Temporal Distribution Measurement of the Parametric Spectral Gain in a Photonic Crystal Fiber Pumped by a Chirped Pulse
Abstract
1. Introduction
2. Parametric Amplification in Fiber Pumped by a Structured and Chirped Pump Pulse
3. Experimental Set-up and Main Parameters
3.1. Pump-Probe Set-Up
3.2. Characterization of the Pump
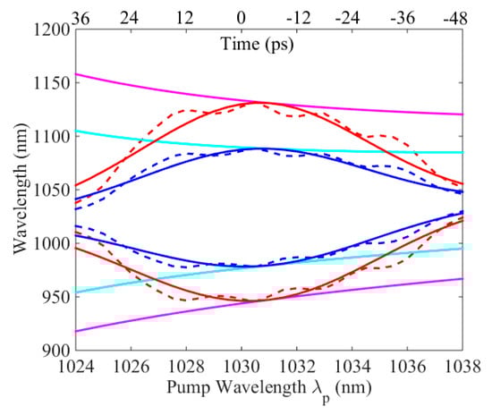
4. Measurement of the Amplification and Discussion
5. Conclusions
Author Contributions
Funding
Conflicts of Interest
References
- Ciriolo, A.G.; Negro, M.; Devetta, M.; Cinquanta, E.; Facciala, D.; Pusala, A.; De Silvestri, S.; Stagira, S.; Vozzi, C. Optical Parametric Amplification Techniques for the Generation of High-Energy Few-Optical-Cycles IR Pulses for Strong Field Applications. Appl. Sci. 2017, 7, 265. [Google Scholar] [CrossRef]
- Bigourd, D.; Patankar, S.; Olsson Robbie, S.I.; Doyle, H.W.; Mecseki, K.; Stuart, N.; Hadjicosti, K.; Leblanc, N.; New, G.H.C.; Smith., R.A. Spectral enhancement in optical parametric amplifiers in the saturated regime. Appl. Phys. B 2013, 113, 627–633. [Google Scholar] [CrossRef]
- Dorrer, C.; Begishev, I.A.; Okishev, A.V.; Zuegel, J.D. High-contrast optical parametric amplifier as a front end of high-power laser systems. Opt. Lett. 2007, 32, 2143–2145. [Google Scholar] [CrossRef] [PubMed]
- Fu, Y.; Yuan, H.; Midorikawa, K.; Lan, P.; Takahashi, E.J. Towards GW-scale isolated attosecond pulse far beyond carbon K-Edge driven by mid-infrared waveform synthesizer. Appl. Sci. 2018, 8, 2451. [Google Scholar] [CrossRef]
- Hanna, M.; Druon, F.; Georges, P. Fiber optical parametric chirped-pulse amplification in the femtosecond regime. Opt. Express 2006, 14, 2783–2790. [Google Scholar] [CrossRef] [PubMed]
- Faccio, D.; Grün, A.; Bates, P.K.; Chalus, O.; Biegert, J. Optical amplification in the near-infrared in gas filled hollow-core fibers. Opt. Lett. 2009, 34, 2918–2920. [Google Scholar] [CrossRef] [PubMed]
- Cristofori, V.; Lali-Dastjerdi, V.; Rishj, L.S.; Galili, M.; Peucheretand, C.; Rottwitt, K. Dynamic characterization and amplification of sub-picosecond pulses in fiber optical parametric chirped pulse amplifiers. Opt. Express 2013, 21, 26044–26051. [Google Scholar] [CrossRef] [PubMed]
- Caucheteur, C.; Bigourd, D.; Hugonnot, E.; Szriftgiser, E.; Kudlinski, A.; Gonzalez-Herraez, M.; Mussot, A. Experimental demonstration of optical parametric chirped pulse amplification in optical fiber. Opt. Lett. 2010, 35, 1786–1788. [Google Scholar] [CrossRef] [PubMed]
- Bigourd, D.; Lago, L.; Mussot, A.; Kudlinski, A.; Gleyze, J.F.; Hugonnot, E. High-gain, optical-parametric, chirped-pulse amplification of femtosecond pulses at 1 µm. Opt. Lett. 2010, 20, 3480–3482. [Google Scholar] [CrossRef] [PubMed]
- Bigourd, D.; Beaure d’Augères, P.; Dubertrand, J.; Hugonnot, E.; Mussot, A. Ultra-broadband fiber optical parametric amplifier pumped by chirped pulses. Opt. Lett. 2014, 39, 3782–3785. [Google Scholar] [CrossRef] [PubMed]
- Vanvincq, O.; Fourcade-Dutin, C.; Mussot, A.; Hugonnot, E.; Bigourd, D. Ultrabroadband fiber optical parametric amplifiers pumped by chirped pulses. Part 1: Analytical model. J. Opt. Soc. Am. B 2015, 32, 1479–1487. [Google Scholar] [CrossRef]
- Fourcade-Dutin, C.; Vanvincq, O.; Mussot, A.; Hugonnot, E.; Bigourd, D. Ultrabroadband fiber optical parametric amplifiers pumped by chirped pulses. Part 2: Sub-30 fs pulse amplification at high gain. J. Opt. Soc. Am. B 2015, 32, 1488–1493. [Google Scholar] [CrossRef]
- Bigourd, D.; Fourcade-Dutin, C.; Vanvincq, O.; Hugonnot, E. Numerical analysis of broadband fiber optical parametric amplifiers pumped by two chirped pulses. J. Opt. Soc. Am. B 2016, 33, 1800–1807. [Google Scholar] [CrossRef]
- Morin, P.; Dubertrand, J.; Beaure d’Augères, P.; Quiquempois, Y.; Bouwmans, G.; Mussot, A.; Hugonnot, E. µJ-level Raman-assisted fiber optical fiber parametric chirped pulse amplification. Opt. Lett. 2018, 43, 4683–4686. [Google Scholar] [CrossRef] [PubMed]
- Fu, W.; Wise, F.W. Normal-dispersion fiber optical parametric chirped-pulse amplification. Opt. Lett. 2018, 43, 5331–5334. [Google Scholar] [CrossRef] [PubMed]
- Bigourd, D.; Morin, P.; Dubertrand, J.; Fourcade-Dutin, C.; Maillotte, H.; Quiquempois, Y.; Bouwmans, G.; Hugonnot, E. Parametric gain shaping from a structured pump pulse. IEEE Photonics Technol. Lett. 2019, 31, 214–217. [Google Scholar] [CrossRef]
- Finot, C.; Wabnitz, S. Influence of the pump shape on the modulation instability process induced in a dispersion-oscillating fiber. J. Opt. Soc. Am. B 2015, 32, 892–899. [Google Scholar] [CrossRef]
- Lee, H.W.; Kim, Y.G.; Yoo, J.Y.; Yoon, J.W.; Yang, J.M.; Lim, H.; Nam, C.H.; Sung, S.H.; Lee, S.K. Spectral shaping of an OPCPA preamplifier for a sub-20 fs multi-PW laser. Opt. Express 2018, 26, 24775–24783. [Google Scholar] [CrossRef] [PubMed]
- Fourcade-Dutin, C.; Bigourd, D. Near infrared tunable source delivering ultra-short pulses based on an all normal dispersion fiber and a zero dispersion line. Appl. Phys. B 2018, 124, 154. [Google Scholar] [CrossRef]
- Kovacs, A.P.; Osvay, K.; Kurdi, G.; Gorde, M.; Klebniczki, J.; Bor, Z. Dispersion control of a pulse stretcher-compressor system with two-dimensional spectral interferometry. Appl. Phys. B 2005, 80, 165–170. [Google Scholar] [CrossRef]
- Dou, T.H.; Tautz, R.; Gu, X.; Marcus, G.; Feurer, T.; Krausz, F.; Veisz, L. Dispersion control with reflection grisms of an ultra-broadband spectrum approaching a full octave. Opt. Express 2010, 18, 27900–27909. [Google Scholar] [CrossRef] [PubMed]







© 2019 by the authors. Licensee MDPI, Basel, Switzerland. This article is an open access article distributed under the terms and conditions of the Creative Commons Attribution (CC BY) license (http://creativecommons.org/licenses/by/4.0/).
Share and Cite
Fourcade-Dutin, C.; Imperio, A.; Dauliat, R.; Jamier, R.; Muñoz-Marco, H.; Pérez-Millán, P.; Maillotte, H.; Roy, P.; Bigourd, D. Temporal Distribution Measurement of the Parametric Spectral Gain in a Photonic Crystal Fiber Pumped by a Chirped Pulse. Photonics 2019, 6, 20. https://doi.org/10.3390/photonics6010020
Fourcade-Dutin C, Imperio A, Dauliat R, Jamier R, Muñoz-Marco H, Pérez-Millán P, Maillotte H, Roy P, Bigourd D. Temporal Distribution Measurement of the Parametric Spectral Gain in a Photonic Crystal Fiber Pumped by a Chirped Pulse. Photonics. 2019; 6(1):20. https://doi.org/10.3390/photonics6010020
Chicago/Turabian StyleFourcade-Dutin, Coralie, Antonio Imperio, Romain Dauliat, Raphael Jamier, Hector Muñoz-Marco, Pere Pérez-Millán, Hervé Maillotte, Philippe Roy, and Damien Bigourd. 2019. "Temporal Distribution Measurement of the Parametric Spectral Gain in a Photonic Crystal Fiber Pumped by a Chirped Pulse" Photonics 6, no. 1: 20. https://doi.org/10.3390/photonics6010020
APA StyleFourcade-Dutin, C., Imperio, A., Dauliat, R., Jamier, R., Muñoz-Marco, H., Pérez-Millán, P., Maillotte, H., Roy, P., & Bigourd, D. (2019). Temporal Distribution Measurement of the Parametric Spectral Gain in a Photonic Crystal Fiber Pumped by a Chirped Pulse. Photonics, 6(1), 20. https://doi.org/10.3390/photonics6010020
