Y-Shaped Demultiplexer Photonic Circuits Based on Detuned Stubs: Application to Radiofrequency Domain
Abstract
:1. Introduction
2. Demultiplexer Based on U-Shaped Resonators
2.1. Theoretical Approach
2.2. Numerical and Experimental Results
3. Demultiplexer Based on Photonic Circuits with Cavities
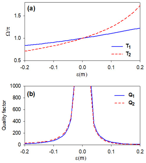
3.1. Theoretical Approach
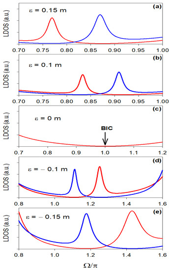
3.2. Numerical and Experimental Results
4. Conclusions
Supplementary Materials
Author Contributions
Funding
Institutional Review Board Statement
Informed Consent Statement
Data Availability Statement
Conflicts of Interest
References
- Akosman, A.E.; Mutlu, M.; Kurt, H.; Ozbay, E. Compact wavelength de-multiplexer design using slow light regime of photonic crystal waveguides. Opt. Express 2011, 19, 24129. [Google Scholar] [CrossRef] [Green Version]
- Zhang, X.; Liao, Q.; Yu, T.; Liu, N.; Huang, Y. Novel ultracompact wavelength division demultiplexer based on photonic band gap. Opt. Commun. 2012, 285, 274. [Google Scholar] [CrossRef]
- Rostami, A.; Nazari, F.; Banaei, H.A.; Bahrami, A. A novel proposal for DWDM demultiplexer design using modified-T photonic crystal structure. Photonics Nanostruct. 2010, 8, 14. [Google Scholar] [CrossRef]
- Goodarzi, K.; Mir, A. Design and analysis of an all-optical Demultiplexer based on photonic crystals. Infrared Phys. Technol. 2015, 68, 193. [Google Scholar] [CrossRef]
- Gupta, N.D.; Janyani, V. Dense wavelength division demultiplexing using photonic crystal waveguides based on cavity resonance. Optik 2014, 125, 5833. [Google Scholar] [CrossRef]
- Rostami-Dogolsara, B.; Moravvej-Farshi, M.K.; Nazari, F. Designing phononic crystal based tunable four-channel acoustic demultiplexer. J. Mol. Liq. 2019, 281, 100. [Google Scholar] [CrossRef]
- Dideban, A.; Habibiyan, H.; Ghafoorifard, H. Photonic crystal channel drop filters based on fractal structures. Phys. E 2014, 63, 304. [Google Scholar] [CrossRef]
- Rakhshani, M.R.; Mansouri-Birjandi, M.A. Design and simulation of wavelength demultiplexer based on heterostructure photonic crystals ring resonators. Phys. E 2013, 50, 97. [Google Scholar] [CrossRef]
- Moreolo, M.S.; Silvestri, F.; Armellino, M.; Hingerl, K.; Cincotti, G. Optimization of a 2D photonic crystal add/drop multiplexer based on contra-directional coupling. Photonics Nanostruct. 2006, 4, 155. [Google Scholar] [CrossRef]
- Little, B.E.; Chu, S.T.; Hryniewicz, J.V.; Absil, P.P. Filter synthesis for periodically coupled microring resonators. Opt. Lett. 2000, 25, 344. [Google Scholar] [CrossRef]
- Liao, Q.-H.; Fan, H.-M.; Chen, S.-W.; Wang, T.-B.; Yu, T.-B.; Huang, Y.-Z. The design of large separating angle ultracompact wavelength division demultiplexer based on photonic crystal ring resonators. Opt. Commun. 2014, 331, 160. [Google Scholar] [CrossRef]
- Li, J.-S.; Liu, H.; Zhang, L. Compact four-channel terahertz demultiplexer based on directional coupling photonic crystal. Opt. Commun. 2015, 350, 248. [Google Scholar] [CrossRef]
- Fleischhauer, M.; Imamoglu, A.; Marangos, J.P. Electromagnetically induced transparency: Optics in coherent media. Rev. Mod. Phys. 2005, 77, 633. [Google Scholar] [CrossRef] [Green Version]
- Boller, K.J.; Imamoglu, A.; Harris, S.E. Observation of electromagnetically induced transparency. Phys. Rev. Lett. 1991, 66, 2593. [Google Scholar] [CrossRef] [Green Version]
- Fano, U. Effects of Configuration Interaction on Intensities and Phase Shifts. Phys. Rev. 1961, 124, 1866. [Google Scholar] [CrossRef]
- Miroshnichenko, A.E.; Flach, S.; Kivsha, Y.S. Fano resonances in nanoscale structures. Rev. Mod. Phys. 2010, 82, 2257. [Google Scholar] [CrossRef] [Green Version]
- Hau, L.V.; Harris, S.E.; Dutton, Z.; Behroozi, C.H. Light speed reduction to 17 metres per second in an ultracold atomic gas. Nature 1999, 397, 594. [Google Scholar] [CrossRef]
- Liu, C.; Dutton, Z.; Behroozi, C.H.; Hau, L.V. Observation of coherent optical information storage in an atomic medium using halted light pulses. Nature 2001, 409, 490. [Google Scholar] [CrossRef] [Green Version]
- Wang, S.; Zhao, T.; Yu, S.; Ma, W. High-Performance Nano-Sensing and Slow-Light Applications Based on Tunable Multiple Fano Resonances and EIT-Like Effects in Coupled Plasmonic Resonator System. IEEE 2020, 8, 40599. [Google Scholar] [CrossRef]
- Mouadili, A.; Boudouti, E.H.E.; Soltani, A.; Talbi, A.; Djafari-Rouhani, B.; Akjouj, A.; Haddadi, K. Electromagnetically induced absorption in detuned stub waveguides: A simple analytical and experimental model. J. Phys. Condens. Matter 2014, 26, 505901. [Google Scholar] [CrossRef]
- Mouadili, A.; Boudouti, E.H.E.; Soltani, A.; Talbi, A.; Akjouj, A.; Djafari-Rouhani, B. Theoretical and experimental evidence of Fano-like resonances in simple monomode photonic circuits. J. Appl. Phys. 2013, 113, 164101. [Google Scholar] [CrossRef]
- Caselli, N.; Intonti, F.; China, F.L.; Biccari, F.; Riboli, F.; Gerardino, A.; Li, L.; Linfield, E.H.; Pagliano, F.; Fiore, A.; et al. Generalized Fano lineshapes reveal exceptional points in photonic molecules. Nat. Commun. 2018, 9, 396. [Google Scholar] [CrossRef]
- Boudouti, E.H.E.; Mrabti, T.; Al-Wahsh, H.; Djafari-Rouhani, B.; Akjouj, A.; Dobrzynski, L. Transmission gaps and Fano resonances in an acoustic waveguide: Analytical model. J. Phys. Condens. Matter 2008, 20, 255212. [Google Scholar] [CrossRef]
- Merkel, A.; Theocharis, G.; Richoux, O.; Romero-Garcia, V.; Pagneux, V. Control of acoustic absorption in one-dimensional scattering by resonant scatterers. Appl. Phys. Lett. 2015, 107, 244102. [Google Scholar] [CrossRef]
- Simoncelli, S.; Li, Y.; Cortes, E.; Maier, S.A. Imaging Plasmon Hybridization of Fano Resonances via Hot-Electron-Mediated Absorption Mapping. Nano Lett. 2018, 18, 3400. [Google Scholar] [CrossRef]
- Huang, T.; Zeng, S.; Zhao, X.; Cheng, Z.; Shum, P.P. Fano Resonance Enhanced Surface Plasmon Resonance Sensors Operating in Near-Infrared. Photonics 2018, 5, 23. [Google Scholar] [CrossRef] [Green Version]
- Jamilana, S.; Semouchkin, G.; Semouchkina, E. Analog of electromagnetically induced transparency in metasurfaces composed of identical dielectric disks. J. Appl. Phys. 2021, 129, 063101. [Google Scholar] [CrossRef]
- Mouadili, A.; Boudouti, E.H.E.; Soltani, A.; Talbi, A.; Haddadi, K.; Akjouj, A.; Djafari-Rouhani, B. Photonic demultiplexer based on electromagnetically induced transparency resonances. J. Phys. D Appl. Phys. 2019, 52, 075101. [Google Scholar] [CrossRef]
- Mouadili, A.; Boudouti, E.H.E.; Djafari-Rouhani, B. Acoustic demultiplexer based on Fano and induced transparency resonances in slender tubes. Eur. Phys. J. Appl. Phys. 2020, 90, 10902. [Google Scholar] [CrossRef]
- Gu, T.; Cheng, Y.; Wen, Z.; Boudouti, E.H.E.; Jin, Y.; Li, Y.; Djafari-Rouhani, B. Induced transparency based subwavelength acoustic demultiplexers. J. Phys. D Appl. Phys. 2021, 54, 175301. [Google Scholar] [CrossRef]
- Amrani, M.; Khattou, S.; Noual, A.; Boudouti, E.H.E.; Djafari-Rouhani, B. Plasmonic Demultiplexer Based on Induced Transparency Resonances: Analytical and Numerical Study. Lect. Notes Electr. Eng. 2021, 681, 239. [Google Scholar]
- Noual, A.; Akjouj, A.; Pennec, Y.; Gillet, J.; Djafari-Rouhani, B. Modeling of two-dimensional nanoscale Y-bent plasmonic waveguides with cavities for demultiplexing of the telecommunication wavelengths. New J. Phys. 2009, 11, 103020. [Google Scholar] [CrossRef]
- Zhu, Z.; Garcia-Ortiz, C.E.; Han, Z.; Radko, I.P.; Bozhevolnyi, S.I. Compact and broadband directional coupling and demultiplexing in dielectric-loaded surface plasmon polariton waveguides based on the multimode interference effect. Appl. Phys. Lett. 2013, 103, 061108. [Google Scholar] [CrossRef] [Green Version]
- Chien, F.-S.-S.; Cheng, S.-C.; Hsu, Y.-J.; Hsieh, W.-F. Dual-band multiplexer/demultiplexer with photonic-crystal-waveguide couplers for bidirectional communications. Opt. Commun. 2006, 266, 592. [Google Scholar] [CrossRef]
- Absala, H. A Four-Channel Optical Demultiplexer Using Photonic Crystal-Based Resonant Cavities. J. Opt. Commun. 2018, 39, 369. [Google Scholar] [CrossRef]
- Mohammad Reza, R. Compact eight-channel wavelength demultiplexer using modified photonic crystal ring resonators for CWDM applications. Photonic Netw. Commun. 2020, 39, 143. [Google Scholar]
- Feng, Z.; Lin, J.; Feng, S. Optical device terahertz integration in a two-dimensional–three-dimensional heterostructure. Appl. Opt. 2018, 57, 185. [Google Scholar] [CrossRef]
- Li, Y.; Jiang, H.; He, L.; Li, H.; Zhang, Y.; Chena, H. Multichanneled filter based on a branchy defect in microstrip photonic crystal. Appl. Phys. Lett. 2006, 88, 081106. [Google Scholar] [CrossRef]
- Chen, Z.; Hu, R.; Cui, L.; Yu, L.; Wang, L.; Xiao, J. Plasmonic wavelength demultiplexers based on tunable Fano resonance in coupled-resonator systems. Opt. Commun. 2014, 320, 6. [Google Scholar] [CrossRef]
- Lu, H.; Liu, X.; Gong, Y.; Mao, D.; Wang, L. Enhancement of transmission efficiency of nanoplasmonic wavelength demultiplexer based on channel drop filters and reflection nanocavitie. Opt. Express 2011, 19, 12885. [Google Scholar] [CrossRef]
- Faghani, A.A.; Yaghoubi, E. Triple-channel glasses-shape nanoplasmonic demultiplexer based on multi nanodisk resonators in MIM waveguide. Optik 2021, 237, 166697. [Google Scholar] [CrossRef]
- Liu, R.-J.; Li, Z.-Y.; Feng, Z.; Cheng, B.-Y.; Zhang, D.-Z. Channel-drop filters in three-dimensional woodpile photonic crystals. J. Appl. Phys. 2008, 103, 094514. [Google Scholar] [CrossRef]
- Khorshidahmad, A.; Kirk, A.G. Composite superprism photonic crystal demultiplexer: Analysis and design. Opt. Express 2010, 18, 20518. [Google Scholar] [CrossRef]
- Akosman, A.E.; Mutlu, M.; Kurt, H.; Ozbay, E. Dual-frequency division de-multiplexer based on cascaded photonic crystal waveguides. Phys. B Condens. Matter 2012, 407, 4043. [Google Scholar] [CrossRef]
- Nurmohammadi, T.; Abbasian, K.; Yadipour, R. A proposal for a demultiplexer based on plasmonic metal–insulator–metal waveguide-coupled ring resonator operating in near-infrared spectrum. Optik 2017, 142, 550. [Google Scholar] [CrossRef]
- Liu, H.; Gao, Y.; Zhu, B.; Ren, G.; Jian, S. A T-shaped high resolution plasmonic demultiplexer based on perturbations of two nanoresonators. Opt. Commun. 2015, 334, 164. [Google Scholar] [CrossRef]
- Zhu, Q.; Li, B. Photonic crystal waveguide-based Mach–Zehnder demultiplexer. Appl. Opt. 2006, 45, 8870. [Google Scholar] [CrossRef]
- Lu, K.; Wang, G.; Xu, H.; Yin, X. Design of Compact Planar Diplexer Based on Novel Spiral-Based Resonators. Radioengineering 2012, 21, 1. [Google Scholar]
- Dobrzynski, L.; Akjouj, A.; Boudouti, E.H.E.; Lêveque, G.; Al-Wahsh, H.; Pennec, Y.; Ghouila-Houri, C.; Talbi, A.; Djafari-Rouhani, B.; Jin, Y. Photonics; Elsevier: Amsterdam, The Netherlands, 2020. [Google Scholar]
- Vasseur, J.O.; Akjouj, A.; Dobrzynski, L.; Djafari-Rouhani, B.; Boudouti, E.H.E. Photon, electron, magnon, phonon and plasmon mono-mode circuits. Surf. Sci. Rep. 2004, 54, 1. [Google Scholar] [CrossRef]
- Hsu, C.W.; Zhen, B.; Stone, A.D.; Joannopoulos, J.D.; Soljacic, M. Bound states in the continuum. Nat. Rev. Mater. 2016, 1, 16048. [Google Scholar] [CrossRef] [Green Version]
- Khattou, S.; Amrani, M.; Mouadili, A.; Boudouti, E.H.E.; Talbi, A.; Akjouj, A.; Djafari-Rouhani, B. Comparison of density of states and scattering parameters in coaxial photonic crystals: Theory and experiment. Phys. Rev. B 2020, 102, 165310. [Google Scholar] [CrossRef]
- Delphi, G.; Olyaee, S.; Seifouri, M.; Bahabady, A.M. Design of low cross-talk and high-quality-factor 2-channel and 4-channel optical demultiplexers based on photonic crystal nano-ring resonator. Photonic Netw. Commun. 2019, 38, 250. [Google Scholar] [CrossRef]
- Ghorbanpour, H.; Makouei, S. 2-channel all optical demultiplexer based on photonic crystal ring resonator. Front. Optoelectron. 2013, 6, 224. [Google Scholar] [CrossRef]
- Bazargani, M.; Gharekhanlou, B.; Banihashemi, M. Design of Optical 2-Channel Demultiplexer Using Selective Optofluidic Infiltration within Photonic Crystal Structure. Radioengineering 2020, 29, 3. [Google Scholar] [CrossRef]
- Delphi, G.; Olyaee, S.; Seifouri, M.; Mohebzadeh‑Bahabady, A. Design of an add filter and a 2-channel optical demultiplexer with high-quality factor based on nano-ring resonator. J. Comput. Electron. 2019, 18, 1372. [Google Scholar] [CrossRef]
- Djafari-Rouhani, B.; Boudouti, E.H.E.; Akjouj, A.; Vasseur, J.O.; Dobrzynski, L. Transmission and filtering in photonic circuits: Effects of absorption and amplification. Prog. Surf. Sci. 2003, 74, 389. [Google Scholar] [CrossRef]
- Oh, S.S.; Kee, C.-S.; Kim, J.-E.; Park, H.Y.; Kim, T.I.; Park, I.; Lim, H. Duplexer using microwave photonic band gap structure. Appl. Phys. Lett. 2000, 76, 2301. [Google Scholar] [CrossRef]
- Kee, C.-S.; Park, I.; Lima, H.; Kim, J.-E.; Park, H.Y. Microwave photonic crystal multiplexer and its applications. Curr. Appl. Phys. 2001, 1, 84. [Google Scholar] [CrossRef]
- Akalin, T.; Laso, M.A.G.; Lopetegi, T.; Vanbésien, O.; Sorolla, M.; Lippens, D. PBG-type microstrip filters with one- and two-sided patterns. Microw. Opt. Tech. Lett. 2001, 30, 69. [Google Scholar] [CrossRef]
- Djafari-Rouhani, B.; Boudouti, E.H.E.; Akjouj, A.; Dobrzynski, L.; Vasseur, J.O.; Mir, A.; Fettouhi, N.; Zemmouri, J. Surface states in one-dimensional photonic band gap structures. Vacuum 2001, 63, 177. [Google Scholar] [CrossRef]
- Pennec, Y.; Beaugeois, M.; Djafari-Rouhani, B.; Sainidou, R.; Akjouj, A.; Vasseur, J.O.; Dobrzynski, L.; Boudouti, E.H.E.; Vilcot, J.-P.; Bouazaoui, M.; et al. Microstubs resonators integrated to bent Y-branch waveguide. Photonics Nanostruct. 2008, 6, 26. [Google Scholar] [CrossRef]










Publisher’s Note: MDPI stays neutral with regard to jurisdictional claims in published maps and institutional affiliations. |
© 2021 by the authors. Licensee MDPI, Basel, Switzerland. This article is an open access article distributed under the terms and conditions of the Creative Commons Attribution (CC BY) license (https://creativecommons.org/licenses/by/4.0/).
Share and Cite
Mouadili, A.; Khattou, S.; Amrani, M.; El Boudouti, E.H.; Fettouhi, N.; Talbi, A.; Akjouj, A.; Djafari-Rouhani, B. Y-Shaped Demultiplexer Photonic Circuits Based on Detuned Stubs: Application to Radiofrequency Domain. Photonics 2021, 8, 386. https://doi.org/10.3390/photonics8090386
Mouadili A, Khattou S, Amrani M, El Boudouti EH, Fettouhi N, Talbi A, Akjouj A, Djafari-Rouhani B. Y-Shaped Demultiplexer Photonic Circuits Based on Detuned Stubs: Application to Radiofrequency Domain. Photonics. 2021; 8(9):386. https://doi.org/10.3390/photonics8090386
Chicago/Turabian StyleMouadili, Abdelkader, Soufyane Khattou, Madiha Amrani, El Houssaine El Boudouti, Noureddine Fettouhi, Abdelkrim Talbi, Abdellatif Akjouj, and Bahram Djafari-Rouhani. 2021. "Y-Shaped Demultiplexer Photonic Circuits Based on Detuned Stubs: Application to Radiofrequency Domain" Photonics 8, no. 9: 386. https://doi.org/10.3390/photonics8090386
APA StyleMouadili, A., Khattou, S., Amrani, M., El Boudouti, E. H., Fettouhi, N., Talbi, A., Akjouj, A., & Djafari-Rouhani, B. (2021). Y-Shaped Demultiplexer Photonic Circuits Based on Detuned Stubs: Application to Radiofrequency Domain. Photonics, 8(9), 386. https://doi.org/10.3390/photonics8090386

