Transfer of Orbital Angular Momentum of Light Using Autler-Townes Splitting
Abstract
1. Introduction
2. Methods
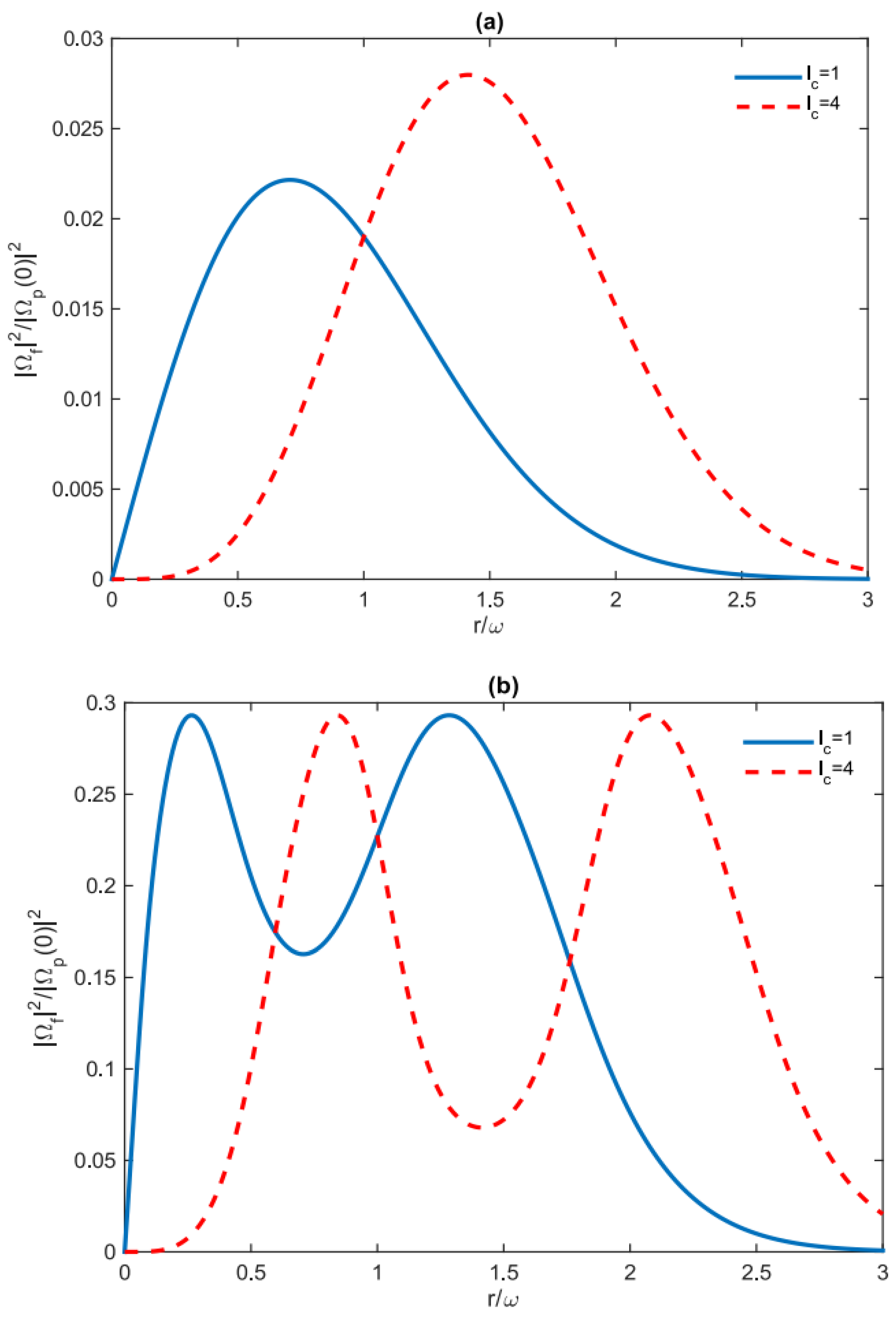
3. Results and Discussion
4. Conclusions
Author Contributions
Funding
Institutional Review Board Statement
Informed Consent Statement
Data Availability Statement
Conflicts of Interest
References
- Harris, S.E.; Field, J.E.; Imamoğlu, A. Nonlinear optical processes using electromagnetically induced transparency. Phys. Rev. Lett. 1990, 64, 1107–1110. [Google Scholar] [CrossRef] [PubMed]
- Harris, S.E. Electromagnetically Induced Transparency. Phys. Today 1997, 50, 36. [Google Scholar] [CrossRef]
- Fleischhauer, M.; Imamoglu, A.; Marangos, J.P. Electromagnetically induced transparency: Optics in coherent media. Rev. Mod. Phys. 2005, 77, 633–673. [Google Scholar] [CrossRef]
- Hau, L.; Harris, S.; Dutton, Z.; Behroozi, C. Light speed reduction to 17 metres per second in an ultracold atomic gas. Nature 1999, 397, 594–598. [Google Scholar] [CrossRef]
- Phillips, D.F.; Fleischhauer, A.; Mair, A.; Walsworth, R.L.; Lukin, M.D. Storage of Light in Atomic Vapor. Phys. Rev. Lett. 2001, 86, 783–786. [Google Scholar] [CrossRef]
- Wang, L.J.; Kuzmich, A.; Dogariu, A. Gain-assisted superluminal light propagation. Nature 2000, 406, 277–279. [Google Scholar] [CrossRef]
- Liu, C.; Dutton, Z.; Behroozi, C.; Hau, L.V. Observation of coherent optical information storage in an atomic medium using halted light pulses. Nature 2001, 409, 490–493. [Google Scholar] [CrossRef]
- Wu, Y.; Yang, X. Highly efficient four-wave mixing in double Lambda system in ultraslow propagation regime. Phys. Rev. A 2004, 70, 053818. [Google Scholar] [CrossRef]
- Wu, Y.; Saldana, J.; Zhu, Y. Large enhancement of four-wave mixing by suppression of photon absorption from electromagnetically induced transparency. Phys. Rev. A 2003, 67, 013811. [Google Scholar] [CrossRef]
- Li, H.C.; Ge, G.Q.; Zubairy, M.S. High-efficiency four-wave mixing beyond pure electromagnetically induced transparency treatment. Opt. Lett. 2019, 44, 3486–3489. [Google Scholar] [CrossRef]
- Yang, X.X.; Li, Z.W.; Wu, Y. Four-wave mixing via electron spin coherence in a quantum well waveguide. Phys. Lett. A 2005, 340, 320–325. [Google Scholar] [CrossRef]
- Lee, C.Y.; Wu, B.H.; Wang, G.; Chen, Y.F.; Chen, Y.C.; Yu, I.A. High conversion efficiency in resonant four-wave mixing processes. Opt. Express 2016, 24, 1008–1016. [Google Scholar] [CrossRef] [PubMed]
- Wang, G.; Xue, Y.; Wu, J.H.; Kang, Z.H.; Jiang, Y.; Liu, S.S.; Gao, J.Y. Efficient frequency conversion induced by quantum constructive interference. Opt. Lett. 2010, 35, 3778–3780. [Google Scholar] [CrossRef] [PubMed]
- Scully, M.O. From lasers and masers to phaseonium and phasers. Phys. Rep. 1992, 219, 191–201. [Google Scholar] [CrossRef]
- Scully, M.O. Enhancement of the index of refraction via quantum coherence. Phys. Rev. Lett. 1991, 67, 1855–1858. [Google Scholar] [CrossRef]
- Pendry, J.B. Negative Refraction Makes a Perfect Lens. Phys. Rev. Lett. 2000, 85, 3966–3969. [Google Scholar] [CrossRef]
- Niu, Y.P.; Gong, S.-Q. Enhancing Kerr nonlinearity via spontaneously generated coherence. Phys. Rev. A 2006, 73, 053811. [Google Scholar] [CrossRef]
- HHamedi, R.; Khaledi-Nasab, A.; Raheli, A. Kerr nonlinearity and EIT in a double Lambda type atomic system. Opt. Spectrosc. 2013, 115, 544–551. [Google Scholar] [CrossRef]
- Schmidt, H.; Imamoglu, A. Giant Kerr nonlinearities obtained by electromagnetically induced transparency. Opt. Lett. 1996, 21, 1936–1938. [Google Scholar] [CrossRef]
- Wu, Y. Two-color ultraslow optical solitons via four-wave mixing in cold-atom media. Phys. Rev. A 2005, 71, 053820. [Google Scholar] [CrossRef]
- Wu, Y.; Deng, L. Ultraslow Optical Solitons in a Cold Four-State Medium. Phys. Rev. Lett. 2004, 93, 143904. [Google Scholar] [CrossRef] [PubMed]
- Chen, Y.; Bai, Z.-Y.; Huang, G.-X. Ultraslow optical solitons and their storage and retrieval in an ultracold ladder-type atomic system. Phys. Rev. A 2014, 89, 023835. [Google Scholar] [CrossRef]
- Autler, S.H.; Townes, C.H. Stark effect in rapidly varying fields. Phys. Rev. 1955, 100, 703–722. [Google Scholar] [CrossRef]
- Abi-Salloum, T.Y. Electromagnetically induced transparency and Autler-Townes splitting: Two similar but distinct phenomena in two categories of three-level atomic systems. Phys. Rev. A 2010, 81, 053836. [Google Scholar] [CrossRef]
- Anisimov, P.M.; Dowling, J.P.; Sanders, B.C. Objectively discerning Autler-Townes splitting from electromagnetically induced transparency. Phys. Rev. Lett. 2011, 107, 163604. [Google Scholar] [CrossRef]
- Asadpour, S.H.; Paspalakis, E.; Hamedi, H.R. Exchange of optical vortices in symmetry-broken quantum systems. Phys. Rev. A 2021, 103, 063705. [Google Scholar] [CrossRef]
- Giner, L. Experimental investigation of the transition between Autler-Townes splitting and electromagnetically-induced-transparency models. Phys. Rev. A 2013, 87, 013823. [Google Scholar] [CrossRef]
- Sun, H.-C.; Liu, Y.-X.; Ian, H.; You, J.Q.; Ilichev, E.; Nori, F. Electromagnetically induced transparency and Autler-Townes splitting in superconducting flux quantum circuits. Phys. Rev. A 2014, 89, 063822. [Google Scholar] [CrossRef]
- Tan, C.; Huang, G.-X. Crossover from electromagnetically induced transparency to Autler–Townes splitting in open ladder systems with Doppler broadening. J. Opt. Soc. Am. B 2014, 31, 704–715. [Google Scholar] [CrossRef]
- Lu, X.; Miao, X.; Bai, J.; Pei, L.; Wang, M.; Gao, Y.; Wu, L.-A.; Fu, P.; Wang, R.; Zuo, Z. Transition from Autler–Townes splitting to electromagnetically induced transparency based on the dynamics of decaying dressed states. J. Phys. B At. Mol. Opt. Phys. 2015, 48, 055003. [Google Scholar] [CrossRef]
- Hao, L.; Jiao, Y.; Xue, Y.; Han, X.; Bai, S.; Zhao, J.; Raithel, G. Transition from electromagnetically induced transparency to Autler–Townes splitting in cold cesium atoms. New J. Phys. 2018, 20, 073024. [Google Scholar] [CrossRef]
- Rastogi, A.; Saglamyurek, E.; Hrushevskyi, T.; Hubele, S.; LeBlanc, L.J. Discerning quantum memories based on electromagnetically-induced-transparency and Autler-Townes-splitting protocols. Phys. Rev. A 2019, 100, 012314. [Google Scholar] [CrossRef]
- Allen, L.; Padgett, M.J.; Babiker, M., IV. The Orbital Angular Momentum of Light; Elsevier: Amsterdam, The Netherlands, 1999; Volume 39, pp. 291–372. [Google Scholar]
- Allen, L.; Barnett, S.M.; Padgett, M.J. Optical Angular Momentum; Institute of Physics Publishing: Bristol, UK, 2003. [Google Scholar]
- Lembessis, V.E.; Babiker, M. Light-induced torque for the generation of persistent current flow in atomic gas Bose-Einstein condensates. Phys. Rev. A 2010, 82, 051402. [Google Scholar] [CrossRef]
- Ding, D.-S.; Zhou, Z.-Y.; Shi, B.-S.; Zou, X.-B.; Guo, G.-C. Linear up-conversion of orbital angular momentum. Opt. Lett. 2012, 37, 3270–3272. [Google Scholar] [CrossRef] [PubMed]
- Ruseckas, J.; Mekys, A.; Juzeliūnas, G. Optical vortices of slow light using a tripod scheme. J. Opt. 2011, 13, 064013. [Google Scholar] [CrossRef]
- Ruseckas, J.; Mekys, A.; Juzeliūnas, G. Slow polaritons with orbital angular momentum in atomic gases. Phys. Rev. A 2011, 83, 023812. [Google Scholar] [CrossRef]
- Hamedi, H.R.; Ruseckas, J.; Juzeliūnas, G. Exchange of optical vortices using an electromagnetically-induced-transparency-based four-wave-mixing setup. Phys. Rev. A 2018, 98, 013840. [Google Scholar] [CrossRef]
- Hamedi, H.R.; Ruseckas, J.; Paspalakis, E.; Juzeliūnas, G. Transfer of optical vortices in coherently prepared media. Phys. Rev. A 2019, 99, 033812. [Google Scholar] [CrossRef]
- Hamedi, H.R.; Paspalakis, E.; Žlabys, G.; Juzeliūnas, G.; Ruseckas, J. Complete energy conversion between light beams carrying orbital angular momentum using coherent population trapping for a coherently driven double-Λ atom-light-coupling scheme. Phys. Rev. A 2019, 100, 023811. [Google Scholar] [CrossRef]
- Hamedi, H.R.; Ruseckas, J.; Paspalakis, E.; Juzeliūnas, G. Off-axis optical vortices using double-Raman singlet and doublet light-matter schemes. Phys. Rev. A 2020, 101, 063828. [Google Scholar] [CrossRef]
- Mahdavi, M.; Sabegh, Z.A.; Mohammadi, M.; Mahmoudi, M.; Hamedi, H.R. Manipulation and exchange of light with orbital angular momentum in quantum-dot molecules. Phys. Rev. A 2020, 101, 063811. [Google Scholar] [CrossRef]
- Mallick, N.S.; Dey, T.N. Four-wave mixing-based orbital angular momentum translation. J. Opt. Soc. Am. B 2020, 37, 1857–1864. [Google Scholar] [CrossRef]
- Ruseckas, J.; Juzeliūnas, G.; Öhberg, P.; Barnett, S.M. Polarization rotation of slow light with orbital angular momentum in ultracold atomic gases. Phys. Rev. A 2007, 76, 053822. [Google Scholar] [CrossRef]
- Dutton, Z.; Ruostekoski, J. Transfer and storage of vortex states in light and matter waves. Phys. Rev. Lett. 2004, 93, 193602. [Google Scholar] [CrossRef] [PubMed]
- Xie, X.-T.; Li, W.-B.; Yang, X. Bright, dark, bistable bright, and vortex spatial-optical solitons in a cold three-state medium. J. Opt. Soc. Am. B 2006, 23, 1609–1614. [Google Scholar] [CrossRef]
- Moretti, D.; Felinto, D.; Tabosa, J.W.R. Collapses and revivals of stored orbital angular momentum of light in a cold-atom ensemble. Phys. Rev. A 2009, 79, 023825. [Google Scholar] [CrossRef]
- Pugatch, R.; Shuker, M.; Firstenberg, O.; Ron, A.; Davidson, N. Topological stability of stored optical vortices. Phys. Rev. Lett. 2007, 98, 203601. [Google Scholar] [CrossRef]
- Wang, T.; Zhao, L.; Jiang, L.; Yelin, S.F. Diffusion-induced decoherence of stored optical vortices. Phys. Rev. A 2008, 77, 043815. [Google Scholar] [CrossRef]
- Ruseckas, J.; Kudriašov, V.; Yu, I.A.; Juzeliūnas, G. Transfer of orbital angular momentum of light using two-component slow light. Phys. Rev. A 2013, 87, 053840. [Google Scholar] [CrossRef]
- Chen, J.; Wang, Z.; Yu, B. Spatially dependent hyper-Raman scattering in five-level cold atoms. Opt. Express 2012, 29, 10914. [Google Scholar] [CrossRef]
- Shen, Y.R. The Principle of Nonlinear Optics; Wiley: New York, NY, USA, 2003. [Google Scholar]










Publisher’s Note: MDPI stays neutral with regard to jurisdictional claims in published maps and institutional affiliations. |
© 2022 by the authors. Licensee MDPI, Basel, Switzerland. This article is an open access article distributed under the terms and conditions of the Creative Commons Attribution (CC BY) license (https://creativecommons.org/licenses/by/4.0/).
Share and Cite
Asadpour, S.H.; Hamedi, H.R.; Paspalakis, E. Transfer of Orbital Angular Momentum of Light Using Autler-Townes Splitting. Photonics 2022, 9, 954. https://doi.org/10.3390/photonics9120954
Asadpour SH, Hamedi HR, Paspalakis E. Transfer of Orbital Angular Momentum of Light Using Autler-Townes Splitting. Photonics. 2022; 9(12):954. https://doi.org/10.3390/photonics9120954
Chicago/Turabian StyleAsadpour, Seyyed Hossein, Hamid Reza Hamedi, and Emmanuel Paspalakis. 2022. "Transfer of Orbital Angular Momentum of Light Using Autler-Townes Splitting" Photonics 9, no. 12: 954. https://doi.org/10.3390/photonics9120954
APA StyleAsadpour, S. H., Hamedi, H. R., & Paspalakis, E. (2022). Transfer of Orbital Angular Momentum of Light Using Autler-Townes Splitting. Photonics, 9(12), 954. https://doi.org/10.3390/photonics9120954

