DeepGOMIMO: Deep Learning-Aided Generalized Optical MIMO with CSI-Free Detection
Abstract
1. Introduction
2. System Model
2.1. Channel Model
2.2. Principle of GOMIMO
3. Detection Schemes for GOMIMO Systems
3.1. Joint ML Detection
3.2. ZF-ML Detection
3.3. CSI-Based ZF-DNN Detection
3.4. Proposed CSI-Free DNN Detection
4. Simulation Results
4.1. Simulation Setup
4.2. MSE Loss
4.3. BER Performance
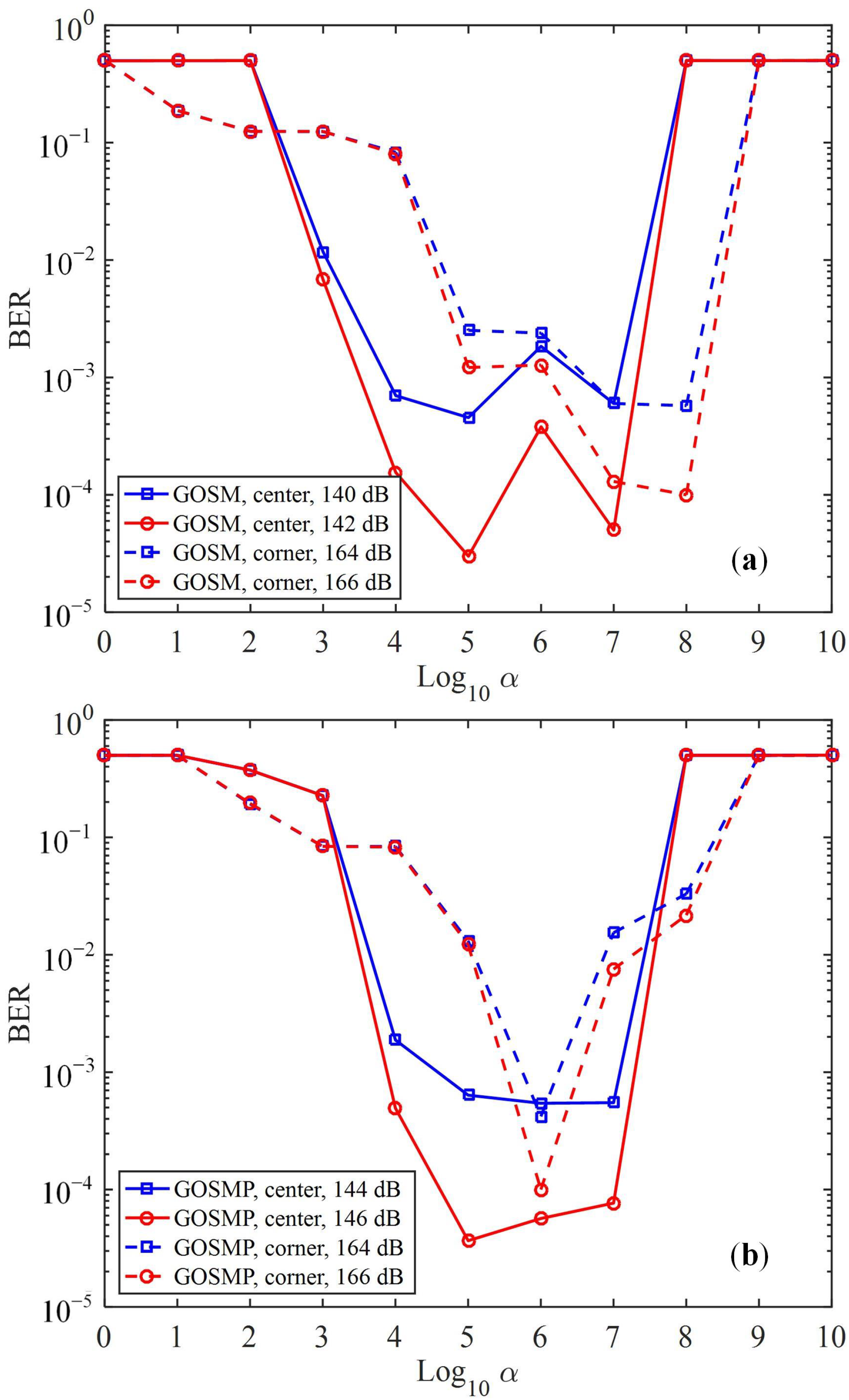
4.4. Impact of Input Pre-Processing
4.5. Computational Complexity
5. Conclusions
Author Contributions
Funding
Institutional Review Board Statement
Informed Consent Statement
Data Availability Statement
Acknowledgments
Conflicts of Interest
References
- Ghassemlooy, Z.; Arnon, S.; Uysal, M.; Xu, Z.; Cheng, J. Emerging optical wireless communications-advances and challenges. IEEE J. Sel. Areas Commun. 2015, 33, 1738–1749. [Google Scholar] [CrossRef]
- Cogalan, T.; Haas, H. Why would 5G need optical wireless communications? In Proceedings of the IEEE International Symposium on Personal, Indoor and Mobile Radio Communications, Montreal, QC, Canada, 8–13 October 2017; pp. 1–6. [Google Scholar]
- Chi, N.; Zhou, Y.; Wei, Y.; Hu, F. Visible light communication in 6G: Advances, challenges, and prospects. IEEE Veh. Technol. Mag. 2020, 15, 93–102. [Google Scholar] [CrossRef]
- Demirkol, I.; Camps-Mur, D.; Paradells, J.; Combalia, M.; Popoola, W.; Haas, H. Powering the Internet of Things through light communication. IEEE Commun. Mag. 2019, 57, 107–113. [Google Scholar] [CrossRef]
- Chen, C.; Fu, S.; Jian, X.; Liu, M.; Deng, X.; Ding, Z. NOMA for energy-efficient LiFi-enabled bidirectional IoT communication. IEEE Trans. Commun. 2021, 69, 1693–1706. [Google Scholar] [CrossRef]
- Le Minh, H.; O’Brien, D.; Faulkner, G.; Zeng, L.; Lee, K.; Jung, D.; Oh, Y.; Won, E.T. 100-Mb/s NRZ visible light communications using a postequalized white LED. IEEE Photonics Technol. Lett. 2009, 21, 1063–1065. [Google Scholar] [CrossRef]
- Zeng, L.; O’Brien, D.C.; Le Minh, H.; Faulkner, G.E.; Lee, K.; Jung, D.; Oh, Y.; Won, E.T. High data rate multiple input multiple output (MIMO) optical wireless communications using white LED lighting. IEEE J. Sel. Areas Commun. 2009, 27, 1654–1662. [Google Scholar] [CrossRef]
- Fath, T.; Haas, H. Performance comparison of MIMO techniques for optical wireless communications in indoor environments. IEEE Trans. Commun. 2013, 61, 733–742. [Google Scholar] [CrossRef]
- Chen, C.; Zhong, W.D.; Wu, D. On the coverage of multiple-input multiple-output visible light communications [Invited]. J. Opt. Commun. Netw. 2017, 9, D31–D41. [Google Scholar] [CrossRef]
- Chen, C.; Yang, H.; Du, P.; Zhong, W.D.; Alphones, A.; Yang, Y.; Deng, X. User-centric MIMO techniques for indoor visible light communication systems. IEEE Syst. J. 2020, 14, 3202–3213. [Google Scholar] [CrossRef]
- Mesleh, R.; Elgala, H.; Haas, H. Optical spatial modulation. J. Opt. Commun. Netw. 2011, 3, 234–244. [Google Scholar] [CrossRef]
- Alaka, S.; Narasimhan, T.L.; Chockalingam, A. Generalized spatial modulation in indoor wireless visible light communication. In Proceedings of the IEEE Global Communications Conference (GLOBECOM), San Diego, CA, USA, 6–10 December 2015; pp. 1–7. [Google Scholar]
- Wang, F.; Yang, F.; Song, J. Constellation optimization under the ergodic VLC channel based on generalized spatial modulation. Opt. Exp. 2020, 28, 21202–21209. [Google Scholar] [CrossRef] [PubMed]
- Wang, K. Indoor optical wireless communication system with filters-enhanced generalized spatial modulation and carrierless amplitude and phase (CAP) modulation. Opt. Lett. 2020, 45, 4980–4983. [Google Scholar] [CrossRef] [PubMed]
- Chen, C.; Zhong, X.; Fu, S.; Jian, X.; Liu, M.; Yang, H.; Alphones, A.; Fu, H.Y. OFDM-based generalized optical MIMO. J. Lightw. Technol. 2021, 39, 6063–6075. [Google Scholar] [CrossRef]
- Özbilgin, T.; Koca, M. Optical spatial modulation over atmospheric turbulence channels. J. Lightw. Technol. 2015, 33, 2313–2323. [Google Scholar] [CrossRef]
- LeCun, Y.; Bengio, Y.; Hinton, G. Deep learning. Nature 2015, 521, 436–444. [Google Scholar] [CrossRef]
- Wang, T.; Wen, C.K.; Wang, H.; Gao, F.; Jiang, T.; Jin, S. Deep learning for wireless physical layer: Opportunities and challenges. Chin. Commun. 2017, 14, 92–111. [Google Scholar] [CrossRef]
- Chen, X.; Li, B.; Proietti, R.; Liu, C.Y.; Zhu, Z.; Yoo, S.B. Demonstration of distributed collaborative learning with end-to-end QoT estimation in multi-domain elastic optical networks. Opt. Exp. 2019, 27, 35700–35709. [Google Scholar] [CrossRef]
- Vela, A.P.; Ruiz, M.; Fresi, F.; Sambo, N.; Cugini, F.; Meloni, G.; Potì, L.; Velasco, L.; Castoldi, P. BER degradation detection and failure identification in elastic optical networks. J. Lightw. Technol. 2017, 35, 4595–4604. [Google Scholar] [CrossRef]
- Rottondi, C.; Barletta, L.; Giusti, A.; Tornatore, M. Machine-learning method for quality of transmission prediction of unestablished lightpaths. J. Opt. Commun. Netw. 2018, 10, A286–A297. [Google Scholar] [CrossRef]
- Fan, Y.; Udalcovs, A.; Pang, X.; Natalino, C.; Furdek, M.; Popov, S.; Ozolins, O. Fast signal quality monitoring for coherent communications enabled by CNN-based EVM estimation. J. Opt. Commun. Netw. 2021, 13, B12–B20. [Google Scholar] [CrossRef]
- Peng, C.W.; Chan, D.W.; Tong, Y.; Chow, C.W.; Liu, Y.; Yeh, C.H.; Tsang, H.K. Long short-term memory neural network for mitigating transmission impairments of 160 Gbit/s PAM4 microring modulation. In Proceedings of the Optical Fiber Communication Conference (OFC), Optica Publishing Group, Washington, DC, USA, 6–11 June 2021. paper Tu5D.3. [Google Scholar]
- Lee, H.; Lee, I.; Quek, T.Q.; Lee, S.H. Binary signaling design for visible light communication: A deep learning framework. Opt. Exp. 2018, 26, 18131–18142. [Google Scholar] [CrossRef]
- Lu, X.; Lu, C.; Yu, W.; Qiao, L.; Liang, S.; Lau, A.P.T.; Chi, N. Memory-controlled deep LSTM neural network post-equalizer used in high-speed PAM VLC system. Opt. Exp. 2019, 27, 7822–7833. [Google Scholar] [CrossRef]
- Yang, H.; Alphones, A.; Zhong, W.D.; Chen, C.; Xie, X. Learning-based energy-efficient resource management by heterogeneous RF/VLC for ultra-reliable low-latency industrial IoT networks. IEEE Trans. Ind. Inform. 2019, 16, 5565–5576. [Google Scholar] [CrossRef]
- Wang, T.; Yang, F.; Song, J. Deep learning-based detection scheme for visible light communication with generalized spatial modulation. Opt. Exp. 2020, 28, 28906–28915. [Google Scholar] [CrossRef]
- Wang, Y.; Chi, N. Demonstration of high-speed 2 × 2 non-imaging MIMO Nyquist single carrier visible light communication with frequency domain equalization. J. Lightw. Technol. 2014, 32, 2087–2093. [Google Scholar] [CrossRef]
- Komine, T.; Nakagawa, M. Fundamental analysis for visible-light communication system using LED lights. IEEE Trans. Consum. Electron. 2004, 50, 100–107. [Google Scholar] [CrossRef]
- Tavakkolnia, I.; Yesilkaya, A.; Haas, H. OFDM-based spatial modulation for optical wireless communications. In Proceedings of the IEEE Globecom Workshops (GC Wkshps), Abu Dhabi, United Arab Emirates, 9–13 December 2018; pp. 1–6. [Google Scholar]
- Chen, C.; Zeng, L.; Zhong, X.; Fu, S.; Liu, M.; Du, P. Deep learning-aided OFDM-based generalized optical quadrature spatial modulation. IEEE Photonics J. 2022, 14, 7302306. [Google Scholar] [CrossRef]
- Zhong, X.; Chen, C.; Zeng, L.; Zhang, R.; Tang, Y.; Nie, Y.; Liu, M. Joint detection for generalized optical MIMO: A deep learning approach. In Proceedings of the IEEE Conference on Industrial Electronics and Applications (ICIEA), Chengdu, China, 1–4 August 2021; pp. 1317–1321. [Google Scholar]
- Ying, K.; Qian, H.; Baxley, R.J.; Yao, S. Joint optimization of precoder and equalizer in MIMO VLC systems. IEEE J. Sel. Areas Commun. 2015, 33, 1949–1958. [Google Scholar] [CrossRef]
- Albinsaid, H.; Singh, K.; Biswas, S.; Li, C.P.; Alouini, M.S. Block deep neural network-based signal detector for generalized spatial modulation. IEEE Commun. Lett. 2020, 24, 2775–2779. [Google Scholar] [CrossRef]








| Parameter | Value |
|---|---|
| Room dimension | |
| Height of receiving plane | 0.85 m |
| Number of LEDs | 4 |
| Semi-angle at half power of LED | |
| LED spacing | 2.5 m |
| Gain of optical filter | 0.9 |
| Refractive index of optical lens | 1.5 |
| Half-angle FOV of optical lens | |
| Number of PDs | 4 |
| Responsivity of PD | 1 |
| Active area of PD | 1 |
| PD spacing | 10 cm |
| Number of activated LEDs, | 2 |
| PAM levels, M | 4 |
| Parameter | GOSM | GOSMP |
|---|---|---|
| Receiver locations | (2.5 m, 2.5 m, 0.85), (0 m, 0 m, 0.85) | |
| Number of input nodes | 4 | |
| Number of hidden layers | 4 | |
| Number of neurons | 128 × 64 × 32 × 16 | 64 × 64 × 64 × 64 |
| Number of output nodes | 4 | 6 |
| Hidden layer activation | ReLU | |
| Output layer activation | Sigmoid | |
| Loss function | MSE | |
| Optimizer | Adamax | |
| Learning rate | 0.01 ∣ 0.001 | 0.01 ∣ 0.005 |
| Length of training set | 150,000 | |
| Length of validation set | 50,000 | |
| Scaling factor | ∣ | ∣ |
Publisher’s Note: MDPI stays neutral with regard to jurisdictional claims in published maps and institutional affiliations. |
© 2022 by the authors. Licensee MDPI, Basel, Switzerland. This article is an open access article distributed under the terms and conditions of the Creative Commons Attribution (CC BY) license (https://creativecommons.org/licenses/by/4.0/).
Share and Cite
Zhong, X.; Chen, C.; Fu, S.; Zeng, Z.; Liu, M. DeepGOMIMO: Deep Learning-Aided Generalized Optical MIMO with CSI-Free Detection. Photonics 2022, 9, 940. https://doi.org/10.3390/photonics9120940
Zhong X, Chen C, Fu S, Zeng Z, Liu M. DeepGOMIMO: Deep Learning-Aided Generalized Optical MIMO with CSI-Free Detection. Photonics. 2022; 9(12):940. https://doi.org/10.3390/photonics9120940
Chicago/Turabian StyleZhong, Xin, Chen Chen, Shu Fu, Zhihong Zeng, and Min Liu. 2022. "DeepGOMIMO: Deep Learning-Aided Generalized Optical MIMO with CSI-Free Detection" Photonics 9, no. 12: 940. https://doi.org/10.3390/photonics9120940
APA StyleZhong, X., Chen, C., Fu, S., Zeng, Z., & Liu, M. (2022). DeepGOMIMO: Deep Learning-Aided Generalized Optical MIMO with CSI-Free Detection. Photonics, 9(12), 940. https://doi.org/10.3390/photonics9120940

