Controlling Microresonator Solitons with the Counter-Propagating Pump
Abstract
:1. Introduction
2. Model
2.1. Equations, Field Envelopes and Modes
2.2. Redefining the Envelope Functions and Eliminating the Repetition-Rate Terms
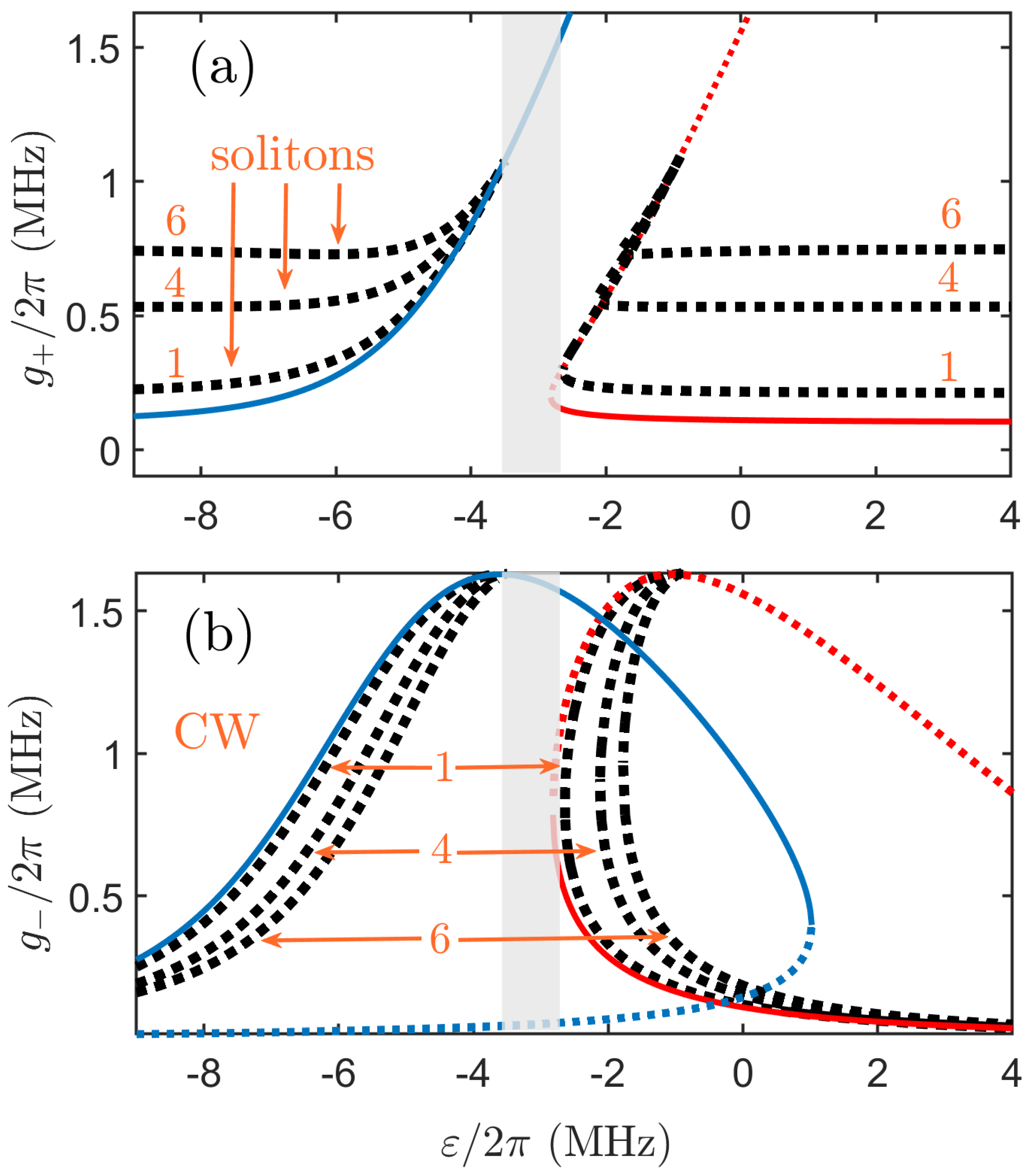
3. Single-Mode, Single-Soliton and Soliton-Crystal States and Their Role in the Soliton-Blockade Effect
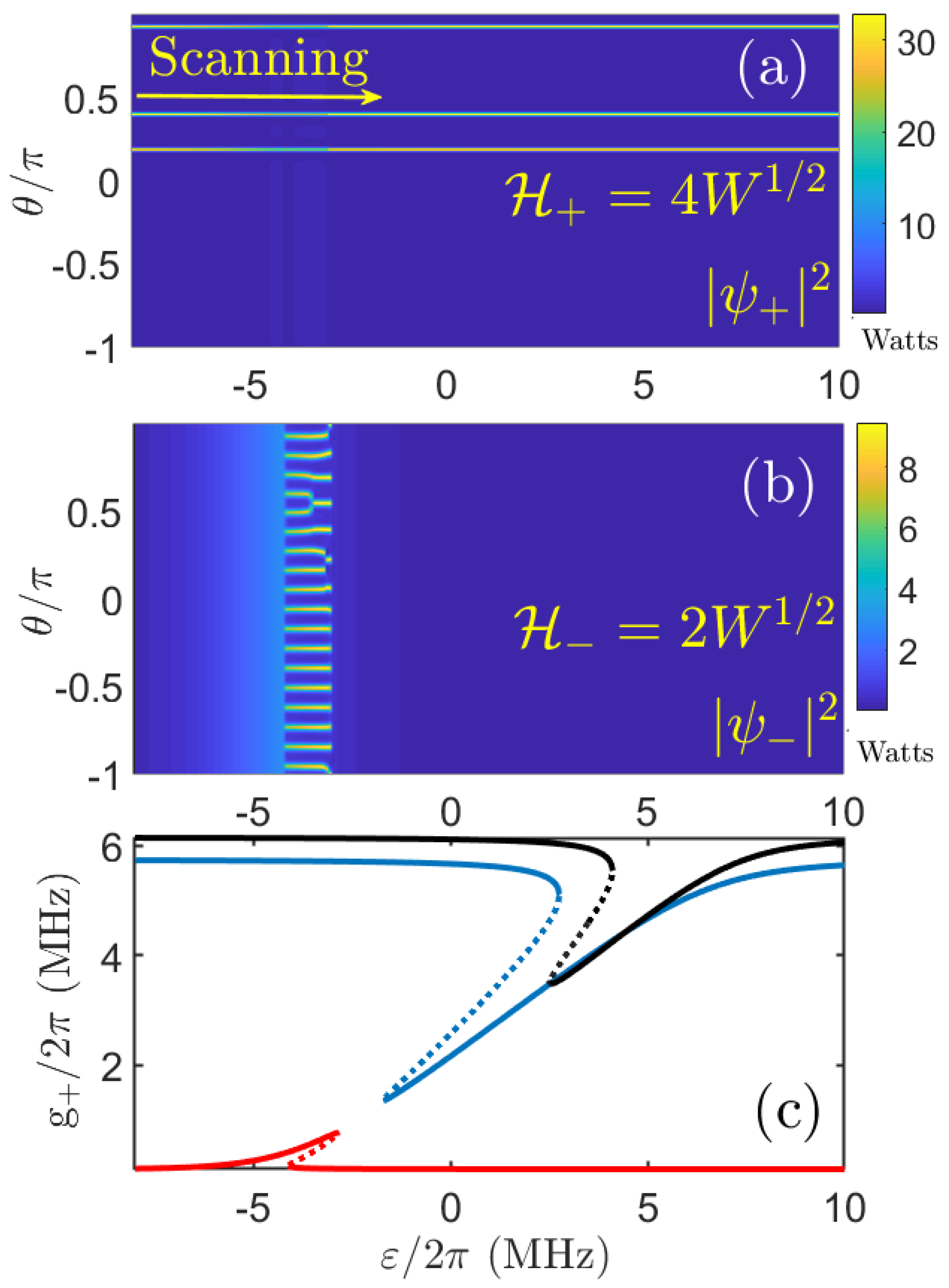
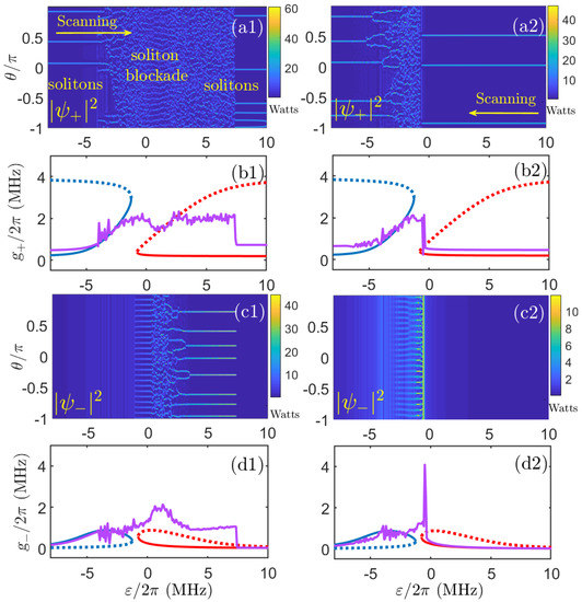
4. Controlling Solitons by Tuning the Cw-Component: Direct and Reverse Scans
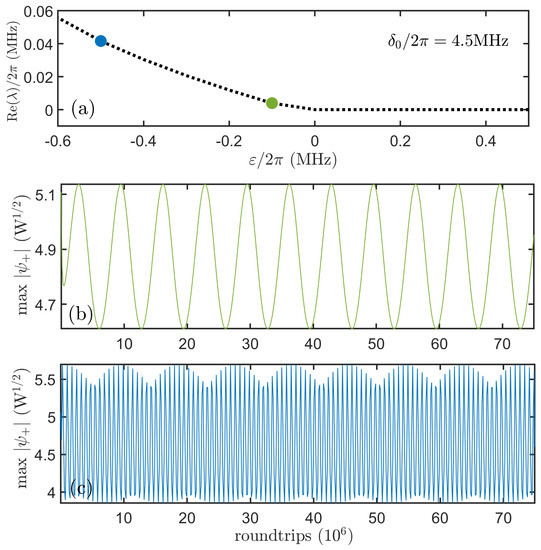
5. Soliton Stability and Breathers
6. Summary
Author Contributions
Funding
Acknowledgments
Conflicts of Interest
References
- Kippenberg, T.J.; Gaeta, A.L.; Lipson, M.; Gorodetsky, M.L. Dissipative Kerr solitons in optical microresonators. Science 2018, 361, eaan8083. [Google Scholar] [CrossRef] [Green Version]
- Yang, Q.F.; Yi, X.; Yang, K.Y.; Vahala, K. Counter-propagating solitons in microresonators. Nat. Photon. 2017, 11, 560. [Google Scholar] [CrossRef] [Green Version]
- Joshi, C.; Klenner, A.; Okawachi, Y.; Yu, M.; Luke, K.; Ji, X.; Lipson, M.; Gaeta, A.L. Counter-rotating cavity solitons in a silicon nitride microresonator. Opt. Lett. 2018, 43, 547. [Google Scholar] [CrossRef] [PubMed]
- Weng, W.; Bouchand, R.; Lucas, E.; Kippenberg, T.J. Polychromatic Cherenkov Radiation Induced Group Velocity Symmetry Breaking in Counterpropagating Dissipative Kerr Solitons. Phys. Rev. Lett. 2019, 123, 253902. [Google Scholar] [CrossRef] [PubMed] [Green Version]
- Bino, L.D.; Silver, J.M.; Stebbings, S.L.; Del’Haye, P. Symmetry Breaking of Counter-Propagating Light in a Nonlinear Resonator. Sci. Rep. 2017, 7, 43142. [Google Scholar] [CrossRef] [Green Version]
- Cao, Q.; Wang, H.; Dong, C.; Jing, H.; Liu, R.; Chen, X.; Ge, L.; Gong, Q.; Xiao, Y. Experimental Demonstration of Spontaneous Chirality in a Nonlinear Microresonator. Phys. Rev. Lett. 2017, 118, 033901. [Google Scholar] [CrossRef] [PubMed] [Green Version]
- Li, J.; Suh, M.-G.; Vahala, K. Microresonator Brillouin gyroscope. Optica 2017, 4, 346. [Google Scholar] [CrossRef] [Green Version]
- Lai, Y.H.; Lu, Y.K.; Suh, M.G.; Yuan, Z.Q.; Vahala, K. Observation of the exceptional-point-enhanced Sagnac effect. Nature 2019, 576, 65. [Google Scholar] [CrossRef] [PubMed] [Green Version]
- Matsko, A.B.; Liang, W.; Savchenkov, A.A.; Ilchenko, V.S.; Maleki, L. Fundamental limitations of sensitivity of whispering gallery mode gyroscopes. Phys. Lett. A 2018, 382, 2289. [Google Scholar] [CrossRef]
- Liang, W.; Ilchenko, V.S.; Savchenkov, A.A.; Dale, E.; Eliyahu, D.; Matsko, A.B.; Maleki, L. Resonant microphotonic gyroscope. Optica 2017, 4, 114. [Google Scholar] [CrossRef]
- Li, B.; Ozdemir, Ş.K.; Xu, X.W.; Zhang, L.; Kuang, L.M.; Jing, H. Nonreciprocal optical solitons in a spinning Kerr resonator. Phys. Rev. A 2021, 103, 053522. [Google Scholar] [CrossRef]
- Cole, D.C.; Gatti, A.; Papp, S.B.; Prati, F.; Lugiato, L. Theory of Kerr frequency combs in Fabry-Perot resonators. Phys. Rev. A 2018, 98, 013831. [Google Scholar] [CrossRef] [Green Version]
- Skryabin, D.V. Hierarchy of coupled mode and envelope models for bi-directional microresonators with Kerr nonlinearity. OSA Contin. 2020, 3, 1364. [Google Scholar] [CrossRef]
- Kondratiev, N.M.; Lobanov, V.E. Modulational instability and frequency combs in whispering-gallery-mode microresonators with backscattering. Phys. Rev. A 2020, 101, 013816. [Google Scholar] [CrossRef] [Green Version]
- Fan, Z.; Skryabin, D.V. Soliton blockade in bidirectional microresonators. Opt. Lett. 2020, 45, 6446. [Google Scholar] [CrossRef]
- Savchenkov, A.A.; Matsko, A.B.; Ilchenko, V.S.; Maleki, L. Optical resonators with ten million finesse. Opt. Express 2007, 15, 6768. [Google Scholar] [CrossRef]
- Skryabin, D.V.; Fan, Z.; Villois, A.; Puzyrev, D.N. Threshold of complexity and Arnold tongues in Kerr-ring microresonators. Phys. Rev. A 2021, 103, L011502. [Google Scholar] [CrossRef]
- Puzyrev, D.N.; Skryabin, D.V. Finesse and four-wave mixing in microresonators. Phys. Rev. A 2021, 103, 013508. [Google Scholar] [CrossRef]
- Cole, D.C.; Lamb, E.S.; Del’Haye, P.; Diddams, S.A.; Papp, S.B. Soliton crystals in Kerr resonators. Nat. Photon. 2017, 11, 671. [Google Scholar] [CrossRef] [Green Version]
- Karpov, M.; Pfeiffer, M.H.P.; Guo, H.; Weng, W.; Liu, J.; Kippenberg, T.J. Dynamics of soliton crystals in optical microresonators. Nat. Phys. 2019, 15, 1071. [Google Scholar] [CrossRef] [Green Version]
- Yu, M.; Jang, J.K.; Okawachi, Y.; Griffith, A.G.; Luke, K.; Miller, S.A.; Ji, X.; Lipson, M.; Gaeta, A.L. Breather soliton dynamics in microresonators. Nat. Commun. 2017, 8, 14569. [Google Scholar] [CrossRef]
- Lucas, E.; Karpov, M.; Guo, H.; Gorodetsky, M.L.; Kippenberg, T.J. Breathing dissipative solitons in optical microresonators. Nat. Commun. 2017, 8, 736. [Google Scholar] [CrossRef] [PubMed]
- Johansson, M.; Lobanov, V.E.; Skryabin, D.V. Stability analysis of numerically exact time-periodic breathers in the Lugiato-Lefever equation: Discrete vs continuum. Phys. Rev. Res. 2019, 1, 033196. [Google Scholar] [CrossRef] [Green Version]
- Marconi, M.; Metayer, C.; Acquaviva, A.; Boyer, J.M.; Gomel, A.; Quiniou, T.; Masoller, C.; Giudici, M.; Tredicce, J.R. Testing Critical Slowing Down as a Bifurcation Indicator in a Low-Dissipation Dynamical System. Phys. Rev. Lett. 2020, 125, 134102. [Google Scholar] [CrossRef] [PubMed]
- Kovalev, A.V.; Dmitriev, P.S.; Vladimirov, A.G.; Pimenov, A.; Huyet, G.; Viktorov, E.A. Bifurcation structure of a swept-source laser. Phys. Rev. E 2020, 101, 012212. [Google Scholar] [CrossRef] [PubMed] [Green Version]








Publisher’s Note: MDPI stays neutral with regard to jurisdictional claims in published maps and institutional affiliations. |
© 2021 by the authors. Licensee MDPI, Basel, Switzerland. This article is an open access article distributed under the terms and conditions of the Creative Commons Attribution (CC BY) license (https://creativecommons.org/licenses/by/4.0/).
Share and Cite
Fan, Z.; Skryabin, D.V. Controlling Microresonator Solitons with the Counter-Propagating Pump. Photonics 2021, 8, 239. https://doi.org/10.3390/photonics8070239
Fan Z, Skryabin DV. Controlling Microresonator Solitons with the Counter-Propagating Pump. Photonics. 2021; 8(7):239. https://doi.org/10.3390/photonics8070239
Chicago/Turabian StyleFan, Zhiwei, and Dmitry V. Skryabin. 2021. "Controlling Microresonator Solitons with the Counter-Propagating Pump" Photonics 8, no. 7: 239. https://doi.org/10.3390/photonics8070239
APA StyleFan, Z., & Skryabin, D. V. (2021). Controlling Microresonator Solitons with the Counter-Propagating Pump. Photonics, 8(7), 239. https://doi.org/10.3390/photonics8070239

