Multi-Way Noiseless Signal Amplification in a Symmetrical Cascaded Four-Wave Mixing Process
Abstract
:1. Introduction
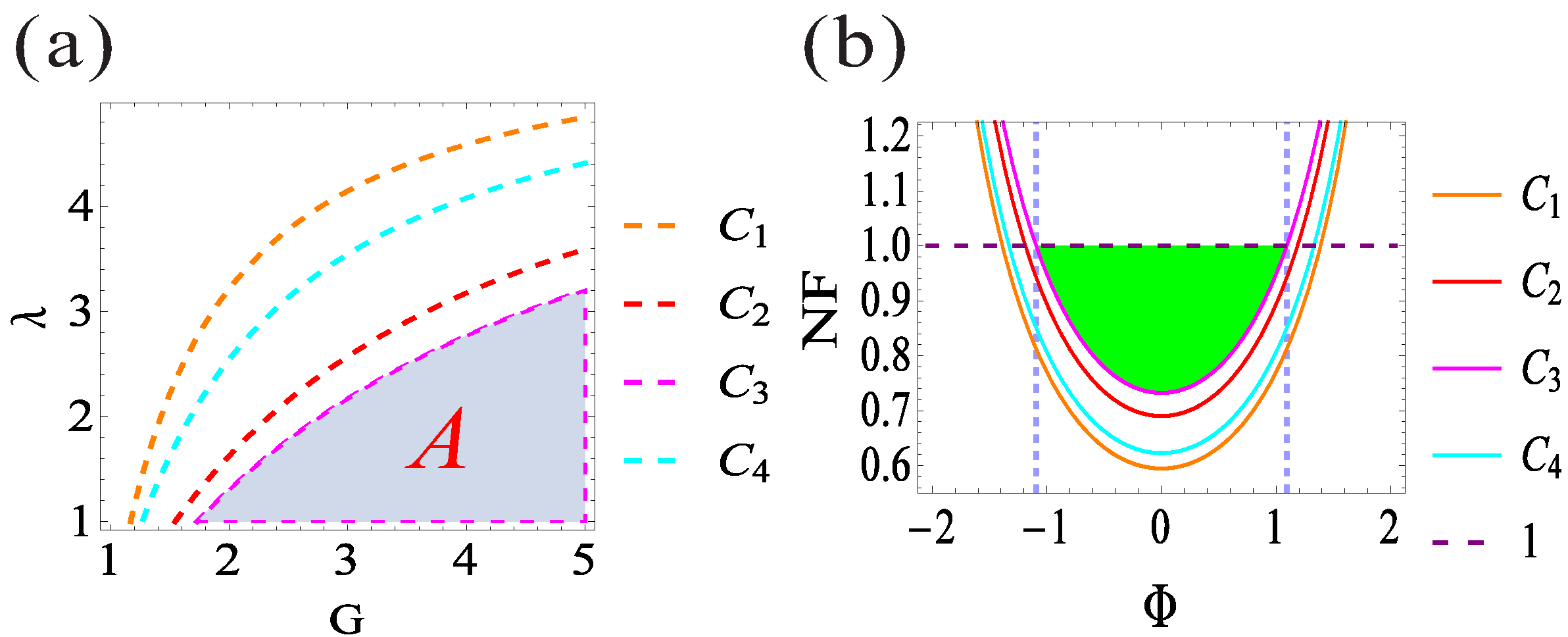
2. Symmetrical Cascaded FWM Process with Correlation Injection Scheme
3. Symmetrical Cascaded FWM Process with Two-Beam Phase-Sensitive Amplifier Scheme
4. Conclusions
Author Contributions
Funding
Institutional Review Board Statement
Informed Consent Statement
Data Availability Statement
Conflicts of Interest
References
- Levenson, J.A.; Abram, I.; Rivera, T.; Fayolle, P.; Garreau, J.C.; Grangier, P. Quantum Optical Cloning Amplifier. Phys. Rev. Lett. 1993, 70, 267–270. [Google Scholar] [CrossRef] [PubMed]
- Haus, H.A.; Mullen, J.A. Quantum Noise in Linear Amplifiers. Phys. Rev. 1962, 128, 2407–2413. [Google Scholar] [CrossRef]
- Caves, C.M. Quantum limits on noise in linear amplifiers. Phys. Rev. D 1982, 26, 1817–1839. [Google Scholar] [CrossRef]
- Lam, P.K.; Ralph, T.C.; Huntington, E.H.; Bachor, H.A. Noiseless Signal Amplification using Positive Electro-Optic Feedforward. Phys. Rev. Lett. 1997, 79, 1471–1474. [Google Scholar] [CrossRef] [Green Version]
- Adnane, H.; Teklu, B.; Paris, M.G.A. Quantum phase communication channels assisted by non-deterministic noiseless amplifiers. J. Opt. Soc. Am. B 2019, 36, 2938–2945. [Google Scholar] [CrossRef]
- Trapani, J.; Teklu, B.; Olivares, S.; Paris, M.G.A. Quantum phase communication channels in the presence of static and dynamical phase diffusion. Phys. Rev. A 2015, 92, 012317. [Google Scholar] [CrossRef] [Green Version]
- Brivio, D.; Cialdi, S.; Vezzoli, S.; Gebrehiwot, B.T.; Genoni, M.G.; Olivares, S.; Paris, M.G.A. Experimental estimation of one-parameter qubit gates in the presence of phase diffusion. Phys. Rev. A 2010, 81, 012305. [Google Scholar] [CrossRef] [Green Version]
- Genoni, M.G.; Olivares, S.; Brivio, D.; Cialdi, S.; Cipriani, D.; Santamato, A.; Vezzoli, S.; Paris, M.G.A. Optical interferometry in the presence of large phase diffusion. Phys. Rev. A 2012, 85, 043817. [Google Scholar] [CrossRef] [Green Version]
- Corzo, N.V.; Marino, A.M.; Jones, K.M.; Lett, P.D. Noiseless Optical Amplifier Operating on Hundreds of Spatial Modes. Phys. Rev. Lett. 2012, 109, 043602. [Google Scholar] [CrossRef]
- Rosati, M.; Mari, A.; Giovannetti, V. Coherent-state discrimination via nonheralded probabilistic amplification. Phys. Rev. A 2016, 93, 062315. [Google Scholar] [CrossRef] [Green Version]
- McCormick, C.F.; Boyer, V.; Arimonda, E.; Lett, P.D. Strong relative intensity squeezing by four-wave mixing in rubidium vapor. Opt. Lett. 2007, 32, 178–180. [Google Scholar] [CrossRef] [PubMed] [Green Version]
- Boyer, V.; Marino, A.M.; Pooser, R.C.; Lett, P.D. Entangled Images from Four-Wave Mixing. Science 2008, 321, 544–547. [Google Scholar] [CrossRef] [PubMed] [Green Version]
- Liu, C.; Jing, J.; Zhou, Z.; Pooser, R.C.; Hudelist, F.; Zhou, L.; Zhang, W. Realization of low frequency and controllable bandwidth squeezing based on a four-wave-mixing amplifier in rubidium vapor. Opt. Lett. 2011, 36, 2979–2981. [Google Scholar] [CrossRef] [PubMed] [Green Version]
- Qin, Z.; Jing, J.; Zhou, J.; Liu, C.; Pooser, R.C.; Zhou, Z.; Zhang, W. Compact diode-laser-pumped quantum light source based on four-wave mixing in hot rubidium vapor. Opt. Lett. 2012, 37, 3141–3143. [Google Scholar] [CrossRef]
- Marino, A.M.; Pooser, R.C.; Boyer, V.; Lett, P.D. Tunable delay of Einstein–Podolsky-Rosen entanglement. Nature 2009, 457, 859–862. [Google Scholar] [CrossRef]
- Jasperse, M.; Turner, L.D.; Scholten, R.E. Relative intensity squeezing by four-wave mixing with loss: An analytic model and experimental diagnostic. Opt. Express 2011, 19, 3765–3774. [Google Scholar] [CrossRef] [Green Version]
- Guo, M.; Zhou, H.; Wang, D.; Gao, J.; Zhang, J.; Zhu, S. Experimental investigation of high-frequency-difference twin beams in hot cesium atoms. Phys. Rev. A 2014, 89, 033813. [Google Scholar] [CrossRef] [Green Version]
- Cao, L.; Qi, J.; Du, J.; Jing, J. Experimental generation of quadruple quantum-correlated beams from hot rubidium vapor by cascaded four-wave mixing using spatial multiplexing. Phys. Rev. A 2017, 95, 023803. [Google Scholar] [CrossRef]
- Cao, L.; Wang, W.; Lou, Y.; Du, J.; Jing, J. Experimental characterization of pairwise correlations from quadruple quantum correlated beams generated by cascaded four-wave mixing processes. Appl. Phys. Lett. 2018, 112, 251102. [Google Scholar] [CrossRef]
- Corzo, N.V. Multi-Spatial-Mode Phase Sensitive Optical Amplifier. Ph.D. Thesis, National Institute of Standards and Technology and University of Maryland, College Park, MD, USA, 2012. [Google Scholar]
- Wang, H.; Zhang, K.; Ni, Z.; Jing, J. Enhancement of quantum correlations using correlation injection scheme in a cascaded four-wave mixing processes. Opt. Express 2020, 28, 10633–10647. [Google Scholar] [CrossRef]
- Kong, J.; Hudelist, F.; Ou, Z.; Zhang, W. Cancellation of Internal Quantum Noise of an Amplifier by Quantum Correlation. Phys. Rev. Lett. 2013, 111, 033608. [Google Scholar] [CrossRef] [PubMed]
- Jing, J.; Liu, C.; Zhou, Z.; Ou, Z.; Zhang, W. Realization of a nonlinear interferometer with parametric amplifiers. Appl. Phys. Lett. 2011, 99, 011110. [Google Scholar] [CrossRef]
- Hudelist, F.; Kong, J.; Liu, C.; Jing, J.; Ou, Z.; Zhang, W. Quantum metrology with parametric amplifier based photon correlation interferometers. Nat. Commun. 2014, 5, 3049. [Google Scholar] [CrossRef] [PubMed] [Green Version]
- Fang, Y.; Jing, J. Quantum squeezing and entanglement from a two-mode phase-sensitive amplifier via four-wave mixing in rubidium vapor. New J. Phys. 2015, 17, 023027. [Google Scholar] [CrossRef] [Green Version]
- Fang, Y.; Feng, J.; Cao, L.; Wang, Y.; Jing, J. Experimental implementation of a nonlinear beamsplitter based on a phase-sensitive parametric amplifier. Appl. Phys. Lett. 2016, 108, 131106. [Google Scholar] [CrossRef]
- Liu, S.; Lou, Y.; Jing, J. Interference-Induced Quantum Squeezing Enhancement in a Two-beam Phase-Sensitive Amplifier. Phys. Rev. Lett. 2019, 123, 113602. [Google Scholar] [CrossRef]
- Knutson, E.M.; Cross, J.S.; Wyllie, S.; Glasser, R.T. Phase-sensitive amplification via multi-phase-matched four-wave mixing. Opt. Express 2020, 28, 22748–22754. [Google Scholar] [CrossRef]
- Wang, H.; Fabre, C.; Jing, J. Single-step fabrication of scalable multimode quantum resources using four-wave mixing with a spatially structured pump. Phys. Rev. A 2017, 95, 051802(R). [Google Scholar] [CrossRef]
- Knutson, E.M.; Swaim, J.D.; Wyllie, S.; Glasser, R.T. Optimal mode configuration for multiple phase-matched four-wave-mixing processes. Phys. Rev. A 2018, 98, 013828. [Google Scholar] [CrossRef] [Green Version]
- Swaim, J.D.; Knutson, E.M.; Danaci, O.; Glasser, R.T. Multimode four-wave mixing with a spatially structured pump. Opt. Lett. 2018, 43, 2716–2719. [Google Scholar] [CrossRef] [Green Version]
- Zhang, K.; Wang, W.; Liu, S.; Pan, X.; Du, J.; Lou, Y.; Yu, S.; Lv, S.; Treps, N.; Fabre, C.; et al. Reconfigurable Hexapartite Entanglement by Spatially Multiplexed Four-Wave Mixing Processes. Phys. Rev. Lett. 2020, 124, 090501. [Google Scholar] [CrossRef] [PubMed]
- Wang, H.; Zhang, K.; Treps, N.; Fabre, C.; Zhang, J.; Jing, J. Generation of hexapartite entanglement in a four-wave-mixing process with a spatially structured pump: Theoretical study. Phys. Rev. A 2020, 102, 022417. [Google Scholar] [CrossRef]
- Tong, Z.; Lundström, C.; Andrekson, P.A.; McKinstrie, C.J.; Karlsson, M.; Blessing, D.J.; Tipsuwannakul, E.; Puttnam, B.J.; Toda, H.; Nielsen, L.G. Towards ultrasensitive optical links enabled by low-noise phase-sensitive amplifiers. Nat. Photonics 2011, 5, 430–436. [Google Scholar] [CrossRef]
- Bruckmeier, R.; Hansen, H.; Schiller, S.; Mlynek, J. Realization of a Paradigm for Quantum Measurements: The Squeezed Light Beam Splitter. Phys. Rev. Lett. 1997, 79, 43–46. [Google Scholar] [CrossRef] [Green Version]
- Poizat, J.P.; Grangier, P. Experimental Realization of a Quantum Optical Tap. Phys. Rev. Lett. 1993, 70, 271–274. [Google Scholar] [CrossRef] [Green Version]
- Pereira, S.F.; Ou, Z.; Kimble, H.J. Backaction Evading Measurements for Quantum Nondemolition Detection and Quantum Optical Tapping. Phys. Rev. Lett. 1994, 72, 214–217. [Google Scholar] [CrossRef] [Green Version]
- Bencheikh, K.; Levenson, J.A.; Grangier, P.; Lopez, O. Quantum Nondemolition Demonstration via Repeated Backaction Evading Measurements. Phys. Rev. Lett. 1995, 75, 3422–3425. [Google Scholar] [CrossRef]
- Roch, J.F.; Vigneron, K.; Grelu, P.; Sinatra, A.; Poizat, J.P.; Grangier, P. Quantum Nondemolition Measurements Using Cold Trapped Atoms. Phys. Rev. Lett. 1997, 78, 634–637. [Google Scholar] [CrossRef]
- Bruckmeier, R.; Schneider, K.; Schiller, S.; Mlynek, J. Quantum Nondemolition Measurements Improved by a Squeezed Meter Input. Phys. Rev. Lett. 1997, 78, 1243–1246. [Google Scholar] [CrossRef]
- Bruckmeier, R.; Hansen, H.; Schiller, S. Repeated Quantum Nondemolition Measurements of Continuous Optical Waves. Phys. Rev. Lett. 1997, 79, 1463–1466. [Google Scholar] [CrossRef]
- Holland, M.J.; Collett, M.J.; Walls, D.F.; Levenson, M.D. Nonideal quantum nondemolition measurements. Phys. Rev. A 1990, 42, 2995–3005. [Google Scholar] [CrossRef] [PubMed]





Publisher’s Note: MDPI stays neutral with regard to jurisdictional claims in published maps and institutional affiliations. |
© 2022 by the authors. Licensee MDPI, Basel, Switzerland. This article is an open access article distributed under the terms and conditions of the Creative Commons Attribution (CC BY) license (https://creativecommons.org/licenses/by/4.0/).
Share and Cite
Wang, H.; Zhang, Y.; Zhang, X.; Zhao, C.; Jin, S.; Jing, J. Multi-Way Noiseless Signal Amplification in a Symmetrical Cascaded Four-Wave Mixing Process. Photonics 2022, 9, 229. https://doi.org/10.3390/photonics9040229
Wang H, Zhang Y, Zhang X, Zhao C, Jin S, Jing J. Multi-Way Noiseless Signal Amplification in a Symmetrical Cascaded Four-Wave Mixing Process. Photonics. 2022; 9(4):229. https://doi.org/10.3390/photonics9040229
Chicago/Turabian StyleWang, Hailong, Yajuan Zhang, Xiong Zhang, Chunliu Zhao, Shangzhong Jin, and Jietai Jing. 2022. "Multi-Way Noiseless Signal Amplification in a Symmetrical Cascaded Four-Wave Mixing Process" Photonics 9, no. 4: 229. https://doi.org/10.3390/photonics9040229
APA StyleWang, H., Zhang, Y., Zhang, X., Zhao, C., Jin, S., & Jing, J. (2022). Multi-Way Noiseless Signal Amplification in a Symmetrical Cascaded Four-Wave Mixing Process. Photonics, 9(4), 229. https://doi.org/10.3390/photonics9040229
