An Eye-Safe, SBS-Free Coherent Fiber Laser LIDAR Transmitter with Millijoule Energy and High Average Power
Abstract
1. Introduction
2. Materials and Methods
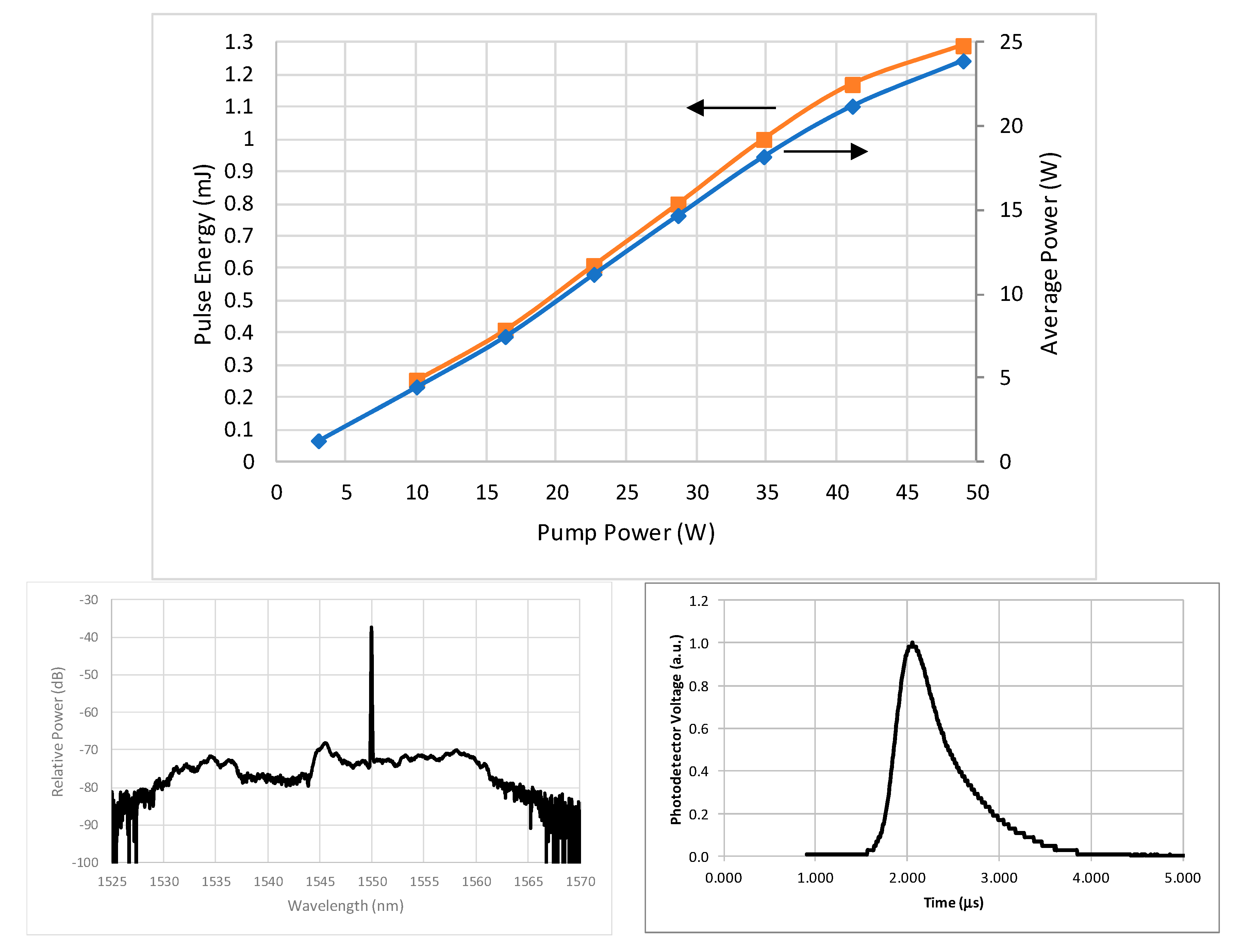
3. Results
4. Conclusions
Author Contributions
Funding
Data Availability Statement
Acknowledgments
Conflicts of Interest
References
- Sakimura, T.; Watanabe, Y.; Ando, T.; Kameyama, S.; Asaka, K.; Tanaka, H.; Yanagisawa, T.; Hirano, Y.; Inokuchi, H. OSA Technical Digest (Online). In Proceedings of the Conference on Lasers and Electro-Optics, San Jose, CA, USA, 6–11 May 2012. Paper CTu2D.7 (2012). [Google Scholar]
- Sakimura, T.; Hirosawa, K.; Watanabe, Y.; Ando, T.; Kameyama, S.; Asaka, K.; Tanaka, H.; Furuta, M.; Hagio, M.; Hirano, Y.; et al. 1.55-μm high-peak, high-average-power laser amplifier using an Er, Yb: Glass planar waveguide for wind sensing coherent Doppler lidar. Opt. Express 2019, 27, 24175–24187. [Google Scholar] [CrossRef] [PubMed]
- Akbulut, M.; Hwang, J.; Kimpel, F.; Gupta, S.; Verdun, H. Pulsed coherent fiber lidar transceiver for aircraft in-flight turbulence and wake-vortex hazard detection. In Laser Radar Technology and Applications XVI; International Society for Optics and Photonics: Bellingham, WA, USA, 2011; Volume 8037, p. 80370R. [Google Scholar]
- Nicholson, J.W.; Desantolo, A.; Yan, M.F.; Wisk, P.; Mangan, B.; Puc, G.; Yu, A.W.; Stephen, M.A. High energy, 1572.3 nm pulses for CO 2 LIDAR from a polarization-maintaining, very-large-mode-area, Er-doped fiber amplifier. Opt. Express 2016, 24, 19961–19968. [Google Scholar] [CrossRef] [PubMed]
- Lee, W.; Geng, J.; Jiang, S.; Yu, A.W. 1.8 mJ, 3.5 kW single-frequency optical pulses at 1572 nm generated from an all-fiber MOPA system. Opt. Lett. 2018, 43, 2264–2267. [Google Scholar] [CrossRef] [PubMed]
- Lee, Y.W.; Urbanek, K.E.; Digonnet, M.J.F.; Byer, R.L.; Jiang, S. Measurement of the stimulated Brillouin scattering gain coefficient of a phosphate fiber. Proc. SPIE 2007, 6469, 64690L. [Google Scholar]
- Lee, Y.W.; Sinha, S.; Digonnet, M.J.F.; Byer, R.L.; Jiang, S. Measurement of high photodarkening resistance in heavily Yb3+-doped phosphate fibres. Electron. Lett. 2008, 44, 14–16. [Google Scholar] [CrossRef]
- Akbulut, M.; Miller, A.; Wiersma, K.; Zong, J.; Rhonehouse, D.; Nguyen, D.; Chavez-Pirson, A. High energy, high average and peak power phosphate-glass fiber amplifiers for 1micron band. In Fiber Lasers XI: Technology, Systems, and Applications; International Society for Optics and Photonics: Bellingham, WA, USA, 2014; Volume 8961, p. 89611X. [Google Scholar]
- Kotov, L.; Akbulut, M.; Chavez-Pirson, A.; Zong, J.; Peyghambarian, N. More than 100W, 18cm Yb-doped phosphate fiber amplifier. In Fiber Lasers XVI: Technology and Systems; International Society for Optics and Photonics: Bellingham, WA, USA, 2019; Volume 10897, p. 108970X. [Google Scholar]
- Lee, Y.W.; Sinha, S.; Digonnet, M.J.F.; Byer, R.L.; Jiang, S. 20 W single-mode Yb 3+-doped phosphate fiber laser. Opt. Lett. 2006, 31, 3255–3257. [Google Scholar] [CrossRef] [PubMed]
- Fang, Q.; Shi, W.; Kieu, K.; Petersen, E.; Chavez-Pirson, A.; Peyghambarian, N. High power and high energy monolithic single frequency 2 μm nanosecond pulsed fiber laser by using large core Tm-doped germanate fibers: Experiment and modeling. Opt. Express 2012, 20, 16410–16420. [Google Scholar] [CrossRef]
- Shi, W.; Petersen, E.B.; Yao, Z.; Nguyen, D.T.; Zong, J.; Stephen, M.A.; Chavez-Pirson, A.; Peyghambarian, N. Kilowatt-level stimulated-Brillouin-scattering-threshold monolithic transform-limited 100 ns pulsed fiber laser at 1530 nm. Opt. Lett. 2010, 35, 2418–2420. [Google Scholar] [CrossRef] [PubMed]
- Yilmaz, T.; Vaissie, L.; Akbulut, M.; Gaudiosi, D.M.; Collura, L.; Booth, T.J.; Jasapara, J.C.; Andrejco, M.J.; Yablon, A.D.; Headley, C., III; et al. Large-mode-area Er-doped fiber chirped-pulse amplification system for high-energy sub-picosecond pulses at 1.55 µm. Proc. SPIE 2008, 6873, 68731I. [Google Scholar]
- Peng, X.; Kim, K.; Mielke, M.; Jennings, S.; Masor, G.; Stohl, D.; Chavez-Pirson, A.; Nguyen, D.; Rhonehouse, D.; Zong, J.; et al. Monolithic fiber chirped pulse amplification system for millijoule femtosecond pulse generation at 1.55 µm. Opt. Express 2014, 22, 2459–2464. [Google Scholar] [CrossRef] [PubMed]






Publisher’s Note: MDPI stays neutral with regard to jurisdictional claims in published maps and institutional affiliations. |
© 2021 by the authors. Licensee MDPI, Basel, Switzerland. This article is an open access article distributed under the terms and conditions of the Creative Commons Attribution (CC BY) license (http://creativecommons.org/licenses/by/4.0/).
Share and Cite
Akbulut, M.; Kotov, L.; Wiersma, K.; Zong, J.; Li, M.; Miller, A.; Chavez-Pirson, A.; Peyghambarian, N. An Eye-Safe, SBS-Free Coherent Fiber Laser LIDAR Transmitter with Millijoule Energy and High Average Power. Photonics 2021, 8, 15. https://doi.org/10.3390/photonics8010015
Akbulut M, Kotov L, Wiersma K, Zong J, Li M, Miller A, Chavez-Pirson A, Peyghambarian N. An Eye-Safe, SBS-Free Coherent Fiber Laser LIDAR Transmitter with Millijoule Energy and High Average Power. Photonics. 2021; 8(1):15. https://doi.org/10.3390/photonics8010015
Chicago/Turabian StyleAkbulut, Mehmetcan, Leonid Kotov, Kort Wiersma, Jie Zong, Maohe Li, Andy Miller, Arturo Chavez-Pirson, and Nasser Peyghambarian. 2021. "An Eye-Safe, SBS-Free Coherent Fiber Laser LIDAR Transmitter with Millijoule Energy and High Average Power" Photonics 8, no. 1: 15. https://doi.org/10.3390/photonics8010015
APA StyleAkbulut, M., Kotov, L., Wiersma, K., Zong, J., Li, M., Miller, A., Chavez-Pirson, A., & Peyghambarian, N. (2021). An Eye-Safe, SBS-Free Coherent Fiber Laser LIDAR Transmitter with Millijoule Energy and High Average Power. Photonics, 8(1), 15. https://doi.org/10.3390/photonics8010015
