Dynamics Simulation of Self-Mode-Locking in a Semiconductor Disk Laser Using Delay Differential Equations
Abstract
1. Introduction
2. Delay Differential Equations for Passively ML
3. Simulation Results and Discussions
3.1. Determination of Parameters
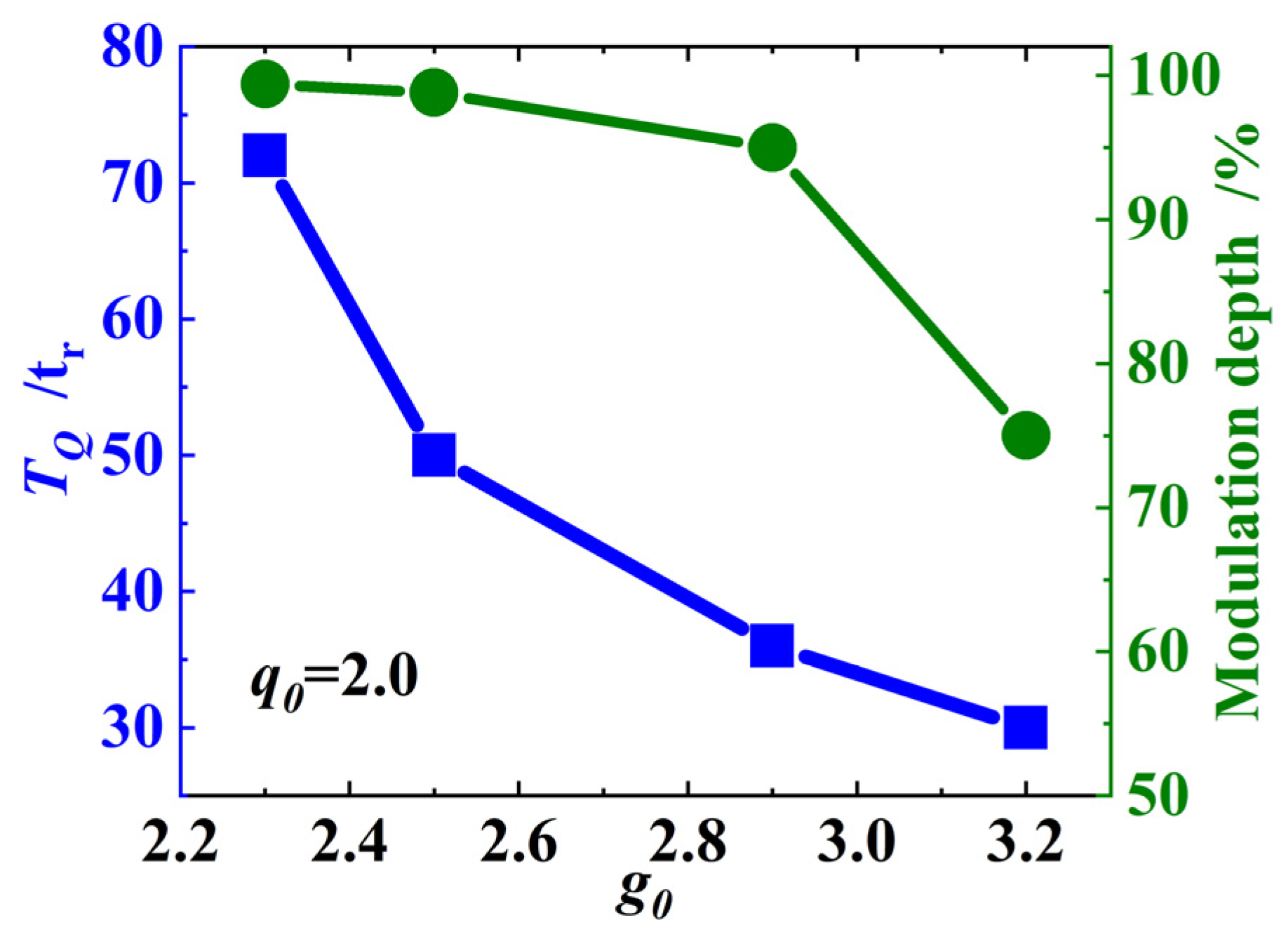
3.2. Q-Switched ML
3.3. CW ML
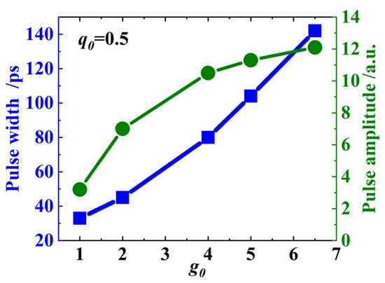
3.4. Harmonic ML
4. Conclusions
Author Contributions
Funding
Institutional Review Board Statement
Informed Consent Statement
Data Availability Statement
Conflicts of Interest
References
- Keller, U.; Tropper, A.C. Passively mode-locked surface-emitting semiconductor lasers. Phys. Rep. 2006, 429, 67–120. [Google Scholar] [CrossRef]
- Rahimi-Iman, A. Recent advances in VECSELs. J. Optics-UK 2016, 18, 093003. [Google Scholar] [CrossRef]
- Guina, M.; Rantamäki, A.; Härkönen, A. Optically pumped VECSELs: Review of technology and progress. J. Phys. D Appl. Phys. 2017, 50, 383001. [Google Scholar] [CrossRef]
- Tilma, B.W.; Mangold, M.; Zaugg, C.A.; Link, S.M.; Waldburger, D.; Klenner, A.; Mayer, A.S.; Gini, E.; Golling, M.; Keller, U. Recent advances in ultrafast semiconductor disk lasers. Light Sci. Appl. 2015, 4, e310. [Google Scholar] [CrossRef]
- Gaafar, M.A.; Rahimi-Iman, A.; Fedorova, K.A.; Stolz, W.; Rafailov, E.U.; Koch, M. Mode-locked semiconductor disk lasers. Adv. Opt. Photonics 2016, 8, 370–400. [Google Scholar] [CrossRef]
- Voigt, F.F.; Emaury, F.; Bethge, P.; Waldburger, D.; Link, S.M.; Carta, S.; van der Bourg, A.; Helmchen, F.; Keller, U. Multiphoton in vivo imaging with a femtosecond semiconductor disk laser. Biomed. Opt. Express 2017, 8, 3213–3231. [Google Scholar] [CrossRef] [PubMed]
- Link, S.M.; Maas, D.J.H.C.; Waldburger, D.; Keller, U. Dual-comb spectroscopy of water vapor with a free-running semiconductor disk laser. Science 2017, 356, 1164–1168. [Google Scholar] [CrossRef]
- Tinsley, J.N.; Bandarupally, S.; Penttinen, J.P.; Manzoor, S.; Ranta, S.; Salvi, L.; Guina, M.; Poli, N. Watt-level blue light for precision spectroscopy, laser cooling and trapping of strontium and cadmium atoms. Opt. Express 2021, 29, 25462–25476. [Google Scholar] [CrossRef]
- Hoogland, S.; Dhanjal, S.; Tropper, A.C.; Roberts, J.S.; Haring, R.; Paschotta, R.; Morier-Genoud, F.; Keller, U. Passively mode-locked diode-pumped surface-emitting semiconductor laser. IEEE Photonic. Tech. Lett. 2000, 12, 1135–1137. [Google Scholar] [CrossRef]
- Rudin, B.; Wittwer, V.J.; Maas, D.J.H.C.; Hoffmann, M.; Sieber, O.D.; Barbarin, Y.; Golling, M.; Südmeyer, T.; Keller, U. High-power MIXSEL: An integrated ultrafast semiconductor laser with 6.4 W average power. Opt. Express 2010, 18, 27582–27588. [Google Scholar] [CrossRef]
- Quarterman, A.H.; Wilcox, K.G.; Apostolopoulos, V.; Mihoubi, Z.; Elsmere, S.P.; Farrer, I.; Ritchie, D.A.; Tropper, A. A passively mode-locked external-cavity semiconductor laser emitting 60-fs pulses. Nat. Photonics 2009, 3, 729–731. [Google Scholar] [CrossRef]
- Mangold, M.; Zaugg, C.A.; Link, S.M.; Golling, M.; Tilma, B.W.; Keller, U. Pulse repetition rate scaling from 5 to 100 GHz with a high-power semiconductor disk laser. Opt. Express 2014, 22, 6099–6107. [Google Scholar] [CrossRef] [PubMed]
- Paschotta, R.; Häring, R.; Garnache, A.; Hoogland, S.; Tropper, A.C.; Keller, U. Soliton-like pulse-shaping mechanism in passively mode-locked surface-emitting semiconductor lasers. Appl. Phys. B 2002, 75, 445–451. [Google Scholar] [CrossRef]
- Kilen, I.; Hader, J.; Moloney, J.V.; Koch, S.W. Ultrafast nonequilibrium carrier dynamics in semiconductor laser mode locking. Optica 2014, 1, 192–197. [Google Scholar] [CrossRef]
- Shang, X.; Xu, N.; Zhang, H.; Li, D. Nonlinear photoresponse of high damage threshold titanium disulfide nanocrystals for Q-switched pulse generation. Opt. Laser Technol. 2022, 151, 107988. [Google Scholar] [CrossRef]
- Li, Y.; Zhang, J.; Jia, Z.; Liu, Y.; Nie, H.; Zhang, B.; Tao, X. Growth, thermal and spectroscopic properties, and continuous-wave laser performance of Tm, Ho: GGAG crystal for ∼ 2 μm lasers. J. Cryst. Growth 2022, 601, 126948. [Google Scholar] [CrossRef]
- Xu, N.; Wang, H.; Zhang, H.; Guo, L.; Shang, X.; Jiang, S.; Li, D. Palladium diselenide as a direct absorption saturable absorber for ultrafast mode-locked operations: From all anomalous dispersion to all normal dispersion. Nanophotonics 2020, 9, 4295–4306. [Google Scholar] [CrossRef]
- Pang, L.; Sun, Z.; Zhao, Q.; Wang, R.; Yuan, L.; Wu, R.; Lv, Y.; Liu, W. Ultrafast Photonics of Ternary RexNb(1–x)S2 in Fiber Lasers. ACS Appl. Mater. Inter. 2021, 13, 28721–28728. [Google Scholar] [CrossRef]
- Kornaszewski, L.; Maker, G.; Malcolm, G.P.; Butkus, M.; Rafailov, E.U.; Hamilton, C.J. SESAM-free mode-locked semiconductor disk laser. Laser Photonics Rev. 2012, 6, L20–L23. [Google Scholar] [CrossRef]
- Gaafar, M.; Richter, P.; Keskin, H.; Möller, C.; Wichmann, M.; Stolz, W.; Rahimi-Iman, A.; Koch, M. Self-mode-locking semiconductor disk laser. Opt. Express 2014, 22, 28390–28399. [Google Scholar] [CrossRef]
- Gaafar, M.; Möller, C.; Wichmann, M.; Heinen, B.; Kunert, B.; Rahimi-Iman, A.; Stolz, W.; Koch, M. Harmonic self-mode-locking of optically pumped semiconductor disc laser. Electron. Lett. 2014, 50, 542–543. [Google Scholar] [CrossRef]
- Moloney, J.V.; Kilen, I.; Baumner, A.; Scheller, M.; Koch, S.W. Nonequilibrium and thermal effects in mode-locked VECSELS. Opt. Express 2014, 22, 6422–6427. [Google Scholar] [CrossRef] [PubMed]
- Bek, R.; Großmann, M.; Kahle, H.; Koch, M.; Rahimi-Iman, A.; Jetter, M.; Michler, P. Self-mode-locked AlGaInP-VECSEL. Appl. Phys. Lett. 2017, 111, 182105. [Google Scholar] [CrossRef]
- Tsou, C.H.; Liang, H.C.; Huang, K.F.; Chen, Y.F. Observation of reflection feedback induced the formation of bright-dark pulse pairs in an optically pumped semiconductor laser. Opt. Express 2016, 24, 13000–13008. [Google Scholar] [CrossRef] [PubMed]
- Chen, Y.F.; Lee, Y.C.; Liang, H.C.; Lin, K.Y.; Su, K.W.; Huang, K.F. Femtosecond high-power spontaneous mode-locked operation in vertical-external cavity surface-emitting laser with gigahertz oscillation. Opt. Lett. 2011, 36, 4581–4583. [Google Scholar] [CrossRef]
- Albrecht, A.R.; Wang, Y.; Ghasemkhani, M.; Seletskiy, D.V.; Cederberg, J.G.; Sheik-Bahae, M. Exploring ultrafast negative Kerr effect for mode-locking vertical external-cavity surface-emitting lasers. Opt. Express 2013, 21, 28801–28808. [Google Scholar] [CrossRef] [PubMed]
- Kriso, C.; Kress, S.; Munshi, T.; Grossmann, M.; Bek, R.; Jetter, M.; Michler, P.; Stolz, W.; Koch, M.; Rahimi-Iman, A. Microcavity-enhanced Kerr nonlinearity in a vertical-external-cavity surface-emitting laser. Opt. Express 2019, 27, 11914–11929. [Google Scholar] [CrossRef]
- Morgner, U.; Kärtner, F.X.; Cho, S.H.; Chen, Y.; Haus, H.A.; Fujimoto, J.G.; Ippen, E.P.; Scheuer, V.; Angelow, G.; Tschudi, T. Sub-two-cycle pulses from a Kerr-lens mode-locked Ti: Sapphire laser. Opt. Lett. 1999, 24, 411–413. [Google Scholar] [CrossRef]
- Keller, U.; Weingarten, K.J.; Kartner, F.X.; Kopf, D.; Braun, B.; Jung, I.D.; Fluck, R.; Honninger, C.; Matuschek, N.; Der Au, J.A. Semiconductor saturable absorber mirrors (SESAM’s) for femtosecond to nanosecond pulse generation in solid-state lasers. IEEE J. Sel. Top. Quant. 1996, 2, 435–453. [Google Scholar] [CrossRef]
- Kilen, I.; Koch, S.W.; Hader, J.; Moloney, J.V. Non-equilibrium ultrashort pulse generation strategies in VECSELs. Optica 2017, 4, 412–417. [Google Scholar] [CrossRef]
- McLaren, S.; Kilen, I.; Moloney, J.V. Microscopic modeling of transverse mode instabilities in mode-locked vertical external-cavity surface-emitting lasers. Appl. Phys. Lett. 2020, 116, 031102. [Google Scholar] [CrossRef]
- Saarinen, E.J.; Härkönen, A.; Herda, R.; Suomalainen, S.; Orsila, L.; Hakulinen, T.; Guina, M.; Okhotnikov, O.G. Harmonically mode-locked VECSELs for multi-GHz pulse train generation. Opt. Express 2007, 15, 955–964. [Google Scholar] [CrossRef]
- Hausen, J.; Lüdge, K.; Gurevich, S.V.; Javaloyes, J. How carrier memory enters the Haus master equation of mode-locking. Opt. Lett. 2020, 45, 6210–6213. [Google Scholar] [CrossRef] [PubMed]
- Butkus, M.; Viktorov, E.A.; Erneux, T.; Hamilton, C.J.; Maker, G.; Malcolm, G.P.A.; Rafailov, E.U. 85.7 MHz repetition rate mode-locked semiconductor disk laser: Fundamental and soliton bound states. Opt. Express 2013, 21, 25526–25531. [Google Scholar] [CrossRef] [PubMed]
- Hausen, J.; Meinecke, S.; Lingnau, B.; Lüdge, K. Pulse cluster dynamics in passively mode-locked semiconductor vertical-external-cavity surface-emitting lasers. Phys. Rev. Appl. 2019, 11, 044055. [Google Scholar] [CrossRef]
- Schelte, C.; Hessel, D.; Javaloyes, J.; Gurevich, S.V. Dispersive instabilities in passively mode-locked integrated external-cavity surface-emitting lasers. Phys. Rev. Appl. 2020, 13, 054050. [Google Scholar] [CrossRef]
- Avrutin, E.A.; Panajotov, K. Delay-differential-equation modeling of mode- locked vertical-external-cavity surface-emitting lasers in different cavity configurations. Materials 2019, 12, 3224. [Google Scholar] [CrossRef]
- Haus, H.A. Mode-locking of lasers. IEEE J. Sel. Top. Quant. 2000, 6, 1173–1185. [Google Scholar] [CrossRef]
- Vladimirov, A.G.; Turaev, D.; Kozyreff, G. Delay differential equations for mode-locked semiconductor lasers. Opt. Lett. 2004, 29, 1221–1223. [Google Scholar] [CrossRef] [PubMed]
- Vladimirov, A.G.; Turaev, D. Model for passive mode locking in semiconductor lasers. Phys. Rev. A 2005, 72, 033808. [Google Scholar] [CrossRef]
- Arkhipov, R.; Pimenov, A.; Radziunas, M.; Rachinskii, D.; Vladimirov, A.G.; Arsenijević, D.; Schmeckebier, H.; Bimberg, D. Hybrid mode locking in semiconductor lasers: Simulations, analysis, and experiments. IEEE J. Sel. Top. Quant. 2012, 19, 1100208. [Google Scholar] [CrossRef]
- Quarterman, A.H.; Tyrk, M.A.; Wilcox, K.G. Z-scan measurements of the nonlinear refractive index of a pumped semiconductor disk laser gain medium. Appl. Phys. Lett. 2015, 106, 011105. [Google Scholar] [CrossRef]
- Huang, D.; Ulman, M.; Acioli, L.H.; Haus, H.A.; Fujimoto, J.G. Self-focusing-induced saturable loss for laser mode locking. Opt. Lett. 1992, 17, 511–513. [Google Scholar] [CrossRef] [PubMed]
- Brabec, T.; Spielmann, C.; Curley, P.F.; Krausz, F. Kerr lens mode locking. Opt. Lett. 1992, 17, 1292–1294. [Google Scholar] [CrossRef] [PubMed]
- Kriso, C.; Bergmeier, T.; Giannini, N.; Albrecht, A.R.; Sheik-Bahae, M.; Benis, S.; Faryadras, S.; van Stryland, E.W.; Hagan, D.J.; Koch, M.; et al. Probing the ultrafast gain and refractive index dynamics of a VECSEL. Appl. Phys. Lett. 2021, 119, 191105. [Google Scholar] [CrossRef]













| γ | κ | γg | γq | g0 | q0 | s | αg | αq |
|---|---|---|---|---|---|---|---|---|
| 200 | 0.9945 | 0.1 | 100 | 0.5–6.5 | 0.02–4.5 | 25 | 0 | 0 |
Publisher’s Note: MDPI stays neutral with regard to jurisdictional claims in published maps and institutional affiliations. |
© 2022 by the authors. Licensee MDPI, Basel, Switzerland. This article is an open access article distributed under the terms and conditions of the Creative Commons Attribution (CC BY) license (https://creativecommons.org/licenses/by/4.0/).
Share and Cite
Wang, T.; Zhu, R.; Tong, C.; Liu, Y.; Zhang, P. Dynamics Simulation of Self-Mode-Locking in a Semiconductor Disk Laser Using Delay Differential Equations. Photonics 2022, 9, 859. https://doi.org/10.3390/photonics9110859
Wang T, Zhu R, Tong C, Liu Y, Zhang P. Dynamics Simulation of Self-Mode-Locking in a Semiconductor Disk Laser Using Delay Differential Equations. Photonics. 2022; 9(11):859. https://doi.org/10.3390/photonics9110859
Chicago/Turabian StyleWang, Tao, Renjiang Zhu, Cunzhu Tong, Yunjie Liu, and Peng Zhang. 2022. "Dynamics Simulation of Self-Mode-Locking in a Semiconductor Disk Laser Using Delay Differential Equations" Photonics 9, no. 11: 859. https://doi.org/10.3390/photonics9110859
APA StyleWang, T., Zhu, R., Tong, C., Liu, Y., & Zhang, P. (2022). Dynamics Simulation of Self-Mode-Locking in a Semiconductor Disk Laser Using Delay Differential Equations. Photonics, 9(11), 859. https://doi.org/10.3390/photonics9110859
