An Electrically Tunable Terahertz Filter Based on Liquid-Crystal-Filled Slits with Wall Corrugations
Abstract
1. Introduction
2. Filter Structure
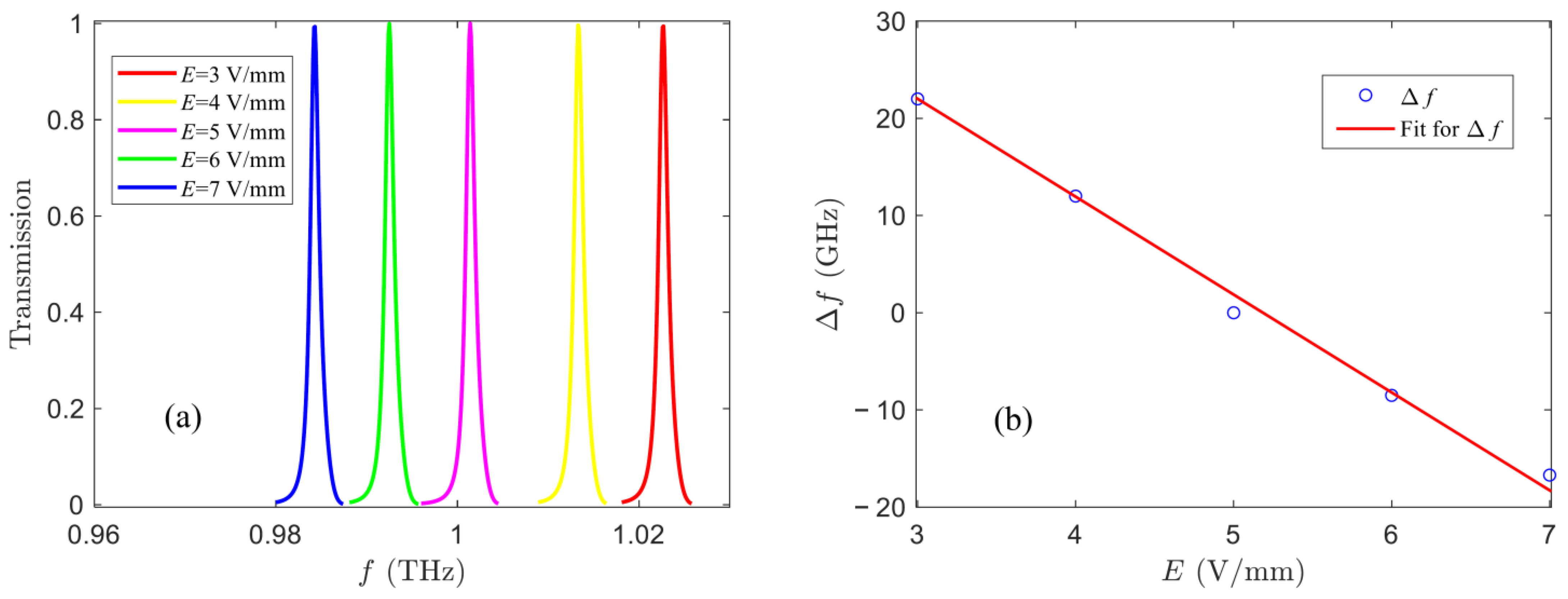
3. Electrical Tuning
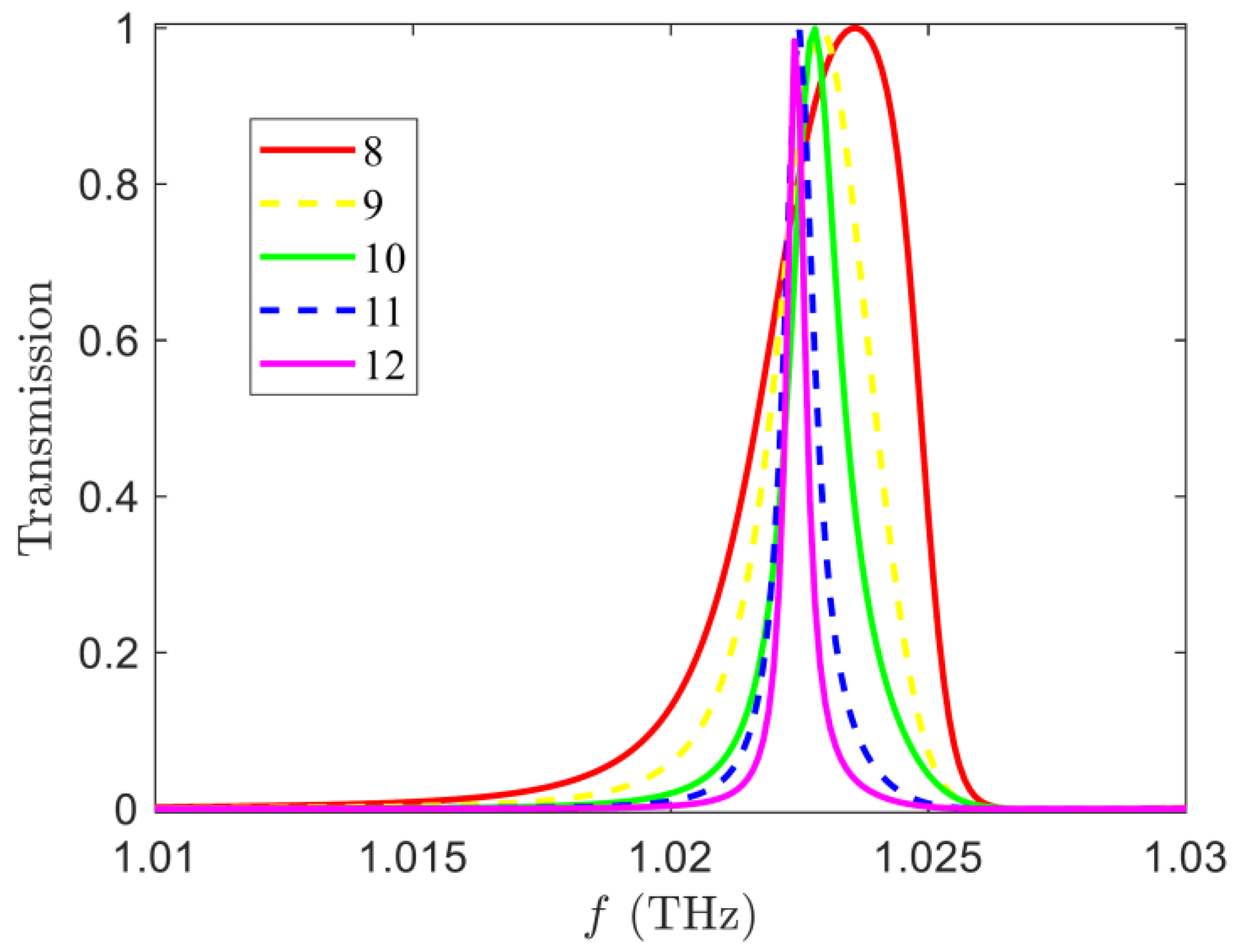
4. Filter Performance
5. Conclusions
Author Contributions
Funding
Institutional Review Board Statement
Informed Consent Statement
Data Availability Statement
Conflicts of Interest
References
- Huang, Y.-W.; Tseng, T.-F.; Kuo, C.-C.; Hwang, Y.-J.; Sun, C.-K. Fiber-Based Swept-Source Terahertz Radar. Opt. Lett. 2010, 35, 1344–1346. [Google Scholar] [CrossRef] [PubMed]
- Siegel, P.H. Terahertz Technology in Biology and Medicine. IEEE Trans. Microw. Theory Tech. 2004, 52, 2438–2447. [Google Scholar] [CrossRef]
- Ibraheem, I.A.; Krumbholz, N.; Mittleman, D.; Koch, M. Low-Dispersive Dielectric Mirrors for Future Wireless Terahertz Communication Systems. IEEE Microw. Wirel. Compon. Lett. 2008, 18, 67–69. [Google Scholar] [CrossRef]
- Cunningham, J.; Wood, C.; Davies, A.G.; Tiang, C.K.; Tosch, P.; Evans, D.A.; Linfield, E.H.; Hunter, I.C.; Missous, M. Multiple-Frequency Terahertz Pulsed Sensing of Dielectric Films. Appl. Phys. Lett. 2006, 88, 071112. [Google Scholar] [CrossRef]
- Qiu, F.; Tan, Z.; Fu, Z.; Wan, W.; Li, M.; Wang, C.; Cao, J. Reflective Scanning Imaging Based on a Fast Terahertz Photodetector. Opt. Commun. 2018, 427, 170–174. [Google Scholar] [CrossRef]
- Knipper, R.; Brahm, A.; Heinz, E.; May, T.; Notni, G.; Meyer, H.-G.; Tunnermann, A.; Popp, J. THz Absorption in Fabric and Its Impact on Body Scanning for Security Application. IEEE Trans. Terahertz Sci. Technol. 2015, 5, 999–1004. [Google Scholar] [CrossRef]
- Biedron, S.G.; Lewellen, J.W.; Milton, S.V.; Gopalsami, N.; Schneider, J.F.; Skubal, L.; Li, Y.; Virgo, M.; Gallerano, G.P.; Doria, A.; et al. Compact, High-Power Electron Beam Based Terahertz Sources. Proc. IEEE 2007, 95, 1666–1678. [Google Scholar] [CrossRef]
- Mitryukovskiy, S.I.; Liu, Y.; Prade, B.; Houard, A.; Mysyrowicz, A. Effect of an External Electric Field on the Coherent Terahertz Emission from Multiple Filaments in Air. Appl. Phys. B 2014, 117, 265–269. [Google Scholar] [CrossRef]
- Saeedkia, D.; Safavi-Naeini, S. Terahertz Photonics: Optoelectronic Techniques for Generation and Detection of Terahertz Waves. J. Light. Technol. 2008, 26, 2409–2423. [Google Scholar] [CrossRef]
- Jackson, J.B.; Bowen, J.; Walker, G.; Labaune, J.; Mourou, G.; Menu, M.; Fukunaga, K. A Survey of Terahertz Applications in Cultural Heritage Conservation Science. IEEE Trans. Terahertz Sci. Technol. 2011, 1, 220–231. [Google Scholar] [CrossRef]
- Zouaghi, W.; Thomson, M.D.; Rabia, K.; Hahn, R.; Blank, V.; Roskos, H.G. Broadband Terahertz Spectroscopy: Principles, Fundamental Research and Potential for Industrial Applications. Eur. J. Phys. 2013, 34, S179–S199. [Google Scholar] [CrossRef]
- Watanabe, S. Terahertz Polarization Imaging and Its Applications. Photonics 2018, 5, 58. [Google Scholar] [CrossRef]
- Yardimci, N.T.; Cakmakyapan, S.; Hemmati, S.; Jarrahi, M. A High-Power Broadband Terahertz Source Enabled by Three-Dimensional Light Confinement in a Plasmonic Nanocavity. Sci. Rep. 2017, 7, 4166. [Google Scholar] [CrossRef]
- Kong, H.; Li, G.; Jin, Z.; Ma, G.; Zhang, Z.; Zhang, C. Polarization-Independent Metamaterial Absorber for Terahertz Frequency. J. Infrared Millim. Terahertz Waves 2012, 33, 649–656. [Google Scholar] [CrossRef]
- Deng, G.; Hu, H.; Mo, H.; Yin, Z.; Lu, H.; Hu, M.; Li, J.; Yang, J. Liquid Crystal-Based Wide-Angle Metasurface Absorber with Large Frequency Tunability and Low Voltage. Opt. Express 2022, 30, 22550–22561. [Google Scholar] [CrossRef] [PubMed]
- Xu, L.-L.; Gong, Y.; Fan, Y.-X.; Tao, Z.-Y. A High-Resolution Terahertz Electric Field Sensor Using a Corrugated Liquid Crystal Waveguide. Crystals 2019, 9, 302. [Google Scholar] [CrossRef]
- Choi, S.B.; Park, D.J. Ultrafast Optical Switching of Terahertz Wave Transmission through Semiconductor/Metallic Subwavelength Slot Antenna Hybrid Structure. Curr. Appl. Phys. 2016, 16, 109–114. [Google Scholar] [CrossRef]
- Li, J. Fast-Tunable Terahertz Wave Filter Based on Kerr Medium. Opt. Laser Technol. 2014, 56, 263–268. [Google Scholar] [CrossRef]
- Busch, S.F.; Schumann, S.; Jansen, C.; Scheller, M.; Koch, M.; Fischer, B.M. Optically Gated Tunable Terahertz Filters. Appl. Phys. Lett. 2012, 100, 261109. [Google Scholar] [CrossRef]
- Rui, F.; Li, W. A Zone Plate as a Tunable Terahertz Filter. Chin. Phys. Lett. 2010, 27, 064201. [Google Scholar] [CrossRef]
- Li, S.; Liu, H.; Sun, Q.; Huang, N. A Tunable Terahertz Photonic Crystal Narrow-Band Filter. IEEE Photon. Technol. Lett. 2015, 27, 752–754. [Google Scholar] [CrossRef]
- Wilk, R.; Vieweg, N.; Kopschinski, O.; Koch, M. Liquid Crystal Based Electrically Switchable Bragg Structure for THz Waves. Opt. Express 2009, 17, 7377–7382. [Google Scholar] [CrossRef] [PubMed]
- Mendis, R.; Nag, A.; Chen, F.; Mittleman, D.M. A Tunable Universal Terahertz Filter Using Artificial Dielectrics Based on Parallel-Plate Waveguides. Appl. Phys. Lett. 2010, 97, 131106. [Google Scholar] [CrossRef]
- Vieweg, N.; Born, N.; Al-Naib, I.; Koch, M. Electrically Tunable Terahertz Notch Filters. J. Infrared Millim. Terahertz Waves 2012, 33, 327–332. [Google Scholar] [CrossRef]
- Yan, D.; Li, J.; Jin, L. Light-Controlled Tunable Terahertz Filters Based on Photoresponsive Liquid Crystals. Laser Phys. 2019, 29, 025401. [Google Scholar] [CrossRef]
- Capmany, J.; Domenech, D.; Munoz, P. Silicon Graphene Reconfigurable CROWS and SCISSORS. IEEE Photon. J. 2015, 7, 2700609. [Google Scholar] [CrossRef]
- Brunetti, G.; Sasanelli, N.; Armenise, M.N.; Ciminelli, C. High Performance and Tunable Optical Pump-Rejection Filter for Quantum Photonic Systems. Opt. Laser Technol. 2021, 139, 106978. [Google Scholar] [CrossRef]
- Azad, A.K.; Zhang, W. Resonant Terahertz Transmission in Subwavelength Metallic Hole Arrays of Sub-Skin-Depth Thickness. Opt. Lett. 2005, 30, 2945–2947. [Google Scholar] [CrossRef]
- Chen, X.L.; Chen, X.; Li, D.S.; Zhu, Z.Y. Dielectric Properties of Carbon-Materials-Filled Composites Characterized by Terahertz Time-Domain Spectroscopy. Adv. Mater. Res. 2011, 295–297, 1408–1413. [Google Scholar] [CrossRef]
- Park, H.; Parrott, E.P.J.; Fan, F.; Lim, M.; Han, H.; Chigrinov, V.G.; Pickwell-MacPherson, E. Evaluating Liquid Crystal Properties for Use in Terahertz Devices. Opt. Express 2012, 20, 11899–11905. [Google Scholar] [CrossRef] [PubMed]
- Zhang, L.; Fan, Y.-X.; Liu, H.; Xu, L.-L.; Xue, J.-L.; Tao, Z.-Y. Hypersensitive and Tunable Terahertz Wave Switch Based on Non-Bragg Structures Filled with Liquid Crystals. J. Light. Technol. 2017, 35, 3092–3098. [Google Scholar] [CrossRef]
- Wu, H.Y.; Hsieh, C.F.; Tang, T.T.; Pan, R.P.; Pan, C.L. Electrically Tunable Room-Temperature 2/Spl Pi/ Liquid Crystal Terahertz Phase Shifter. IEEE Photon. Technol. Lett. 2006, 18, 1488–1490. [Google Scholar]
- Ge, S.-J.; Shen, Z.-X.; Chen, P.; Liang, X.; Wang, X.-K.; Hu, W.; Zhang, Y.; Lu, Y.-Q. Generating, Separating and Polarizing Terahertz Vortex Beams via Liquid Crystals with Gradient-Rotation Directors. Cryst. 2017, 7, 314. [Google Scholar] [CrossRef]
- Li, X.; Tan, N.; Pivnenko, M.; Sibik, J.; Zeitler, J.A.; Chu, D. High-Birefringence Nematic Liquid Crystal for Broadband THz Applications. Liq. Cryst. 2016, 43, 955–962. [Google Scholar] [CrossRef]
- Yang, L.; Fan, F.; Chen, M.; Zhang, X.; Chang, S.-J. Active Terahertz Metamaterials Based on Liquid-Crystal Induced Transparency and Absorption. Opt. Commun. 2017, 382, 42–48. [Google Scholar] [CrossRef]
- Chen, X.; Ma, M.; Yang, X.; Yang, K.; Liu, D.; Te, J.; Wu, S.; Zhu, Z. Optical Properties of Carbon Materials Filled HDPE Composites in THz Region. Nucl. Sci. Tech. 2009, 265–270. [Google Scholar]
- Ordal, M.A.; Long, L.L.; Bell, R.J.; Bell, S.E.; Bell, R.R.; Alexander, R.W.; Ward, C.A. Optical Properties of the Metals Al, Co, Cu, Au, Fe, Pb, Ni, Pd, Pt, Ag, Ti, and W in the Infrared and Far Infrared. Appl. Opt. 1983, 22, 1099–1120. [Google Scholar] [CrossRef] [PubMed]
- Ma, J.; Liu, H.; Zhang, S.-Y.; Zou, W.-L.; Fan, Y.-X.; Tao, Z.-Y. Terahertz Resonances of Transverse Standing Waves in a Corrugated Plate Waveguide. IEEE Photon. J. 2022, 14, 5929508. [Google Scholar] [CrossRef]






| E (V/mm) | a | b | c | d | R2 | 
|---|---|---|---|---|---|
| 0 | 0.0656 | −0.1801 | 0.1296 | 1.592 | 0.9993 | 
| 3 | 0.0606 | −0.1859 | 0.1615 | 1.596 | 0.9971 | 
| 4 | 0.0246 | −0.0600 | 0.0322 | 1.650 | 0.9919 | 
| 5 | 0.0743 | −0.2360 | 0.2328 | 1.595 | 0.9931 | 
| 6 | 0.0578 | −0.1914 | 0.1925 | 1.622 | 0.9955 | 
| 7 | 0.0733 | −0.2384 | 0.2410 | 1.619 | 0.9945 | 
| Publisher’s Note: MDPI stays neutral with regard to jurisdictional claims in published maps and institutional affiliations. | 
© 2022 by the authors. Licensee MDPI, Basel, Switzerland. This article is an open access article distributed under the terms and conditions of the Creative Commons Attribution (CC BY) license (https://creativecommons.org/licenses/by/4.0/).
Share and Cite
Zhang, S.-Y.; Ma, J.; He, H.-L.; Tong, C.-G.; Liu, H.; Fan, Y.-X.; Tao, Z.-Y. An Electrically Tunable Terahertz Filter Based on Liquid-Crystal-Filled Slits with Wall Corrugations. Photonics 2022, 9, 894. https://doi.org/10.3390/photonics9120894
Zhang S-Y, Ma J, He H-L, Tong C-G, Liu H, Fan Y-X, Tao Z-Y. An Electrically Tunable Terahertz Filter Based on Liquid-Crystal-Filled Slits with Wall Corrugations. Photonics. 2022; 9(12):894. https://doi.org/10.3390/photonics9120894
Chicago/Turabian StyleZhang, Shi-Yang, Jing Ma, Hai-Ling He, Cheng-Guo Tong, Huan Liu, Ya-Xian Fan, and Zhi-Yong Tao. 2022. "An Electrically Tunable Terahertz Filter Based on Liquid-Crystal-Filled Slits with Wall Corrugations" Photonics 9, no. 12: 894. https://doi.org/10.3390/photonics9120894
APA StyleZhang, S.-Y., Ma, J., He, H.-L., Tong, C.-G., Liu, H., Fan, Y.-X., & Tao, Z.-Y. (2022). An Electrically Tunable Terahertz Filter Based on Liquid-Crystal-Filled Slits with Wall Corrugations. Photonics, 9(12), 894. https://doi.org/10.3390/photonics9120894
 
        

 
       