Mid-Infrared Hollow-Core Fiber Based Flexible Longitudinal Photoacoustic Resonator for Photoacoustic Spectroscopy Gas Sensing
Abstract
1. Introduction
2. Structure and Principle
2.1. Hollow-Core Fiber Structure
2.2. Photoacoustic Spectroscopy and Photoacoustic Cell
3. Simulation and Analysis
3.1. HCF Simulation
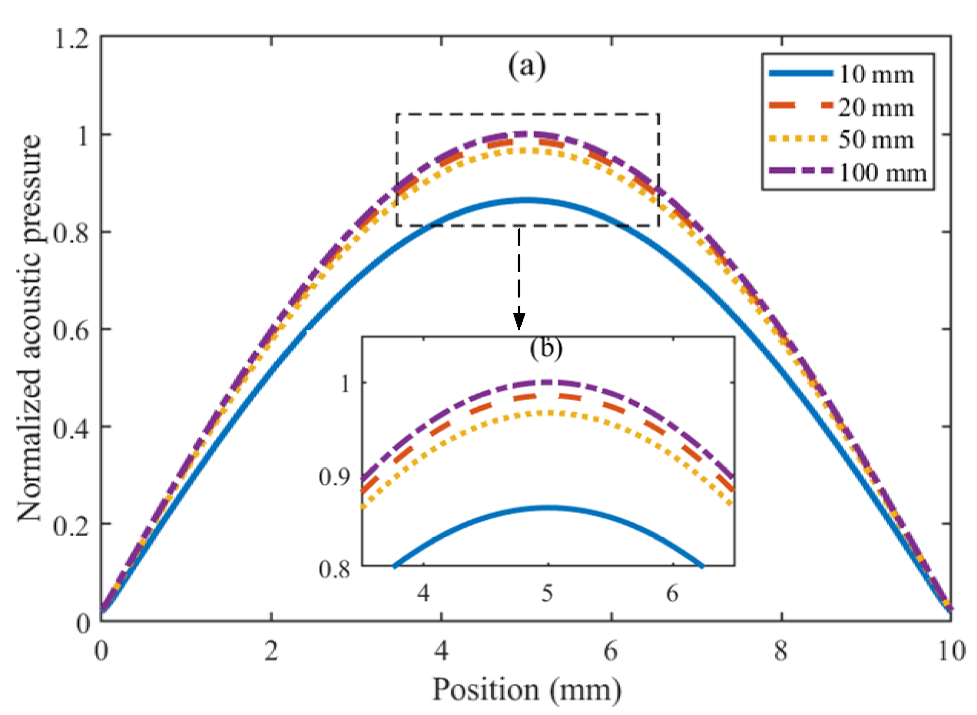
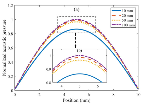
3.2. Photoacoustic Cell with Acoustic Analysis
4. Conclusions
Author Contributions
Funding
Institutional Review Board Statement
Informed Consent Statement
Data Availability Statement
Conflicts of Interest
References
- Hodgkinson, J.; Tatam, R.P. Optical gas sensing: A review. Meas. Sci. Technol. 2013, 24, 012004. [Google Scholar] [CrossRef]
- Wu, H.P.; Dong, L.; Zheng, H.D.; Yu, Y.J.; Ma, W.G.; Zhang, L.; Yin, W.B.; Xiao, L.T.; Jia, S.T.; Tittel, F.K. Beat frequency quartz-enhanced photoacoustic spectroscopy for fast and calibration-free continuous trace-gas monitoring. Nat. Commun. 2017, 8, 15331. [Google Scholar] [CrossRef] [PubMed]
- Deng, B.T.; Sima, C.; Xiao, Y.F.; Wang, X.F.; Ai, Y.; Li, T.L.; Lu, P.; Liu, D.M. Modified laser scanning technique in wavelength modulation spectroscopy for advanced TDLAS gas sensing. Opt. Laser Eng. 2022, 151, 106906. [Google Scholar] [CrossRef]
- Liu, K.; Wang, L.; Tan, T.; Wang, G.S.; Zhang, W.J.; Chen, W.D.; Gao, X.M. Highly sensitive detection of methane by near-infrared laser absorption spectroscopy using a compact dense-pattern multipass cell. Sens. Actuat. B Chem. 2015, 220, 1000–1005. [Google Scholar] [CrossRef]
- Fu, L.; Lu, P.; Sima, C.; Zhao, J.; Pan, Y.; Li, T.; Zhang, X.; Liu, D. Small-volume highly-sensitive all-optical gas sensor using non-resonant photoacoustic spectroscopy with dual silicon cantilever optical microphones. Photoacoustics 2022, 27, 100382. [Google Scholar] [CrossRef] [PubMed]
- Bauer, R.; Legg, T.; Mitchell, D.; Flockhart, G.M.H.; Stewart, G.; Johnstone, W.; Lengden, M. Miniaturized Photoacoustic Trace Gas Sensing Using a Raman Fiber Amplifier. J. Lightwave Technol. 2015, 33, 3773–3780. [Google Scholar] [CrossRef]
- Ilke, M.; Bauer, R.; Lengden, M. A Calibration-Free Methodology for Resonantly Enhanced Photoacoustic Spectroscopy Using Quantum Cascade Lasers. IEEE Sensors J. 2020, 20, 10530–10538. [Google Scholar] [CrossRef]
- Gong, Z.F.; Gao, T.L.; Mei, L.; Chen, K.; Chen, Y.W.; Zhang, B.; Peng, W.; Yu, Q.X. Ppb-level detection of methane based on an optimized T-type photoacoustic cell and a NIR diode laser. Photoacoustics 2021, 21, 100216. [Google Scholar] [CrossRef] [PubMed]
- Yin, X.K.; Dong, L.; Wu, H.P.; Zheng, H.D.; Ma, W.G.; Zhang, L.; Yin, W.B.; Jia, S.T.; Tittel, F.K. Sub-ppb nitrogen dioxide detection with a large linear dynamic range by use of a differential photoacoustic cell and a 3.5 W blue multimode diode laser. Sensor Actuat. B Chem. 2017, 247, 329–335. [Google Scholar] [CrossRef]
- Xiao, H.; Zhao, J.; Sima, C.; Lu, P.; Long, Y.; Ai, Y.; Zhang, W.; Pan, Y.; Zhang, J.; Liu, D. Ultra-sensitive ppb-level methane detection based on NIR all-optical photoacoustic spectroscopy by using differential fiber-optic microphones with gold-chromium composite nanomembrane. Photoacoustics 2022, 26, 100353. [Google Scholar] [CrossRef] [PubMed]
- Yu, R.W.; Chen, Y.X.; Shui, L.L.; Xiao, L.M. Hollow-core photonic crystal fiber gas sensing. Sensors 2020, 20, 2996. [Google Scholar] [CrossRef] [PubMed]
- Deng, B.T.; Sima, C.T.; Tan, H.Y.; Zhang, X.H.; Lian, Z.G.; Chen, G.Q.; Yu, Q.Q.; Xu, J.H.; Liu, D.M. Design of hollow core step-index antiresonant fiber with stepped refractive indices cladding. Front. Optoelectron. 2021, 14, 407–413. [Google Scholar] [CrossRef]
- Tan, H.Y.; Sima, C.T.; Deng, B.T.; Zhang, X.H.; Chen, G.Q.; Yu, Q.Q.; Xu, J.H.; Lian, Z.G.; Liu, D.M. Design and Analysis of Ultra-Wideband Highly-Birefringent Bragg Layered Photonic Bandgap Fiber with Concave-Index Cladding. IEEE Photon. J. 2021, 13, 7100310. [Google Scholar] [CrossRef]
- Yao, C.Y.; Xiao, L.M.; Gao, S.F.; Wang, Y.Y.; Wang, P.; Kan, R.F.; Jin, W.; Ren, W. Sub-ppm CO detection in a sub-meter-long hollow-core negative curvature fiber using absorption spectroscopy at 2.3 mu m. Sensor Actuat. B Chem. 2020, 303, 127238. [Google Scholar] [CrossRef]
- Yao, C.Y.; Hu, M.Y.; Ventura, A.; Hayashi, J.G.; Poletti, F.; Ren, W. Tellurite Hollow-Core Antiresonant Fiber-Coupled Quantum Cascade Laser Absorption Spectroscopy. J. Lightwave Technol. 2021, 39, 5662–5668. [Google Scholar] [CrossRef]
- Chen, F.F.; Jiang, S.L.; Jin, W.; Bao, H.H.; Ho, H.L.; Wang, C.; Gao, S.F. Ethane detection with mid-infrared hollow-core fiber photothermal spectroscopy. Opt. Express 2020, 28, 38115–38126. [Google Scholar] [CrossRef] [PubMed]
- Zhao, Y.; Qi, Y.; Ho, H.L.; Gao, S.F.; Wang, Y.Y.; Jin, W. Photoacoustic Brillouin spectroscopy of gas-filled anti-resonant hollow-core optical fibers. Optica 2021, 8, 532–538. [Google Scholar] [CrossRef]
- Cucinotta, A.; Selleri, S.; Vincetti, L.; Zoboli, M. Holey fiber analysis through the finite-element method. IEEE Photon. Technol. Lett. 2002, 14, 1530–1532. [Google Scholar] [CrossRef]
- Qin, Y.; Yang, H.J.; Jiang, P.; Gui, F.J.; Caiyang, W.N.; Cao, B. Design and analysis for a bend-resistant and large-mode-area photonic crystal fiber with hybrid cladding. Appl. Opt. 2018, 57, 3976–3982. [Google Scholar] [CrossRef] [PubMed]
- Lassen, M.; Harder, D.B.; Brusch, A.; Nielsen, O.S.; Heikens, D.; Persijn, S.; Petersen, J.C. Photo-acoustic sensor for detection of oil contamination in compressed air systems. Opt. Express 2017, 25, 1806–1814. [Google Scholar] [CrossRef] [PubMed]









| Bending Radius | Fitting Equations | R2 |
|---|---|---|
| 10 mm | y = 8.9784 × 10−6x − 9.0909 × 10−12 | 1 |
| 20 mm | y = 5.2754 × 10−6x − 9.0909 × 10−12 | 1 |
| 50 mm | y = 4.9653 × 10−6x − 9.5454 × 10−12 | 1 |
| 100 mm | y = 4.9168 × 10−6x − 5.4545 × 10−12 | 1 |
Publisher’s Note: MDPI stays neutral with regard to jurisdictional claims in published maps and institutional affiliations. |
© 2022 by the authors. Licensee MDPI, Basel, Switzerland. This article is an open access article distributed under the terms and conditions of the Creative Commons Attribution (CC BY) license (https://creativecommons.org/licenses/by/4.0/).
Share and Cite
Xu, Z.; Li, T.; Sima, C.; Long, Y.; Zhang, X.; Ai, Y.; Hong, M.; Chen, M.; Deng, B.; Lv, D.; et al. Mid-Infrared Hollow-Core Fiber Based Flexible Longitudinal Photoacoustic Resonator for Photoacoustic Spectroscopy Gas Sensing. Photonics 2022, 9, 895. https://doi.org/10.3390/photonics9120895
Xu Z, Li T, Sima C, Long Y, Zhang X, Ai Y, Hong M, Chen M, Deng B, Lv D, et al. Mid-Infrared Hollow-Core Fiber Based Flexible Longitudinal Photoacoustic Resonator for Photoacoustic Spectroscopy Gas Sensing. Photonics. 2022; 9(12):895. https://doi.org/10.3390/photonics9120895
Chicago/Turabian StyleXu, Zuying, Tailin Li, Chaotan Sima, Yanhong Long, Xiaohang Zhang, Yan Ai, Minzhi Hong, Muqi Chen, Botao Deng, Dajuan Lv, and et al. 2022. "Mid-Infrared Hollow-Core Fiber Based Flexible Longitudinal Photoacoustic Resonator for Photoacoustic Spectroscopy Gas Sensing" Photonics 9, no. 12: 895. https://doi.org/10.3390/photonics9120895
APA StyleXu, Z., Li, T., Sima, C., Long, Y., Zhang, X., Ai, Y., Hong, M., Chen, M., Deng, B., Lv, D., & Lu, P. (2022). Mid-Infrared Hollow-Core Fiber Based Flexible Longitudinal Photoacoustic Resonator for Photoacoustic Spectroscopy Gas Sensing. Photonics, 9(12), 895. https://doi.org/10.3390/photonics9120895

