroquín-Flores, J.; Cruz-Navarro, A.; Pesado-Gómez, G.; Morales-Morales, D.; Colorado-Peralta, R. First-row transition metal compounds containing benzimidazole ligands: An overview of their anticancer and antitumor activity. Coord. Chem. Rev. 2021, 439, 213930–213981. [Google Scholar] [CrossRef]
- Erxleben, A. Interactions of copper complexes with nucleic acids. Coord. Chem. Rev. 2018, 360, 92–121. [Google Scholar] [CrossRef]
- Erxleben, A. Investigation of Non-covalent Interactions of Metal Complexes with DNA in Cell-free Systems. Chimia 2017, 71, 102–111. [Google Scholar] [CrossRef]
- Zoroddu, M.A.; Aaseth, J.; Crisponi, G.; Medici, S.; Peana, M.; Nurchi, V.M. The essential metals for humans: A brief overview. J. Inorg. Biochem. 2019, 195, 120–129. [Google Scholar] [CrossRef]
- Pages, B.J.; Ang, D.L.; Wright, E.P.; Aldrich-Wright, J.R. Metal complex interactions with DNA. Dalton Trans. 2015, 44, 3505–3526. [Google Scholar] [CrossRef] [PubMed]
- Zhou, P.; Huang, J.; Tian, F. Specific noncovalent interactions at protein-ligand interface: Implications for rational drug design. Curr. Med. Chem. 2012, 19, 226–238. [Google Scholar] [CrossRef] [PubMed]
- Lu, J.P.; Yuan, X.H.; Yuan, H.; Wang, W.L.; Wan, B.; Franzblau, S.G.; Ye, Q.Z. Inhibition of Mycobacterium tuberculosis methionine aminopeptidases by bengamide derivatives. Chem. Med. Chem. 2011, 6, 1041–1048. [Google Scholar] [CrossRef]
- Lu, J.P.; Yuan, X.H.; Ye, Q.Z. Structural analysis of inhibition of Mycobacterium tuberculosis methionine aminopeptidase by bengamide derivatives. Eur. J. Med. Chem. 2012, 47, 479–484. [Google Scholar] [CrossRef]
- Rehman, S.U.; Sarwar, T.; Husain, M.A.; Ishqi, H.M.; Tabish, M. Studying non-covalent drug-DNA interactions. Arch. Biochem. Biophys. 2015, 576, 49–60. [Google Scholar] [CrossRef]
- Burge, S.; Parkinson, G.N.; Hazel, P.; Todd, A.K.; Neidle, S. Quadruplex DNA: Sequence, topology and structure. Nucleic Acids Res. 2006, 34, 5402–5415. [Google Scholar] [CrossRef]
- Reed, J.E.; Arnal, A.A.; Neidle, S.; Vilar, R. Stabilization of G-Quadruplex DNA and Inhibition of Telomerase Activity by Square-Planar Nickel(II) Complexes. J. Am. Chem. Soc. 2006, 128, 5992–5993. [Google Scholar] [CrossRef] [PubMed]
- Sabater, L.; Fang, P.J.; Chang, C.F.; De Rache, A.; Prado, E.; Dejeu, J.; Garofalo, A.; Lin, J.H.; Mergny, J.L.; Defrancq, E.; et al. Cobalt(iii)porphyrin to target G-quadruplex DNA. Dalton Trans. 2015, 44, 3701–3707. [Google Scholar] [CrossRef] [PubMed]
- Stafford, V.S.; Suntharalingam, K.; Shivalingam, A.; White, A.J.P.; Mann, D.J.; Vilar, R. Syntheses of polypyridyl metal complexes and studies of their interaction with quadruplex DNA. Dalton Trans. 2015, 44, 3686–3700. [Google Scholar] [CrossRef]
- Gratteri, P.; Massari, L.; Michelucci, E.; Rigo, R.; Messori, L.; Cinellu, M.A.; Musetti, C.; Sissi, C.; Bazzicalupi, C. Interactions of selected gold(III) complexes with DNA G quadruplexes. Dalton Trans. 2015, 44, 3633–3639. [Google Scholar] [CrossRef]
- Malina, J.; Farrell, N.P.; Brabec, V. DNA Condensing Effects and Sequence Selectivity of DNA Binding of Antitumor Noncovalent Polynuclear Platinum Complexes. Inorg. Chem. 2014, 53, 1662–1671. [Google Scholar] [CrossRef] [PubMed]
- Navarro-Peñaloza, R.; Landeros-Rivera, B.; López-Sandoval, H.; Castro-Ramírez, R.; Barba-Behrens, N. New insights on transition metal coordination compounds with biological active azole and nitroimidazole derivatives. Coord. Chem. Rev. 2023, 494, 215360. [Google Scholar] [CrossRef]
- Alfaro-Fuentes, I.; Castro-Ramírez, R.; Ortiz-Pastrana, N.; Medina-Guerrero, R.M.; Soler-Jiménez, L.C.; Martínez-Rodríguez, I.; Bethancourt-Lozano, M.; Ibarra-Castro, L.; Barba-Behrens, N.; Fajer-Ávila, E.J. Novel antihelmintic activity of tinidazole coordination compounds. Relevance of the metal ion and structural properties. J. Inorg. Biochem. 2017, 176, 159–167. [Google Scholar] [CrossRef]
- Santra, R.C.; Sengupta, K.; Dey, R.; Shireen, T.; Das, O.; Duin, P.S.; Mukhopashyay, K.; Das, S. X-ray crystal structure of a Cu(II) complex with the antiparasitic drug tinidazole, interaction with calf thymus DNA and evidence for antibacterial activity. J. Coord. Chem. 2014, 67, 265–285. [Google Scholar] [CrossRef]
- Nandy, P.; Santra, R.C.; Lahiri, D.; Nag, M.; Das, S. In Situ Reactivity of Electrochemically Generated Nitro Radical Anion on Tinidazole and Its Monomeric and Dimeric CuII Complexes on Model Biological Targets with Relative Manifestation of Preventing Bacterial Biofilm Formation. ACS Omega 2022, 7, 8268–8280. [Google Scholar] [CrossRef] [PubMed]
- Castro-Ramírez, R.; Ortiz-Pastrana, N.; Caballero, A.B.; Zimmermann, M.T.; Stadelman, B.S.; Gaertner, A.A.E.; Brumaghim, J.L.; Korrodi-Gregório, L.; Pérez-Tomás, R.; Gamez, P.; et al. DNA interactions of non-chelating tinidazole-based coordination compounds and their structural, redox and cytotoxic properties. Dalton Trans. 2018, 47, 7551–7560. [Google Scholar] [CrossRef]
- Ramírez-Palma, L.G.; Castro-Ramírez, R.; Lozano-Ramos, L.; Galindo-Murillo, R.; Barba-Behrens, N.; Cortés-Guzmán, F. DNA recognition site of anticancer tinidazole copper(ii) complexes. Dalton Trans. 2023, 52, 2087–2095. [Google Scholar] [CrossRef]
- Novoa-Ramírez, C.S.; Silva-Becerril, A.; González-Ballesteros, M.M.; Flores-, M.; Ortiz-Frade, L.; Gracia-Mora, J.; Ruiz-Azuara, L. Biological activity of mixed chelate copper(II) complexes, with substituted diimine and tridentate Schiff bases (NNO) and their hydrogenated derivatives as secondary ligands: Casiopeína’s fourth generation. J. Inorg. Biochem. 2023, 242, 112097. [Google Scholar] [CrossRef]
- Pessoa, J.C.; Correia, I. Salan vs. salen metal complexes in catalysis and medicinal applications: Virtues and pitfalls. Coord. Chem. Rev. 2019, 388, 227–247. [Google Scholar] [CrossRef]
- Hangan, A.C.; Lucaciu, R.L.; Turza, A.; Dican, L.; Sevastre, B.; Páll, E.; Oprean, L.S.; Borodi, G. New Copper Complexes with Antibacterial and Cytotoxic Activity. Int. J. Mol. Sci. 2023, 24, 13819. [Google Scholar] [CrossRef]
- Alem, M.B.; Damena, T.; Desalegn, T.; Koobotse, M.; Eswaramoorthy, R.; Ngwira, K.J.; Ombito, J.O.; Zachariah, M.; Demissie, T.B. Cytotoxic mixed-ligand complexes of Cu(II): A combined experimental and computational study. Front. Chem. 2022, 10, 1028957. [Google Scholar] [CrossRef] [PubMed]
- Ali, A.; Banerjee, S.; Kamaal, S.; Usman, M.; Das, N.; Afzal, M.; Alarifi, A.; Sepay, N.; Roy, P.; Ahmad, M. Ligand substituent effect on the cytotoxicity activity of two new copper(II) complexes bearing 8-hydroxyquinoline derivatives: Validated by MTT assay and apoptosis in MCF-7 cancer cell line (human breast cancer). RSC Adv. 2021, 11, 14362. [Google Scholar] [CrossRef] [PubMed]
- Karges, J.; Xiong, K.; Blacque, O.; Chao, H.; Gasser, G. Highly cytotoxic copper(II) terpyridine complexes as anticancer drug candidates. Inorg. Chim. Acta 2021, 516, 120137. [Google Scholar] [CrossRef]
- Enslin, L.E.; Purkait, K.; Pozza, M.D.; Saubamea, B.; Mesdom, P.; Gasser, G.; Schutte-Smith, M. Unique Metal-Ligand Interplay in Directing Discrete and Polymeric Derivatives of Isomeric Azole-Carboxylate. Varying Electronic Form, C-C Coupling, and Receptor Feature. Inorg. Chem. 2023, 62, 7779–7794. [Google Scholar] [CrossRef]
- da Silva dos Reis Conde, C.A.; Querino, A.L.A.; Silva, H.; Navarro, M. Silver(I) complexes containing N-heterocyclic carbene azole drugs: Synthesis, characterization, cytotoxic activity, and their BSA interactions. J. Inorg. Biochem. 2023, 246, 112303. [Google Scholar] [CrossRef]
- Navarro, M.; Higuera-Padilla, A.R.; Arsenak, M.; Taylor, P. Synthesis, characterization, DNA interaction studies and anticancer activity of platinum–clotrimazole complexes. Transit. Met. Chem. 2009, 34, 869–875. [Google Scholar] [CrossRef]
- Fernández-Pampín, N.; Vaquero, M.; Gil, T.; Espino, G.; Fernández, D.; García, B.; Busto, N. A [Pt(cis-1,3-diaminocycloalkane)Cl2] analog exhibits hallmarks typical of immunogenic cell death inducers in model cancer cells. J. Inorg. Biochem. 2022, 226, 11166. [Google Scholar]
- Navarro, M.; Justo, R.M.S.; Delgado, G.Y.S.; Visbal, G. Metallodrugs for the Treatment of Trypanosomatid Diseases: Recent Advances and New Insights. Curr. Pharm. Des. 2021, 27, 1763–1789. [Google Scholar] [CrossRef]
- Mohamed, H.A.; Shepherd, S.; William, N.; Blundell, H.A.; Das, M.; Pask, C.M.; Lake, B.R.M.; Phillips, R.M.; Nelson, A.; Willans, C.E. Silver(I) N-Heterocyclic Carbene Complexes Derived from Clotrimazole: Antiproliferative Activity and Interaction with an Artificial Membrane-Based Biosensor. Organometallics 2020, 39, 1318–1331. [Google Scholar] [CrossRef]
- Soba, M.; Scales, G.; Casuriaga, F.; Pérez, N.; Veiga, N.; Echeverría, G.A.; Piro, O.E.; Faccio, R.; Pérez-Díaz, L.; Gasser, G.; et al. Multifunctional organometallic compounds for the treatment of Chagas disease: Re(i) tricarbonyl compounds with two different bioactive ligands. Dalton Trans. 2023, 52, 1623–1641. [Google Scholar] [CrossRef]
- Betanzos-Lara, S.; Gómez-Ruiz, C.; Barrón-Sosa, L.R.; Gracia-Mora, I.; Flores-Álamo, M.; Barba-Behrens, N. Cytotoxic copper(II), cobalt(II), zinc(II), and nickel(II) coordination compounds of clotrimazole. J. Inorg. Biochem. 2012, 114, 82–93. [Google Scholar] [CrossRef]
- Betanzos-Lara, S.; Chmel, N.P.; Zimmerman, M.T.; Barron-Sosa, L.R.; Salassa, L.; Rodger, A.; Brumaghim, J.; Gracia-Mora, I.; Barba-Behrens, N. Redox-active and DNA-binding coordination complexes of clotrimazole. Dalton Trans. 2015, 44, 3673–3685. [Google Scholar] [CrossRef]
- Zhao, X.J.; Li, J.; Ding, B.; Wang, X.G.; Yang, E.C. The irreversible crystal transformation of a novel Cadmium(II) supramolecular complex containing planar tetrameric water cluster. Inorg. Chem. Commun. 2007, 10, 605–609. [Google Scholar] [CrossRef]
- Esparza-Ruiz, A.; Peña-Hueso, A.; Mijangos, E.; Osorio-Monreal, G.; Nöth, H.; Flores-Parra, A.; Contreras, R.; Barba-Behrens, N. Cobalt(II), nickel(II) and zinc(II) coordination compounds derived from aromatic amines. Polyhedron 2011, 30, 2090–2098. [Google Scholar] [CrossRef]
- Durán-Solares, G.; Fugarolas-Gómez, W.; Ortíz-Pastrana, N.; López-Sandoval, H.; Villaseñor-Granados, T.O.; Flores-Parra, A.; Altmann, P.J.; Barba-Behrens, N. Lone pair···π interactions on the stabilization of intra and intermolecular arrangements of coordination compounds with 2-methyl imidazole and benzimidazole derivatives. J. Coord. Chem. 2018, 71, 1953–1958. [Google Scholar] [CrossRef]
- Sudha, S.; Karabacak, M.; Kurt, M.; Cinar, M.; Sundaraganesan, N. Molecular structure, vibrational spectroscopic, first-order hyperpolarizability and HOMO, LUMO studies of 2-aminobenzimidazole. Spectrochim. Acta-Part A Mol. Biomol. Spectrosc. 2011, 84, 184–195. [Google Scholar] [CrossRef]
- Lever, A.B.P. Electronic Spectra of Some Transition Metal Complexes. J. Chem. Ed. 1968, 45, 711–712. [Google Scholar] [CrossRef]
- Mugiraneza, S.; Hallas, A.M. Nuclear and magnetic spin structure of the antiferromagnetic triangular lattice compound LiCrTe2 investigated by μ+SR, neutron and X-ray diffraction. Commun. Phys. 2022, 5, 1–12. [Google Scholar]
- Lever, A.B.P. Inorganic Electronic Spectroscopy; Elsevier: Amsterdam, The Netherlands, 1984. [Google Scholar]
- Navarro-Peñaloza, R.; Vázquez-Palma, A.B.; López-Sandoval, H.; Sánchez-Bartéz, F.; Gracia-Mora, I.; Barba-Behrens, N. Coordination compounds with heterocyclic ester derivatives. Structural characterization and anti-proliferative activity. J. Inorg. Biochem. 2021, 219, 111432. [Google Scholar] [CrossRef] [PubMed]
- Kruse, H.; Mrazikova, K.; D’Ascenzo, L.; Sponer, J.; Auffinger, P. Short but Weak: The Z-DNA Lone-Pair⋅⋅⋅π Conundrum Challenges Standard Carbon Van der Waals Radii. Angew. Chem. Int. Ed. 2020, 59, 16553–16560. [Google Scholar] [CrossRef]
- Kalra, K.; Gorle, S.; Cavallo, L.; Oliva, R.; Chawla, M. Occurrence and stability of lone pair-π and OH–π interactions between water and nucleobases in functional RNAs. Nucleic Acids Res. 2020, 11, 5825–5838. [Google Scholar] [CrossRef] [PubMed]
- Sheldrick, G.M. A Short History of SHELX. Acta Crystallogr. Sect. A Found. Crystallogr. 2008, 64, 112. [Google Scholar] [CrossRef] [PubMed]
- Clark, R.C.; Reid, J.S. The analytical calculation of absorption in multifaceted crystals. Acta Crystallogr. Sect. A Found. Crystallogr. 1995, 51, 887. [Google Scholar] [CrossRef]
- Hübschle, C.B.; Sheldrick, G.M.; Dittrich, B. ShelXle: A Qt Graphical User Interface for SHELXL. J. Appl. Crystallogr. 2011, 44, 1281–1284. [Google Scholar] [CrossRef]
- Orellana, E.A.; Kasinski, A.L. Sulforhodamine B (SRB) Assay in Cell Culture to Investigate Cell Proliferation. Bio-protocol 2016, 6, e1984. [Google Scholar] [CrossRef]








| Compound | υ1 = 3T2(F) ← 3T1(F) | υ2 =3A2(F) ← 3T1(F) | υ3 = 3T1(P) ← 3T1(F) | μeff (B.M.) |
|---|---|---|---|---|
| [Ni(sfabz)2Cl2] (1) | 5241 cm−1 | 9257 cm−1 | 16,993 cm−1 | 3.85 |
| [Ni(sfabz)2Br2] (2) | 5143 cm−1 | 9778 cm−1 | 16,135 cm−1 | 3.91 |
| [Ni(seabz)2Cl2] (3) | 5423 cm−1 | 10,250 cm−1 | 16,690 cm−1 | 3.60 |
| [Ni(seabz)2Br2] (4) | 5312 cm−1 | 10,096 cm−1 | 16,454 cm−1 | 3.64 |
| Compound | υ1 = 2T ← 2E Solid State | υ1 = 2T ← 2E DMSO Solution | --- | μeff (B.M.) |
| [Cu(sfabz)2Cl2] (5) | 11,000 cm−1 | 11,049 cm−1 (905 nm) | --- | 1.88 |
| [Cu(sfabz)2Br2] (6) | 8670 cm−1 | 11,481 cm−1 (871 nm) | --- | 1.91 |
| [Cu(seabz)2Cl2] (7) | 9506 cm−1 | 10,989 cm−1 (910 nm) | --- | 2.15 |
| [Cu(seabz)2Br2] (8) | 8526 cm−1 | 11,521 cm−1(868 nm) | --- | 2.16 |
| Position | sfabz Series (Zn/Cd/Hg) | seabz Series (Zn/Cd/Hg) | ||
|---|---|---|---|---|
| Δδ (ppm) | Effect | Δδ (ppm) | Effect | |
| H4 | 0.16/0.17/0.17 | deshielding | 0.13/0.21/0.17 | deshielding |
| H5 | 0.05/N.S./0.09 | deshielding | 0.11/0.10/0.14 | deshielding |
| H6 | 0.13/0.06/0.15 | deshielding | 0.08/N.S./0.09 | deshielding |
| H7 | 0.18/0.08/0.20 | deshielding | 0.13/0.08/0.14 | deshielding |
| H10 | 0.78/0.32/0.69 | deshielding | 0.84/0.38/0.65 | deshielding |
| H11 | 0.12/N.S./0.11 | deshielding | 0.11/N.S./0.08 | deshielding |
| H12 | 0.09/N.S./0.09 | deshielding | 0.09/N.S./0.06 | deshielding |
| Position | sfabz Series (Zn/Cd/Hg) | seabz Series (Zn/Cd/Hg) | ||
|---|---|---|---|---|
| Δδ (ppm) | Effect | Δδ (ppm) | Effect | |
| C2 | 0.1/0.2/0.2 | deshielding | 0.1/0.1/0.2 | deshielding |
| C4 | 0.7/0.2/0.9 | Zn, Hg deshielding Cd shielding | 0.8/0.2/0.8 | Zn, Hg deshielding Cd shielding |
| C5 | 1.1/0.4/1.1 | deshielding | 1.2/0.5/1.0 | deshielding |
| C6 | 2.0/1.0/1.9 | deshielding | 2.0/1.1/1.8 | deshielding |
| C7 | 1.3/0.5/1.4 | deshielding | 1.2/0.6/1.1 | deshielding |
| C8 | 1.6/0.8/1.4 | shielding | 1.6/0.9/1.3 | shielding |
| C9 | 3.9/2.0/3.7 | shielding | 4.4/2.5/3.4 | shielding |
| C11 | 0.3/0.1/0.5 | deshielding | 0.2/0.1/0.3 | deshielding |
| C12 | 0.6/0.3/0.7 | shielding | 0.6/0.3/0.5 | shielding |
| Compound | Angle | Degrees (°) | Bond | Distance (Å) |
|---|---|---|---|---|
| [Ni(sfabz)2Cl2] (1) | N-Ni-N’ | 102.0(1) | Ni-Cl | 2.233(9) |
| N-Ni-Cl | 107.91(9) | Ni-Cl’ | 2.258(1) | |
| N-Ni-Cl’ | 106.21(9) | Ni-N | 1.987(3) | |
| N’-Ni-Cl | 111.73(9) | Ni-N’ | 1.979(3) | |
| N’-Ni-Cl’ | 106.22(9) | |||
| Cl-Ni-Cl’ | 121.06(3) | |||
| [Ni(sfabz)2Br2] (2) | N-Ni-N’ | 107.94(8) | Ni-Br | 2.392(4) |
| N-Ni-Br | 109.49(6) | Ni-Br’ | 2.414(4) | |
| N-Ni-Br’ | 103.65(6) | Ni-N | 1.975(2) | |
| N’-Ni-Br | 112.06(6) | Ni-N’ | 1.969(2) | |
| N’-Ni-Br’ | 109.12(6) | |||
| Br-Ni-Br’ | 114.09(2) | |||
| [Ni(seabz)2Cl2] (3) | N-Ni-N’ | 102.00(1) | Ni-Cl | 2.256(10) |
| N-Ni-Cl | 109.09(8) | Ni-Cl’ | 2.282(9) | |
| N-Ni-Cl’ | 108.79(8) | Ni-N | 1.967(2) | |
| N’-Ni-Cl | 107.95(8) | Ni-N’ | 1.974(3) | |
| N’-Ni-Cl’ | 107.22(8) | |||
| Cl-Ni-Cl’ | 120.25(3) |
| Compound | Angle | Degrees (°) | Bond | Distance (Å) |
|---|---|---|---|---|
| [Zn(sfabz)2Cl2] (9) | N-Zn-N’ | 108.78(1) | Zn-Cl | 2.244(2) |
| N-Zn-Cl | 106.71(1) | Zn-Cl’ | 2.285(2) | |
| N-Zn-Cl’ | 111.63(1) | Zn-N | 1.996(3) | |
| N’-Zn-Cl | 115.17(1) | Zn-N’ | 1.989(4) | |
| N’-Zn-Cl’ | 106.72(1) | |||
| Cl-Zn-Cl’ | 107.91(5) | |||
| [Zn(sfabz)2Br2] (10) | N-Zn-N’ | 111.07(1) | Zn-Br | 2.399(6) |
| N-Zn-Br | 110.34(9) | Zn-Br’ | 2.430(6) | |
| N-Zn-Br’ | 106.04(9) | Zn-N | 1.999(3) | |
| N’-Zn-Br | 110.89(9) | Zn-N’ | 1.992(3) | |
| N’-Zn-Br’ | 109.85(9) | |||
| Br-Zn-Br’ | 108.52(2) |
| HCT-15 IC50 (μM) | MCF-7 IC50 (μM) | HeLa IC50 (μM) | A549 IC50 (μM) | L929 IC50 (μM) | |
|---|---|---|---|---|---|
| Sfabz | 395.4 | 406.4 | 386.3 | 360.4 | 352.5 |
| [Cu(sfabz)2Cl2] (5) | 161.3 | 136.6 | 29.8 | 153.6 | 148.3 |
| [Cu(sfabz)2Br2] (6) | 133.9 | 118.6 | 15.0 | 135.5 | 122.5 |
| [Zn(sfabz)2Cl2] (9) | 140.1 | 148.5 | 144.7 | 170.8 | 140.9 |
| [Zn(sfabz)2Br2] (10) | 144.8 | 130.2 | 189.8 | 140.6 | 137.4 |
| Seabz | 898.6 | 496.7 | 748.0 | 1311.8 | 2364.9 |
| [Cu(seabz)2Cl2] (7) | 168.8 | 147.3 | 109.7 | 166.9 | 176.7 |
| [Cu(seabz)2Br2] (8) | 159.9 | 139.1 | 142.0 | 163.0 | 147.2 |
| [Zn(seabz)2Cl2] (11) | 184.2 | 163.6 | 194.0 | 176.9 | 166.3 |
| [Zn(seabz)2Br2] (12) | 167.8 | 160.8 | 167.3 | 266.3 | 150.8 |
| cisplatin | 32.7 | 32.3 | 19.0 | 34.9 | 43.2 |
Disclaimer/Publisher’s Note: The statements, opinions and data contained in all publications are solely those of the individual author(s) and contributor(s) and not of MDPI and/or the editor(s). MDPI and/or the editor(s) disclaim responsibility for any injury to people or property resulting from any ideas, methods, instructions or products referred to in the content. |
© 2023 by the authors. Licensee MDPI, Basel, Switzerland. This article is an open access article distributed under the terms and conditions of the Creative Commons Attribution (CC BY) license (https://creativecommons.org/licenses/by/4.0/).
Share and Cite
Colorado-Solís, D.; Castro-Ramírez, R.; Sánchez-Bartéz, F.; Gracia-Mora, I.; Barba-Behrens, N. Novel Sulfone 2-Aminobenzimidazole Derivatives and Their Coordination Compounds: Contribution of the Ethyl and Phenyl Substituents on Non-Covalent Molecular Interactions; Biological Antiproliferative Activity. Inorganics 2023, 11, 392. https://doi.org/10.3390/inorganics11100392
Colorado-Solís D, Castro-Ramírez R, Sánchez-Bartéz F, Gracia-Mora I, Barba-Behrens N. Novel Sulfone 2-Aminobenzimidazole Derivatives and Their Coordination Compounds: Contribution of the Ethyl and Phenyl Substituents on Non-Covalent Molecular Interactions; Biological Antiproliferative Activity. Inorganics. 2023; 11(10):392. https://doi.org/10.3390/inorganics11100392
Chicago/Turabian StyleColorado-Solís, David, Rodrigo Castro-Ramírez, Francisco Sánchez-Bartéz, Isabel Gracia-Mora, and Norah Barba-Behrens. 2023. "Novel Sulfone 2-Aminobenzimidazole Derivatives and Their Coordination Compounds: Contribution of the Ethyl and Phenyl Substituents on Non-Covalent Molecular Interactions; Biological Antiproliferative Activity" Inorganics 11, no. 10: 392. https://doi.org/10.3390/inorganics11100392
APA StyleColorado-Solís, D., Castro-Ramírez, R., Sánchez-Bartéz, F., Gracia-Mora, I., & Barba-Behrens, N. (2023). Novel Sulfone 2-Aminobenzimidazole Derivatives and Their Coordination Compounds: Contribution of the Ethyl and Phenyl Substituents on Non-Covalent Molecular Interactions; Biological Antiproliferative Activity. Inorganics, 11(10), 392. https://doi.org/10.3390/inorganics11100392

