Study on Transmission Characteristics and Bandgap Types of Plasma Photonic Crystal
Abstract
:1. Introduction
2. Transmission Characteristics and Bandstructure of PPC
2.1. Modeling of PPC Unit
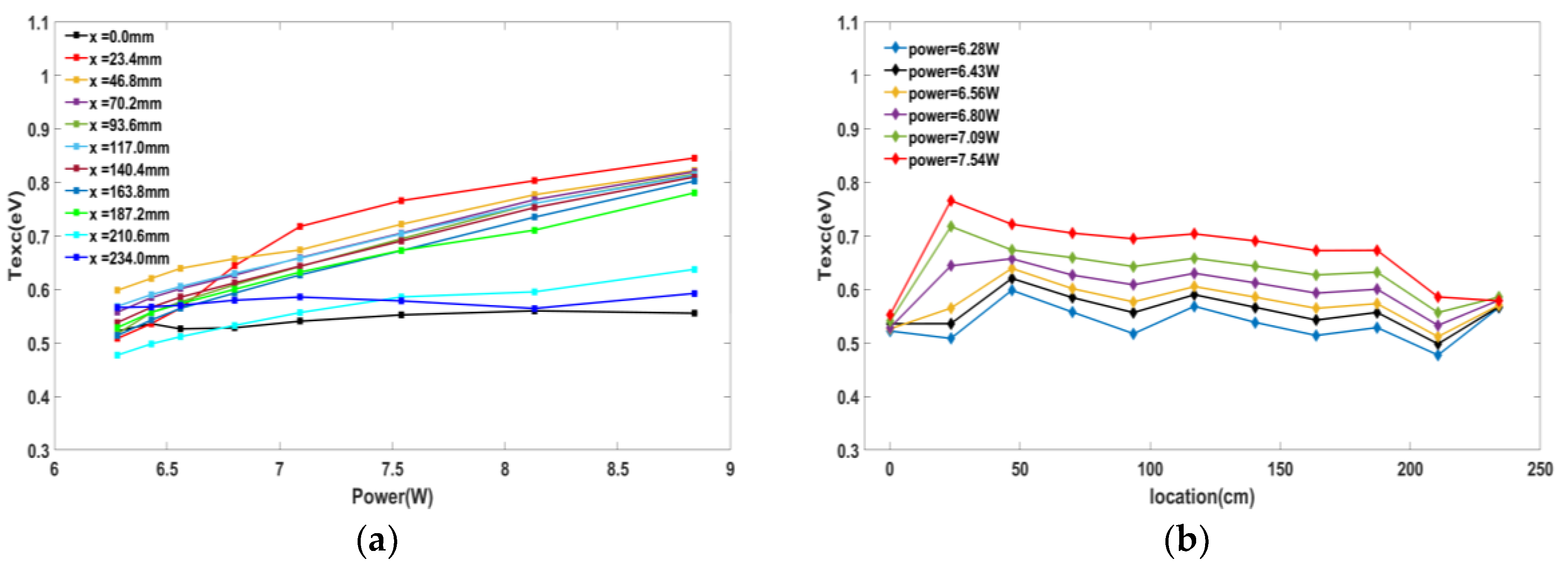
2.2. The Transmission Characteristics of PPC
2.3. The Bandstructure of PPC
3. Conclusions
- A layered model is established for the plasma discharge tube, the simulation and experiment results of the transmission spectra are in good agreement, indicating that the layered model is reasonable.
- The bandgap of a PPC is determined by the polarization direction and lattice type. The rise in electron density and collision frequency makes the LSP bandgap move toward high frequency and the bandgap depth becomes shallow.
- The type of bandgap in the transmission spectra can be determined by the bandstructure: a flat band in the bandstructure indicates the presence of LSP in the PPC, and regular bandgap is generated by Bragg scattering and the cutoff effect of plasma on electromagnetic waves.
- SFDTD, PWE, and FEM can calculate bandstructure; each has its advantages and disadvantages. Therefore, it is necessary to combine the results of the three methods and the experimental test results to accurately determine the bandgap type of the PPC.
Author Contributions
Funding
Conflicts of Interest
Appendix A. Modified Plane Wave Expansion Method

Appendix B. Derivation of Weak Form Equations
Appendix C. The Scheme of SFDTD
References
- Sakai, O.; Sakaguchi, T.; Tachibana, K. Verification of a plasma photonic crystal for microwaves of millimeter wavelength range using two-dimensional array of columnar microplasmas. Appl. Phys. Lett. 2005, 87, 241505. [Google Scholar] [CrossRef] [Green Version]
- Sakai, O.; Sakaguchi, T.; Ito, Y.; Tachibana, K. Interaction and control of millimetre-waves with microplasma arrays. Plasma Phys. Control. Fusion 2005, 47, B617–B627. [Google Scholar] [CrossRef]
- Fan, W.; Zhang, X.; Dong, L. Two-dimensional plasma photonic crystals in dielectric barrier discharge. Phys. Plasmas 2010, 17, 113501. [Google Scholar] [CrossRef]
- Wang, Y.; Dong, L.; Liu, W.; He, Y.; Li, Y. Generation of tunable plasma photonic crystals in meshed dielectric barrier discharge. Phys. Plasmas 2014, 21, 73505. [Google Scholar] [CrossRef]
- Wang, B.; Guez, J.A.R.I.; Cappelli, M.A. 3D woodpile structure tunable plasma photonic crystal. Plasma Sources Sci. Technol. 2019, 28, 02LT01. [Google Scholar] [CrossRef] [Green Version]
- Zhang, L.; Ouyang, J. Experiment and simulation on one-dimensional plasma photonic crystals. Phys. Plasmas 2014, 21, 103514. [Google Scholar] [CrossRef]
- Wen, Y.; Liu, S.; Zhang, H.; Wang, L. The absorber realized by 2D photonic crystals with plasma constituents. J. Phys. D Appl. Phys. 2018, 51, 25108. [Google Scholar] [CrossRef]
- Wang, B.; Cappelli, M.A. A plasma photonic crystal bandgap device. Appl. Phys. Lett. 2016, 108, 161101. [Google Scholar] [CrossRef]
- Arkhipenko, V.I.; Callegari, T.; Simonchik, L.V.; Sokoloff, J.; Usachonak, M.S. One-dimensional electromagnetic band gap structures formed by discharge plasmas in a waveguide. J. Appl. Phys. 2014, 116, 123302. [Google Scholar] [CrossRef]
- Babitski, V.S.; Callegari, T.; Simonchik, L.V.; Sokoloff, J.; Usachonak, M.S. One-dimensional electromagnetic band gap plasma structure formed by atmospheric pressure plasma inhomogeneities. J. Appl. Phys. 2017, 122, 83302. [Google Scholar] [CrossRef]
- Iwai, A.; Righetti, F.; Wang, B.; Sakai, O.; Cappelli, M.A. A tunable double negative device consisting of a plasma array and a negative-permeability metamaterial. Phys. Plasmas 2020, 27, 23511. [Google Scholar] [CrossRef]
- Wang, B.; Rodríguez, J.A.; Miller, O.; Cappelli, M.A. Reconfigurable plasma-dielectric hybrid photonic crystal as a platform for electromagnetic wave manipulation and computing. Phys. Plasmas 2021, 28, 43502. [Google Scholar] [CrossRef]
- Righetti, F.; Wang, B.; Cappelli, M.A. Enhanced attenuation due to lattice resonances in a two-dimensional plasma photonic crystal. Phys. Plasmas 2018, 25, 124502. [Google Scholar] [CrossRef]
- Tan, H.; Jin, C.; Zhuge, L.; Wu, X. Simulation on the Photonic Bandgap of 1-D Plasma Photonic Crystals. IEEE Trans. Plasma Sci. 2018, 46, 539–544. [Google Scholar] [CrossRef]
- Zhang, Y.; Wen, X.; Yang, W. Excitation temperatures of atmospheric argon in dielectric barrier discharges. Plasma Sources Sci. Technol. 2007, 16, 441–447. [Google Scholar] [CrossRef]
- Walker, A.L.; Curry, D.L.; Fannin, H.B. Comparison of Methodologies for the Determination of Excitation Temperatures of Plasma Support Gases. Appl. Spectrosc. 1994, 48, 333–337. [Google Scholar] [CrossRef]
- NIST: Atomic Spectra Database Lines Form. Available online: https://physics.nist.gov/PhysRefData/ASD/lines_form.html (accessed on 6 August 2021).
- Hagelaar, G.J.M.; Pitchford, L.C. Solving the Boltzmann equation to obtain electron transport coefficients and rate coefficients for fluid models. Plasma Sources Sci. Technol. 2005, 14, 722–733. [Google Scholar] [CrossRef]
- Maier, S.A. Plasmonics: Fundamentals and Applications; Springer: Berlin/Heidelberg, Germany, 2007. [Google Scholar]
- Ito, T.; Sakoda, K. Photonic bands of metallic systems. II. Features of surface plasmon polaritons. Phys. Rev. B 2001, 64, 1–8. [Google Scholar] [CrossRef]
- Hermansson, B.; Yevick, D. Generalized propagation techniques-application to semiconductor rib waveguide Y-junctions. IEEE Photonics Technol. Lett. 1990, 2, 738–740. [Google Scholar] [CrossRef]
- He, Z.; Liu, S.; Chen, S.; Zhong, S. Application of symplectic finite-difference time-domain scheme for anisotropic magnetised plasma. IET Microw. Antennas Propag. 2017, 11, 600–606. [Google Scholar] [CrossRef]











| (nm) | (10−7s−1) | (eV) | |
| 253.6521 | 0.84 | 4.887 | 3 |
| 312.6574 | 6.6 | 8.852 | 5 |
| 365.0158 | 12.90 | 8.857 | 7 |
| 404.6565 | 2.07 | 7.731 | 3 |
| 435.8335 | 5.60 | 7.731 | 3 |
| 546.075 | 4.9 | 7.731 | 5 |
Publisher’s Note: MDPI stays neutral with regard to jurisdictional claims in published maps and institutional affiliations. |
© 2021 by the authors. Licensee MDPI, Basel, Switzerland. This article is an open access article distributed under the terms and conditions of the Creative Commons Attribution (CC BY) license (https://creativecommons.org/licenses/by/4.0/).
Share and Cite
Liang, Y.; Liu, Z.; Peng, J.; Lin, L.; Lin, R.; Lin, Q. Study on Transmission Characteristics and Bandgap Types of Plasma Photonic Crystal. Photonics 2021, 8, 401. https://doi.org/10.3390/photonics8090401
Liang Y, Liu Z, Peng J, Lin L, Lin R, Lin Q. Study on Transmission Characteristics and Bandgap Types of Plasma Photonic Crystal. Photonics. 2021; 8(9):401. https://doi.org/10.3390/photonics8090401
Chicago/Turabian StyleLiang, Yichao, Zhen Liu, Jun Peng, Liguang Lin, Rubing Lin, and Qi Lin. 2021. "Study on Transmission Characteristics and Bandgap Types of Plasma Photonic Crystal" Photonics 8, no. 9: 401. https://doi.org/10.3390/photonics8090401
APA StyleLiang, Y., Liu, Z., Peng, J., Lin, L., Lin, R., & Lin, Q. (2021). Study on Transmission Characteristics and Bandgap Types of Plasma Photonic Crystal. Photonics, 8(9), 401. https://doi.org/10.3390/photonics8090401
