Photonic Hook with Modulated Bending Angle Formed by Using Triangular Mesoscale Janus Prisms
Abstract
1. Introduction
2. Simulation Model
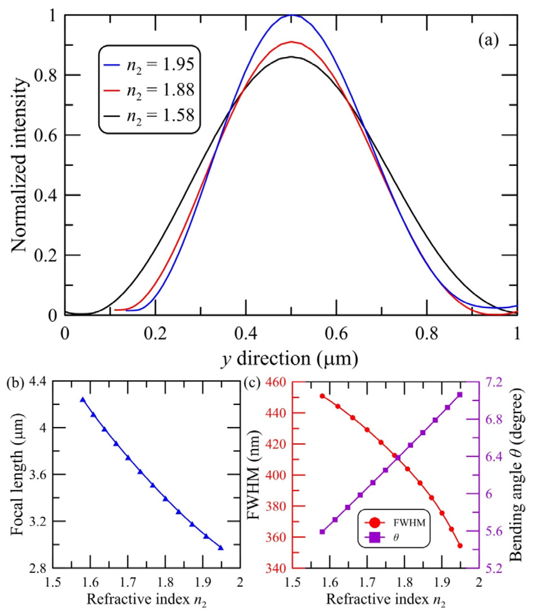
3. Simulations and Results
4. Conclusions
Author Contributions
Funding
Institutional Review Board Statement
Informed Consent Statement
Data Availability Statement
Acknowledgments
Conflicts of Interest
References
- Alderman:, P.; Owston, P. The square pyramidal configuration in a five-co-ordinate nitrosyl complex. Nature 1956, 178, 1071–1072. [Google Scholar] [CrossRef]
- Alamer, B.; Bootharaju, M.; Kozlov, S.; Cao, Z.; Shkurenko, A.; Nematulloev, S.; Maity, P.; Mohammed, O.; Eddaoudi, M.; Cavallo, L.; et al. [Ag9(1,2-BDT)6]3–: How square-pyramidal building blocks self-assemble into the smallest silver nanocluster. Inorg. Chem. 2021, 60, 4306–4312. [Google Scholar] [CrossRef] [PubMed]
- Bragg, W.H. The Structure of Magnetite and the Spinels. Nature 1915, 95, 561. [Google Scholar] [CrossRef]
- Natural Pyramids. Sci. Am. 1857, 13, 88. [CrossRef]
- Narimanov, A. Pyramid effect. Science 1999, 5446, 286. [Google Scholar]
- Minin, I.V.; Minin, O.V.; Yue, L. Electromagnetic properties of pyramids from positions of photonics. Russ. Phys. J. 2020, 62, 1763–1769. [Google Scholar] [CrossRef]
- Gershoni, D. Pyramidal quantum dots. Nat. Photon. 2010, 4, 271–272. [Google Scholar] [CrossRef]
- Fallahazad, P.; Naderi, N.; Taherkhani, M.; Bazargan, A. Porous pyramidal silicon structures for improved light sensing performance. Optik 2020, 222, 165433. [Google Scholar] [CrossRef]
- Weber, F.; Karl, M.; Lupaca-Schomber, J.; Löffler, W.; Li, S.; Passow., T. Optical modes in pyramidal GaAs microcavities. Appl. Phys. Lett. 2007, 90, 161104. [Google Scholar] [CrossRef]
- Al-Wahsh, H.; Dobrzyński, L.; Akjouj, A. Long-lived resonances: Photonic triangular pyramid. Photonics Nanostructures Fundam. Appl. 2022, 50, 101022. [Google Scholar] [CrossRef]
- Desiatov, B.; Goykhman, I.; Mazurski, N.; Shappir, J.; Khurgin, J.; Levy, U. Plasmonic enhanced silicon pyramids for internal photoemission Schottky detectors in the near-infrared regime. Optica 2015, 2, 335–338. [Google Scholar] [CrossRef]
- Syu, H.; Chuang, H.; Lin, M.; Cheng, C.; Huang, P.; Lin, C. Ultra-broadband photoresponse of localized surface plasmon resonance from Si-based pyramid structures. Photonics Res. 2019, 7, 1119–1126. [Google Scholar] [CrossRef]
- Fan, Y.; Han, P.; Liang, P.; Xing, Y.; Ye, Z.; Hu, S. Differences in etching characteristics of TMAH and KOH on preparing inverted pyramids for silicon solar cells. Appl. Surf. Sci. 2013, 264, 761–766. [Google Scholar] [CrossRef]
- Almenabawy, S.; Zhang, Y.; Flood, A.; Prinja, R.; Kherani, N. Nanometer-mesa inverted-pyramid photonic crystals for thin silicon solar cells. ACS Appl. Energy Mater. 2022, in press. [Google Scholar] [CrossRef]
- Lindquist, N.; Johnson, T.; Nagpal, P.; Norris, D.; Oh, S. Plasmonic nanofocusing with a metallic pyramid and an integrated C-shaped aperture. Sci. Rep. 2013, 3, 1857. [Google Scholar] [CrossRef]
- Mu, J.; Liu, Z.; Li, J.; Hao, T.; Wang, Y.; Sun, S.; Li, Z.; Li, J.; Li, W.; Gu, C. Direct laser writing of pyramidal plasmonic structures with apertures and asymmetric gratings towards efficient subwavelength light focusing. Opt. Express 2015, 23, 22564–22571. [Google Scholar] [CrossRef]
- Martin, J.; Proust, J.; Gérard, D.; Bijeon, J.; Plain, J. Intense Bessel-like beams arising from pyramid-shaped microtips. Opt. Lett. 2012, 37, 1274–1276. [Google Scholar] [CrossRef]
- Zhang, C.; Chen, S.; Jiang, Z.; Shi, Z.; Wang, J.; Du, L. Highly sensitive and reproducible SERS substrates based on ordered micropyramid array and silver nanoparticles. ACS Appl. Mater. Interfaces 2021, 13, 29222–29229. [Google Scholar] [CrossRef]
- Abdelsamie, M.; Rahman, R.; Mustafa, S. Pyramid shape power as a new halal-compliant food preservation and packaging technique. Procedia Soc. Behav. Sci. 2014, 121, 232–242. [Google Scholar] [CrossRef][Green Version]
- Abdelsamie, M.; Rahman, R.; Mustafa, S.; Hashim, D. Effect of packaging shape and storage on the keeping quality of mineral water and development of a water-treatment device. J. Food Process Technol. 2013, 4, 231. [Google Scholar] [CrossRef]
- Horiuchi, N. Photonic nanojets. Nat. Photonics 2012, 6, 138–139. [Google Scholar] [CrossRef]
- Minin, I.V.; Minin, O.V. Diffractive Optics and Nanophotonics Resolution Below the Diffraction Limit; Springer: Cham, Switzerland, 2016. [Google Scholar]
- Minin, I.V.; Minin, O.V.; Geints, Y. Localized EM and photonic jets from non-spherical and non-symmetrical dielectric mesoscale objects. Ann. Phys. 2015, 527, 491–497. [Google Scholar] [CrossRef]
- Ge, S.; Liu, W.; Zhang, J.; Huang, Y.; Xi, Y.; Yang, P.; Sun, S.; Li, S.; Lin, D.; Zhou, S.; et al. Novel bilayer micropyramid structure photonic nanojet for enhancing a focused optical field. Nanomaterials 2021, 11, 2034. [Google Scholar] [CrossRef] [PubMed]
- Abramov, A.; Yue, Y.; Wang, M.; Wang, Z.; Xu, Y. Numerical modeling of photonic jet behind triangular Prism. Asian J. Res. Rev. Phys. 2021, 4, 1–6. [Google Scholar] [CrossRef]
- Zaitsev, V.; Stafeev, S. The photonic nanojets formation by two-dimensional microprisms. Comput. Opt. 2020, 44, 909–916. [Google Scholar] [CrossRef]
- Dholakia, K.; Bruce, G. Optical hooks. Nat. Photonics 2019, 13, 229–230. [Google Scholar] [CrossRef]
- Gu, G.; Shao, L.; Song, J.; Qu, J.; Zheng, K.; Shen, X.; Peng, Z.; Hu, J.; Chen, X.; Chen, M.; et al. Photonic hooks from Janus microcylinders. Opt. Express 2019, 27, 37771–37780. [Google Scholar] [CrossRef]
- Minin, I.V.; Minin, O.V.; Yue, L.; Wang, Z.; Christodoulides, D. Photonic hook —A new type of subwavelength self-bending structured light beams: A tutorial review. arXiv 2019, arXiv:1910.09543. [Google Scholar]
- Minin, O.V.; Minin, I.V. The Photonic Hook: From Optics to Acoustics and Plasmonics; Springer: Cham, Switzerland, 2021. [Google Scholar]
- Minin, I.V.; Minin, O.V.; Liu, C.; Wei, H.; Geints, Y.; Karabchevsky, A. Experimental demonstration of tunable photonic hook by partially illuminated dielectric microcylinder. Opt. Lett. 2020, 45, 4899–4902. [Google Scholar] [CrossRef]
- Liu, C.; Chen, Y.; Li, C.; Chen, W.; Chien, S. Photonic hook generated by the Janus microcylinder under point-source illumination. J. Opt. Soc. Am. B 2021, 38, 2938–2944. [Google Scholar] [CrossRef]
- Zhou, S. Twin photonic hooks generated from two coherent illuminations of a micro-cylinder. J. Opt. 2020, 22, 085602. [Google Scholar] [CrossRef]
- Zhou, S. Twin photonic hooks generated from two adjacent dielectric cylinders. Opt. Quantum Electron. 2020, 52, 389. [Google Scholar] [CrossRef]
- Shen, X.; Gu, G.; Shao, L.; Peng, Z.; Hu, J.; Bandyopadhyay, S.; Liu, Y.; Jiang, J.; Chen, M. Twin photonic hooks generated by twin-ellipse microcylinder. IEEE Photonics J. 2020, 12, 6500609. [Google Scholar] [CrossRef]
- Minin, I.V.; Minin, O.V. Mesotronics: Some new unusual optical effects. Photonics 2022, 9, 762. [Google Scholar] [CrossRef]
- Hu, J.; Zhou, S.; Sun, Y.; Fang, X.; Wu, L. Fabrication, properties and applications of Janus particles. Chem. Soc. Rev. 2012, 41, 4356–4378. [Google Scholar] [CrossRef] [PubMed]
- Poggi, E.; Gohy, J. Janus particles: From synthesis to application. Colloid Polym. Sci. 2017, 295, 2083–2108. [Google Scholar] [CrossRef]
- Pacheco-Peña, V.; Riley, J.; Liu, C.; Minin, O.V.; Minin, I.V. Diffraction limited photonic hook via scattering and diffraction of dual-dielectric structures. Sci. Rep. 2021, 11, 20278. [Google Scholar] [CrossRef]
- Taflove, A.; Hagness, S. Computational Electrodynamics: The Finite Difference Time Domain Method; Artech House: Boston, MA, USA, 2005. [Google Scholar]
- Martirosyan, A.; Altucci, C.; Lisio, C.; Porzio, A.; Solimeno, S.; Tosa, V. Fringe pattern of the field diffracted by axicons. J. Opt. Soc. Am. A 2004, 21, 770–776. [Google Scholar] [CrossRef]
- Luk’yanchuk, B.; Paniagua-Domínguez, R.; Minin, I.O.; Minin, O.V.; Wang, Z. Refractive index less than two: Photonic nanojets yesterday, today and tomorrow [Invited]. Opt. Mater. Express 2017, 7, 1820–1847. [Google Scholar] [CrossRef]
- Khonina, S.; Kazanskiy, N.; Khorin, P.; Butt, M. Modern types of axicons: New functions and applications. Sensors 2021, 21, 6690. [Google Scholar] [CrossRef]
- Khonina, S.; Degtyarev, S.; Savelyev, D.; Ustinov, A. Focused, evanescent, hollow, and collimated beams formed by microaxicons with different conical angles. Opt. Express 2017, 25, 19052–19064. [Google Scholar] [CrossRef]
- Liu, C.; Minin, O.V.; Minin, I.V. First experimental observation of array of photonic jets from saw-tooth phase diffraction grating. EPL 2018, 123, 54003. [Google Scholar] [CrossRef]
- Minin, O.V.; Minin, I.V. Optical Phenomena in Mesoscale Dielectric Particles. Photonics 2021, 8, 591. [Google Scholar] [CrossRef]
- Poco, J.; Hrubesh, L. Method of Producing Optical Quality Glass Having a Selected Refractive Index. U.S. Patent 6,158,244, 2008. [Google Scholar]
- Jiang, S.; Granick, S. Janus Particle Synthesis, Self-Assembly and Applications; The Royal Society of Chemistry: Cambridge, UK, 2012. [Google Scholar]
- Park, E.; Jin, S.; Park, Y.; Guo, S.; Chang, H.; Jung, Y. Trapping analytes into dynamic hot spots using Tyramine-medicated crosslinking chemistry for designing versatile sensor. J. Colloid. Interface Sci. 2022, 607, 782–790. [Google Scholar] [CrossRef] [PubMed]
- Geints, Y.; Minin, O.V.; Minin, I.V. Systematic study and comparison of photonic nanojets produced by dielectric microparticles in 2D- and 3D- spatial configurations. J. Opt. 2018, 20, 065606. [Google Scholar] [CrossRef]








Publisher’s Note: MDPI stays neutral with regard to jurisdictional claims in published maps and institutional affiliations. |
© 2022 by the authors. Licensee MDPI, Basel, Switzerland. This article is an open access article distributed under the terms and conditions of the Creative Commons Attribution (CC BY) license (https://creativecommons.org/licenses/by/4.0/).
Share and Cite
Chen, W.-Y.; Liu, C.-Y.; Hsieh, Y.-K.; Minin, O.V.; Minin, I.V. Photonic Hook with Modulated Bending Angle Formed by Using Triangular Mesoscale Janus Prisms. Photonics 2022, 9, 948. https://doi.org/10.3390/photonics9120948
Chen W-Y, Liu C-Y, Hsieh Y-K, Minin OV, Minin IV. Photonic Hook with Modulated Bending Angle Formed by Using Triangular Mesoscale Janus Prisms. Photonics. 2022; 9(12):948. https://doi.org/10.3390/photonics9120948
Chicago/Turabian StyleChen, Wei-Yu, Cheng-Yang Liu, Yu-Kai Hsieh, Oleg V. Minin, and Igor V. Minin. 2022. "Photonic Hook with Modulated Bending Angle Formed by Using Triangular Mesoscale Janus Prisms" Photonics 9, no. 12: 948. https://doi.org/10.3390/photonics9120948
APA StyleChen, W.-Y., Liu, C.-Y., Hsieh, Y.-K., Minin, O. V., & Minin, I. V. (2022). Photonic Hook with Modulated Bending Angle Formed by Using Triangular Mesoscale Janus Prisms. Photonics, 9(12), 948. https://doi.org/10.3390/photonics9120948

