III-V-on-Silicon Photonic Devices for Optical Communication and Sensing
Abstract
:1. Introduction
2. III-V-on-Silicon Integration Technology
2.1. Adhesive Die-to-Wafer Bonding and Wafer-to-Wafer Bonding Technology

2.2. III-V on Si Device Processing Technology

3. Optical Coupling between the III-V Device Layer and the Silicon Waveguide Layer
3.1. Adiabatic Taper Interface

3.2. Grating Coupler Interfaces

4. III-V-on-Silicon Devices for Optical Communication Applications
4.1. III-V-on-Silicon Laser Sources for Optical Communication Applications
4.1.1. 1550 nm Semiconductor Optical Amplifiers Integrated on Silicon Photonic Integrated Circuits
4.1.2. 1550 nm Distributed Feedback Lasers Integrated on Silicon Photonic Integrated Circuits



4.1.3. 1550 nm Tunable and Multi-Wavelength Lasers Integrated on Silicon PICs


4.1.4. 1550 nm Distributed Feedback Dual Wavelength Laser Sources for THz Signal Generation
4.1.5. 1550 nm Mode-Locked Lasers


| Method | Self-Colliding [41] | Ring [41] | Anti-Colliding [42] |
|---|---|---|---|
| 10 dB optical bandwidth (nm) | >10 | 7 | 3.5 |
| Pulse width (ps) | 1.5 | - | 3 |
| 3 dB electrical line width (kHz) | 12 | 16 | 1.7 |
| Integrated timing jitter (50 kHz–10 MHz) (ps) | 2.65 | 1.65 | 2.8 |
| Threshold current (mA) | 40 | 50 | 30 |
| Output power at thermal roll-over (mW) | 0.2–0.3 | 0.04–0.08 | 8–10 |

4.1.6. III-V-on-Silicon Microlasers
1550 nm Microdisk Lasers



1550 nm Resonant Cavity Mirror Lasers
850 nm VCSEL Integration

4.2. III-V-on-Silicon Electro-Absorption Modulators for Optical Communication Applications


5. III-V-on-Silicon Devices for Optical Sensing Applications
5.1. III-V-on-Silicon Broadband Light Sources for Optical Sensing Applications
5.1.1. Superluminescent LEDs


5.1.2. Power-Efficient Single Spatial Mode LEDs

5.1.3 Supercontinuum Generation in a III-V on Silicon Waveguide Structure

5.2. III-V-on-Silicon Spectrometers for Optical Sensing Applications
5.2.1. Passive Integrated Spectrometers
| Device/Technology | Central Wavelength (μm) | Footprint (mm2) | No of Channels/Channel Spacing (nm) | FSR (nm) | Insertion Loss (dB) | Crosstalk (dB) |
|---|---|---|---|---|---|---|
| AWG/SOI [79] | 1.55 | 0.231 | 16/3.2 | 57.6 | <3.0 | >25.0 |
| AWG/Si3N4 [80] | 0.89 | 0.337 | 12/2 | 30 | <1.5 | >20.0 |
| S-AWG/SOI [81] | 1.55 | 0.079 | 4/30 | 144 | <2.0 | >19.0 |
| AWG/SOI [14] | 2.20 | 1.000 | 6/1.6 | 13 | <3.0 | >17.0 |
| AWG/SOI [82] | 2.37 | 0.439 | 7/5 | 50 | <3.0 | >25.0 |
| AWG/SOI [83] | 3.80 | 0.858 | 6/10 | 80 | <2.0 | >20.0 |
| PCG/SOI [14] | 1.55 | 0.269 | 8/6.5 | 100 | <1.5 | >20.0 |
| PCG/SOI [14] | 2.32 | 1.040 | 8/5 | 60 | <6.0 | >15.0 |
| PCG/SOI [83,84] | 3.80 | 3.060 | 8/10 | 105 | <2.0 | >20.0 |
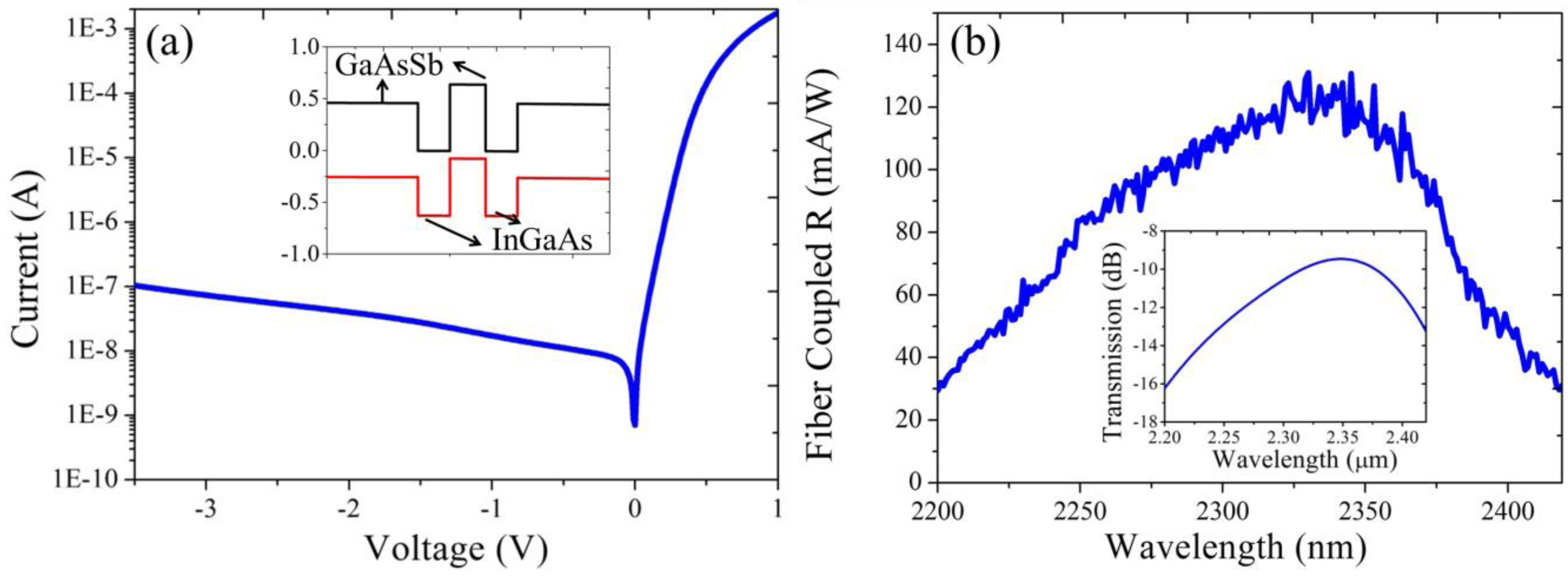
5.2.2. GaSb-Based Photodetector Integration

5.2.3. InP-Based Photodetector Integration

6. Conclusions
Acknowledgments
Conflicts of Interest
References
- Tanaka, S.; Akiyama, T.; Sekiguchu, S.; Morito, K. Silicon photonics optical transmitter technology for Tb/s-class I/O co-packaged with CPU. FUJUTSI Sci. Technol. J. 2014, 50, 123–131. [Google Scholar]
- Komljenovic, T.; Srinivasan, S.; Norberg, E.; Davenport, M.; Fish, G.; Bowers, J. Widely tunable narrow-linewidth monolithically integrated external-cavity semiconductor lasers. IEEE J. Sel. Top. Quantum Electron. 2015, 21, 1–9. [Google Scholar] [CrossRef]
- Jhang, Y.; Tanabe, K.; Iwamoto, S.; Arakawa, Y. InAs/GaAs quantum dot lasers on silicon-on-insulator substrated by metal-stripe wafer bonding. IEEE Photon. Technol. Lett. 2015, 27, 875–878. [Google Scholar] [CrossRef]
- Keyvaninia, S.; Muneeb, M.; Stankovic, S.; van Veldhoven, R.; van Thourhout, D.; Roelkens, G. Ultra-thin DVS-BCB adhesive bonding of III-V wafers, dies and multiple dies to a patterned silicon-on-insulator substrate. Opt. Mater. Express 2013, 3, 35–46. [Google Scholar] [CrossRef]
- Wang, Z.; Tian, B.; Paladugu, M.; Pantouvaki, M.; Le Thomas, N.; Merckling, C.; Guo, W.; Dekoster, J.; van Campenhout, J.; Absil, P.; et al. Polytypic InP nano-laser monolithically integrated on (001) silicon. Nano Lett. 2013, 13, 5063–5069. [Google Scholar] [CrossRef] [PubMed]
- Love, J.D.; Henry, W.M.; Stewart, W.J.; Black, R.J.; Lacroix, S.; Gonthier, F. Tapered single-mode fibres and devices. Part 1: Adiabaticity criteria. IEE Proc. J. 1991, 138, 343–354. [Google Scholar] [CrossRef]
- Lamponi, M.; Keyvaninia, S.; Jany, C.; Poingt, F.; Lelarge, F.; de Valicourt, G.; Roelkens, G.; van Thourhout, D.; Messaoudene, S.; Fedeli, J.-M.; et al. Low-threshold heterogeneously integrated InP/SOI lasers with a double adiabatic taper coupler. IEEE Photon. Technol. Lett. 2012, 24, 76–78. [Google Scholar] [CrossRef]
- Keyvaninia, S.; Roelkens, G.; van Thourhout, D.; Jany, C.; Lamponi, M.; Le Liepvre, A.; Lelarge, F.; Make, D.; Duan, G.-H.; Bordel, D.; et al. Demonstration of a heterogeneously integrated III-V/SOI single wavelength tunable laser. Opt. Express 2013, 21, 3784–3792. [Google Scholar] [CrossRef] [PubMed]
- Keyvaninia, S.; Verstuyft, S.; van Landschoot, L.; Lelarge, F.; Duan, G.H.; Messaoudene, S.; Fedeli, J.-M.; de Vries, T.; Smalbrugge, B.; Geluk, E.J.; et al. Heterogeneously integrated III-V/silicon distributed feedback lasers. Opt. Lett. 2013, 38, 5434–5437. [Google Scholar] [CrossRef] [PubMed]
- Huang, Q.; Cheng, J.; Liu, L.; Tang, Y.; He, S. Ultracompact tapered coupler for the Si/III-V heterogeneous integration. Appl. Opt. 2015, 54, 4327–4332. [Google Scholar] [CrossRef] [PubMed]
- Roelkens, G.; Brouckaert, J.; Taillaert, D.; Dumon, P.; Bogaerts, W.; van Thourhout, D.; Baets, R. Integration of InP/InGaAsP photodetectors onto Silicon-on-Insulator waveguide circuits. Opt. Express 2005, 13, 10102–10108. [Google Scholar] [CrossRef] [PubMed]
- Van Thourhout, D.; Roelkens, G.; Baets, R.; Bogaerts, W.; Brouckaert, J.; Debackere, P.; Dumon, P.; Scheerlinck, S.; Schrauwen, J.; Taillaert, D.; et al. Coupling mechanisms for a heterogeneous silicon nanowire platform. Semicond. Sci. Technol. 2008, 23. [Google Scholar] [CrossRef]
- Gassenq, A.; Hattasan, N.; Ryckeboer, E.; Rodriguez, J.B.; Cerutti, L.; Tournié, E.; Roelkens, G. Study of evanescently-coupled and grating-assisted GaInAsSb photodiodes integrated on a silicon photonic chip. Opt. Express 2012, 20, 11665–11672. [Google Scholar] [CrossRef] [PubMed]
- Ryckeboer, E.; Gassenq, A.; Muneeb, M.; Hattasan, N.; Pathak, S.; Cerutti, L.; Rodriguez, J.B.; Tournié, E.; Bogaerts, W.; Baets, R.; et al. Silicon-on-insulator spectrometers with integrated GaInAsSb photodiodes for wide-band spectroscopy from 1510 to 2300 nm. Opt. Express 2013, 5, 6101–6108. [Google Scholar] [CrossRef] [PubMed]
- Muneeb, M.; Ruocco, A.; Malik, A.; Pathak, S.; Ryckeboer, E.; Sanchez, D.; Cerutti, L.; Rodriguez, J.B.; Tournié, E.; Bogaerts, W.; et al. Silicon-on-insulator shortwave infrared wavelength meter with integrated photodiodes for on-chip laser monitoring. Opt. Express 2014, 22, 27300–27308. [Google Scholar] [CrossRef] [PubMed]
- Park, H.; Bowers, J.E. A hybrid AlGaInAs-silicon evanescent amplifier. Photon. Technol. Lett. 2007, 19, 230–232. [Google Scholar] [CrossRef]
- Park, H.; Bowers, J.E. A hybrid AlGaInAs-silicon evanescent preamplifier and photodetector. Opt. Express 2007, 15, 13539–13546. [Google Scholar] [CrossRef] [PubMed]
- Heck, M.J.; Bowers, J.E. Hybrid silicon photonic integrated circuit technology. IEEE J. Sel. Top. Quantum Electron. 2013, 19. [Google Scholar] [CrossRef]
- Cheung, S.; Yoo, S.B. Theory and design optimization of energy-efficient hydrophobic wafer-bonded III-V/Si hybrid semiconductor optical amplifiers. J. Lightwave Technol. 2013, 31, 4057–4066. [Google Scholar] [CrossRef]
- Keyvaninia, S.; Roelkens, G.; van Thourhout, D. A highly efficient electrically pumped optical amplifier integrated on a SOI waveguide circuit. In Proceedings of the IEEE 9th International Conference on Group IV Photonics (GFP), San Diego, CA, USA, 29–31 August 2012.
- Sakaino, G.; Takiguchi, T.; Sakuma, H.; Watatani, C.; Nagira, T.; Suzuki, D.; Aoyagi, T.; Ishikawa, T. 25.8 Gbps direct modulation of BH AlGaInAs DFB lasers with p-InP substrate for low driving current. In Proceedings of the International Semiconductor Laser Conference, Kyoto, Japan, 26–30 September 2010; pp. 197–198.
- Nakamura, N.; Shimada, M.; Sakaino, G.; Nagira, T.; Yamaguchi, H.; Okunuki, Y.; Sugitatsu, A.; Takemi, M. 25.8 Gbps direct modulation AlGaInAs DFB lasers of low power consumption and wide temperature range operation for data center. In Proceedings of the Optical Fiber Communication Conference, Los Angeles, CA, USA, 22–26 March 2015.
- Matsuo, S.; Fujii, T.; Hasebe, K.; Takeda, K.; Sato, T.; Kakitsuka, T. Directly modulated buried heterostructure DFB laser on SiO2/Si substrate fabricated by regrowth of InP using bonded active layer. Opt. Express 2014, 22, 12139–12147. [Google Scholar] [CrossRef] [PubMed]
- Zhang, C.; Srinivasan, S.; Tang, Y.; Heck, M.J.R.; Davenport, M.L.; Bowers, J.E. Low threshold and high speed short cavity distributed feedback hybrid silicon lasers. Opt. Express 2014, 22, 10202–10209. [Google Scholar] [CrossRef] [PubMed]
- De Valicourt, G.; Levaufre, G.; Pointurier, Y.; Liepvre, A.L.; Antona, J.C.; Jany, C.; Accard, A.; Lelarge, F.; Make, D.; Duan, G.H. Direct modulation of hybrid-integrated InP/Si transmitters for short and long reach access network. J. Lightwave Technol. 2015, 33, 1608–1616. [Google Scholar] [CrossRef]
- Abbasi, A.; Verbist, J.; van Kerrebrouck, J.; Lelarge, F.; Duan, G.H.; Roelkens, G.; Morthier, G. 28 Gb/s Direct Modulation Heterogeneously Integrated InP/Si DFB Laser. ECOC 2015, in press. [Google Scholar]
- Keyvaninia, S.; Verstuyft, S.; Pathak, S.; Lelarge, F.; Duan, G.; Bordel, D.; Fedeli, J.M.; de Vries, T.; Smalbrugge, B.; Bolk, J.; et al. III-V-on-silicon multi-frequency lasers. Opt. Express 2013, 21, 13675–13683. [Google Scholar] [CrossRef] [PubMed]
- Keyvaninia, S.; Verstuyft, S.; Lelarge, F.; Duan, G.-H.; Messaoudene, S.; Fedeli, J.M.; de Vries, T.; Smalbrugge, B.; Bolk, J.; Smit, M.; et al. Heterogeneously integrated III-V/Si single mode laser based on a MMI-ring combination and triplet-ring reflectors. SPIE Microtechnol. 2013. [Google Scholar] [CrossRef]
- Duan, G.; Olivier, S.; Stephane, M.; Accard, A.; Kaspar, P.; de Valicourt, G.; Levaufre, G.; Girard, N.; Le Liepvre, A.; Shen, A.; et al. New advances on heterogeneous integration of III-V on Silicon. J. Lightwave Technol. 2015, 33, 976–983. [Google Scholar] [CrossRef]
- Duan, G.; Jany, C.; Le Liepvre, A.; Provost, J.G.; Make, D.; Lelarge, F.; Lamponi, M.; Poingt, F.; Fedeli, J.M.; Messaoudene, S.; et al. 10 Gb/s integrated tunable hybrid III-V/Si laser and silicon MZ modulator. In Proceedings of the 38th European Conference and Exhibition on Optical Communication, Amsterdam, the Netherlands, 16–20 September 2012.
- Song, H.J.; Nagatsuma, T. Present and future of terahertz communications. Terahertz Sci. Technol. 2011, 1, 256–263. [Google Scholar] [CrossRef]
- Ducourneau, G.; Lampin, J.F. THz Communications using photonics and electronic devices: The race to data-rate. J. Infrared Millim. Terahertz Waves 2015, 36, 198–220. [Google Scholar] [CrossRef]
- Seeds, A.J.; Renaud, C.C. TeraHertz photonics for wireless communications. J. Lightwave Technol. 2015, 33, 579–587. [Google Scholar] [CrossRef]
- Beling, A.; Cross, A.; Piels, M.; Peters, J.; Fu, Y.; Zhou, Q.; Bowers, J.; Campbell, J. High-power high-speed waveguide photodiodes and photodiode arrays heterogeneously integrated on silicon-on-insulator. In Proceedings of the Optical Fiber Communication Conference and Exposition and the National Fiber Optic Engineers Conference, Anaheim, CA, USA, 17–21 March 2013.
- Latkowski, S.; Parra-Cetina, J. Analysis of a narrowband terahertz signal generated by a unitravelling carrier photodiode coupled with a dual-mode semiconductor Fabry-Pérot laser. Appl. Phys. Lett. 2010, 96. [Google Scholar] [CrossRef]
- Lo, Y.H.; Wu, Y.C. Tunable microwave generation of a monolithic dual-wavelength distributed feedback laser. Opt. Express 2014, 22, 13125–13137. [Google Scholar] [CrossRef] [PubMed]
- Carpintero, G.; Seeds, A.J. Microwave photonic integrated circuits for millimeter-wave wireless communications. J. Lightwave Technol. 2014, 32, 3495–3501. [Google Scholar] [CrossRef]
- Shao, H.; Roelkens, G. Heterogeneously integrated III-V/silicon dual-mode distributed feedback laser array for terahertz generation. Opt. Lett. 2014, 39, 6403–6406. [Google Scholar] [CrossRef] [PubMed]
- Oxenlowe, L.; Galili, M.; Hansen Mulvad, H.C.; Hu, H.; Areal, L.; Palushani, E.; Ji, H.; Clausen, A.T.; Jeppesen, P. Nonlinear optical signal processing for Tbit/s Ethernet applications. Int. J. Opt. 2012, 2012. [Google Scholar] [CrossRef]
- Srinivasan, S.; Davenport, M.; Heck, M.; Hutchinson, J.; Norberg, E.; Fish, G.; Bowers, J. Low phase noise hybrid silicon mode-locked lasers. Front. Optoelectron. 2014, 7, 265–276. [Google Scholar] [CrossRef]
- Keyvaninia, S.; Uvin, S.; Tassaert, M.; Fu, X.; Latkowski, S.; Mariën, J.; Thomassen, L.; Roelkens, G. Narrow-linewidth short-pulse III-V-on-silicon mode-locked lasers based on a linear and ring cavity geometry. Opt. Express 2015, 23, 3221–3229. [Google Scholar] [CrossRef] [PubMed]
- Keyvaninia, S.; Uvin, S.; Tassaert, M.; Wang, Z.; Fu, X.; Latkowski, S.; Thomassen, L.; Roelkens, G. III-V-on-silicon anti-colliding pulse-type mode-locked laser. Opt. Lett. 2015, 40, 3057–3060. [Google Scholar] [CrossRef] [PubMed]
- Javaloyes, J.; Balle, S. Anticolliding design for monolithic passively mode-locked semiconductor lasers. Opt. Lett. 2011, 36, 4407–4409. [Google Scholar] [CrossRef] [PubMed]
- Van Campenhout, J.; Rojo Romeo, P.; Regreny, P.; Seassal, C.; van Thourhout, D.; Verstuyft, S.; Di Cioccio, L.; Fedeli, J.-M.; Lagae, C.; Baets, R. Electrically pumped InP-based microdisk lasers integrated with a nanophotonic silicon-on-insulator waveguide circuit. Opt. Express 2007, 15, 6744–6749. [Google Scholar] [CrossRef] [PubMed]
- Van Campenhout, J.; Liu, L.; Romeo, P.; van Thourhout, D.; Seassal, C.; Regreny, P.; di Cioccio, L.; Fedeli, J.M.; Baets, R. A compact SOI-integrated multiwavelength laser source based on cascaded InP microdisks. Photon. Technol. Lett. 2008, 20, 1345–1347. [Google Scholar] [CrossRef]
- Mechet, P.; Raineri, F.; Bazin, A.; Halioua, Y.; Spuesens, T.; Karle, T.J.; Regreny, P.; Monnier, P.; van Thourhout, D.; Sagnes, I.; et al. Uniformity of the lasing wavelength of heterogeneously integrated InP microdisk lasers on SOI. Opt. Express 2013, 21, 10622–10631. [Google Scholar] [CrossRef] [PubMed]
- Mezosi, G.; Strain, M.J.; Furst, S.; Wang, Z.; Sorel, M. Unidirectional bistability in AlGaInAs Microring and Microdisk Semiconductor Lasers. Photon. Technol. Lett. 2009, 21, 88–90. [Google Scholar] [CrossRef]
- Morthier, G.; Mechet, P. Theoretical analysis of unidirectional operation and reflection sensitivity of semiconductor ring or disk lasers. J. Quantum Electron. 2013, 49, 1097–1101. [Google Scholar] [CrossRef]
- Liu, L.; Kumar, R.; Huybrechts, K.; Spuesens, T.; Roelkens, G.; Geluk, E.; de Vries, T.; Regreny, P.; van Thourhout, D.; Baets, R.; et al. An ultra-small, low power all-optical flip-flop memory on a silicon chip. Nat. Photon. 2010, 4, 182–187. [Google Scholar] [CrossRef]
- Mechet, P.; Spuesens, T.; Werquin, S.; Vandoorne, K.; Olivier, N.; Fedeli, J.M.; Regreny, P.; van Thourhout, D.; Roelkens, G.; Morthier, G. All-optical low-power 2R regeneration of 10 Gb/s NRZ signals using a III-V on SOI microdisk laser. IEEE Photon. J. 2013, 5. [Google Scholar] [CrossRef]
- Morthier, G.; Spuesens, T.; Mechet, P.; Roelkens, G.; van Thourhout, D. InP microdisk lasers integrated on Si for optical interconnects. Sel. Top. Quantum Electron. 2015, 21. [Google Scholar] [CrossRef]
- Spuesens, T.; Bauwelinck, J.; Regreny, P.; van Thourhout, D. Realization of a compact optical interconnect on silicon by heterogeneous integration of III–V. Photon. Technol. Lett. 2013, 25, 1332–1335. [Google Scholar] [CrossRef]
- De Koninck, Y.; Raineri, R.; Bazin, A.; Raj, R.; Roelkens, G.; Baets, R. Experimental demonstration of a hybrid III-V-on-silicon micro-laser based on resonant grating cavity mirrors. Opt. Lett. 2013, 38, 2496–2498. [Google Scholar] [CrossRef] [PubMed]
- De Koninck, Y.; Roelkens, G.; Baets, R. Electrically pumped 1550 nm single mode III-V-on-silicon laser with resonant grating cavity mirrors. Lasers Photon. Rev. 2015. [Google Scholar] [CrossRef]
- Haglund, E.; Kumari, S.; Westbergh, P.; Gustavsson, J.; Roelkens, G.; Baets, R.; Larsson, A. Silicon-integrated short-wavelength hybrid-cavity VCSEL. Opt. Express 2015. submitted. [Google Scholar]
- Fu, X.; Cheng, J.; Huang, Q.; Hu, Y.; Xie, W.; Tassaert, M.; Verbist, J.; Ma, K.; Zhang, J.; Chen, K.; et al. 5 × 20 Gb/s heterogeneously integrated III-V on silicon electro-absorption modulator array with arrayed waveguide grating multiplexer. Opt. Express 2015, 23, 1868–18693. [Google Scholar] [CrossRef] [PubMed]
- Wu, B.; Lin, C.F.; Laih, L.; Shih, T. Extremely broadband InGaAsP/InP superluminescent diodes. Electron. Lett. 2000, 36, 2093–2095. [Google Scholar] [CrossRef]
- Song, J.; Cho, S.; Han, I.; Hu, Y.; Heim, P.; Johnson, F.; Stone, D.; Dagenais, M. High-power broad-band superluminescent diode with low spectral modulation at 1.5 um wavelength. Photon. Technol. Lett. 2000, 12, 783–785. [Google Scholar] [CrossRef]
- Kovsh, A.; Gubenko, A.; Krestnikov, I.; Livshits, D.; Mikhrin, S.; Weimert, J.; West, L.; Wojcik, G.; Yin, D.; Bornholdt, C.; et al. Quantum dot comb-laser as efficient light source for silicon photonics. SPIE Photon. Eur. 2008, 6996. [Google Scholar] [CrossRef]
- De Groote, A.; Peters, J.; Davenport, M.; Heck, M.; Baets, R.; Roelkens, G.; Bowers, J. Heterogenously integrated III-V-on-silicon multibandgap superluminescent light-emitting diode with 290 nm optical bandwidth. Opt. Lett. 2014, 39, 4784–4787. [Google Scholar] [CrossRef] [PubMed]
- De Groote, A.; Cardile, P.; Subramanian, A.; Tassaert, M.; Delbeke, D.; Baets, R.; Roelkens, G. A waveguide coupled LED on SOI by heterogeneous integration of InP-based membranes. In Proceedings of the 12th International Conference on Group IV Photonics, Vancouver, BC, Canada, 26–28 August 2015.
- Hult, J.; Watt, R.S.; Kaminski, C.F. High bandwidth absorption spectroscopy with a dispersed supercontinuum source. Opt. Express 2007, 15, 11385–11395. [Google Scholar] [CrossRef] [PubMed]
- Manninen, A.; Kääriäinen, T.; Parviainen, T.; Buchter, S.; Heiliö, M.; Laurila, T. Long distance active hyperspectral sensing using high-power near-infrared supercontinuum light source. Opt. Express 2014, 22, 7172–7177. [Google Scholar] [CrossRef] [PubMed]
- Auböck, G.; Consani, C.; Monni, R.; Cannizzo, A.; van Mourik, F.; Chergui, M. Femtosecond pump/supercontinuum-probe setup with 20 kHz repetition rate. Rev. Sci. Instrum. 2012, 83, 093105–093109. [Google Scholar] [CrossRef] [PubMed]
- Lijia, Z.; Xiangjun, X.; Bo, L.; Yongjun, W.; Jianjun, Y.; Chongxiu, Y. OFDM Modulated WDM-ROF System based on PCF Supercontinuum. Opt. Express 2010, 18, 15003–15008. [Google Scholar]
- Holzwarth, R.; Udem, T.; Hänsch, T.W.; Knight, J.C.; Wadsworth, W.J.; Russell, P. Optical frequency synthesizer for precision spectroscopy. Phys. Rev. Lett. 2000, 85, 2264–2267. [Google Scholar] [CrossRef] [PubMed]
- Kuyken, B.; Ideguchi, T.; Holzner, S.; Yan, M.; Hänsch, T.W.; van Campenhout, J.; Verheyen, P.; Coen, S.; Leo, F.; Baets, R.; et al. An octave-spanning mid-infrared frequency comb generated in a silicon nanophotonic wire waveguide. Nat. Commun. 2015, 6, 6310–6315. [Google Scholar] [CrossRef] [PubMed]
- Dave, U.; Uvin, S.; Kuyken, B.; Selvaraja, S.; Leo, F.; Roelkens, G. Telecom to mid-infrared spanning supercontinuum generation in hydrogenated amorphous silicon waveguides using a Thulium doped fiber laser pump source. Opt. Express 2013, 21, 32032–32039. [Google Scholar] [CrossRef] [PubMed]
- Leo, F.; Gorza, S.P.; Safioui, J.; Kockaert, P.; Coen, S.; Dave, U.; Kuyken, B.; Roelkens, G. Dispersive wave emission and supercontinuum generation in a silicon wire waveguide pumped around the 1550 nm telecommunication wavelength. Opt. Lett. 2014, 39, 3623–3626. [Google Scholar] [CrossRef] [PubMed]
- Sun, H.; Wang, K.; Salem, R.; Fendel, P.; Foster, A.C. Coherent Mid-IR Supercontinuum Generation in a Hydrogenated Amorphous Silicon Waveguide. In Proceedings of the CLEO Science and Innovations, San Jose, CA, USA, 10–15 May 2015.
- Goto, T.; Ishizawa, A.; Kou, R.; Tsuchizawa, T.; Matsuda, N.; Hitachi, K.; Nishikawa, T.; Yamada, K.; Sogawa, T.; Gotoh, H. Octave spanning frequency comb generation in a dispersion-controlled short silicon-wire waveguide with a fiber laser oscillator. In Proceedings of the CLEO Science and Innovations, San Jose, CA, USA, 10–15 May 2015.
- Dave, U.; Kuyken, B.; Leo, F.; Gorza, S.P.; Combrie, S.; de Rossi, A.; Raineri, F.; Roelkens, G. Nonlinear properties of dispersion engineered InGaP photonic wire waveguides in the telecommunication wavelength range. Opt. Express 2015, 23, 4650–4657. [Google Scholar] [CrossRef] [PubMed][Green Version]
- Dave, U.; Ciret, C.; Gorza, S.P.; Combrie, S.; de Rossi, A.; Raineri, F.; Roelkens, G.; Kuyken, B. Dispersive wave based octave spanning super continuum generation in InGaP membrane waveguides on a silicon substrate. Opt. Lett. 2015, 40, 3584–3587. [Google Scholar] [CrossRef] [PubMed]
- Dudley, J.M.; Genty, G.; Coen, S. Supercontinuum generation in photonic crystal fiber. Rev. Mod. Phys. 2006, 78, 1135–1184. [Google Scholar] [CrossRef]
- Yin, L.; Lin, Q.; Agrawal, G. Soliton fission and supercontinuum generation in silicon waveguides. Opt. Lett. 2007, 32, 391–393. [Google Scholar] [CrossRef] [PubMed]
- Chen, H.; Verheyen, P.; de Heyn, P.; Lepage, G.; de Coster, J.; Absil, P.; Roelkens, G.; van Campenhout, J. High responsivity low-voltage 28 Gb/s Ge p-i-n photodetector with silicon contacts. J. Lightwave Technol. 2015, 33, 820–824. [Google Scholar] [CrossRef]
- Smit, M.K.; van Dam, C. Phasar-based wdm-devices: Principles, design and applications. Sel. Top. Quantum Electron. 1996, 2, 236–250. [Google Scholar] [CrossRef]
- Marz, R. Integrated Optics, Design and Modeling; Artech House Inc.: Norwood, MA, USA, 1994. [Google Scholar]
- Pathak, S.; van Thourhout, D.; Bogaerts, W. Design trade-offs for silicon-on-insulator-based AWGs for (de)multiplexer applications. Opt. Lett. 2013, 38, 2961–2964. [Google Scholar] [CrossRef] [PubMed]
- Martens, D.; Subramanian, A.; Pathak, S.; Vanslembrouck, M.; Bienstman, P.; Bogaerts, W.; Baets, R. Compact silicon nitride arrayed waveguide gratings for very near-infrared wavelengths. Photon. Technol. Lett. 2015, 27, 137–140. [Google Scholar] [CrossRef]
- Pathak, S.; Dumon, P.; van Thourhout, D.; Bogaerts, W. Comparison of AWGs and Echelle gratings for wavelength division multiplexing on silicon-on-insulator. IEEE Photonics J. 2014, 6. [Google Scholar] [CrossRef]
- Malik, A.; Muneeb, M.; Radosavljevic, S.; Nedeljkovic, M.; Penades, J.; Mashanovich, G.; Shimura, Y.; Lepage, G.; Verheyen, P.; Vanherle, W.; et al. Silicon-based photonic integrated circuits for the mid-infrared. Procedia Eng. 2015, in press. [Google Scholar]
- Muneeb, M.; Chen, X.; Verheyen, P.; Lepage, G.; Pathak, S.; Ryckeboer, E.; Malik, A.; Kuyken, B.; Nedeljkovic, M.; van Campenhout, J.; et al. Demonstration of silicon on insulator mid-infrared spectrometers operating at 3.8 μm. Opt. Express 2013, 21, 11659–11669. [Google Scholar] [CrossRef] [PubMed]
- Muneeb, M.; Chen, X.; Ryckeboer, E.; Malik, A.; Mashanovich, G.; Roelkens, G. Silicon-on-insulator mid-infrared planar concave grating based (de)multiplexer. In Proceedings of the IEEE Photonic Conference, Bellevue, WA, USA, 8–12 September 2013.
- Hattasan, N.; Gassenq, A.; Cerutti, L.; Rodriguez, J.B.; Tournié, E.; Roelkens, G. Heterogeneous integration of GaInAsSb p-i-n photodiodes on a silicon-on-insulator waveguide circuit. Photon. Technol. Lett. 2011, 23, 1760–1762. [Google Scholar] [CrossRef]
- Muneeb, M.; Ruocco, A.; Vasiliev, A.; Malik, A.; Chen, H.; Nedeljkovic, M.; Cerutti, L.; Rodriguez, J.B.; Mashanovich, G.; Tournie, E.; et al. Heterogeneous integration of InAsSb pin photodiodes on a 3 μm wavelength SOI arrayed waveguide grating spectrometer. Photon. Technol. Lett. 2015. submitted. [Google Scholar]
- Boehm, G.; Grau, M.; Dier, O.; Windhorn, K.; Roenneberg, E.; Rosskopf, J.; Shau, R.; Meyer, R.; Ortsiefer, M.; Amann, M.C. Growth of InAs- containing quantum wells for InP-based VCSELs emitting at 2.3 μm. J. Cryst. Growth 2007, 301, 941–944. [Google Scholar] [CrossRef]
- Sprengel, S.; Andrejew, A.; Vizbaras, K.; Gruendl, T.; Geiger, K.; Boehm, G.; Grasse, C.; Amann, M.C. Type-II InP-based lasers emitting at 2.5 μm. Appl. Phys. Lett. 2012, 100. [Google Scholar] [CrossRef]
- Wang, R.; Sprengel, S.; Muneeb, M.; Boehm, G.; Baets, R.; Amann, M.C.; Roelkens, G. 2 μm wavelength range InP-based type-II quantum well photodiodes heterogeneously integrated on silicon photonic integrated circuits. Opt. Express 2015. submitted. [Google Scholar]
© 2015 by the authors; licensee MDPI, Basel, Switzerland. This article is an open access article distributed under the terms and conditions of the Creative Commons Attribution license (http://creativecommons.org/licenses/by/4.0/).
Share and Cite
Roelkens, G.; Abassi, A.; Cardile, P.; Dave, U.; De Groote, A.; De Koninck, Y.; Dhoore, S.; Fu, X.; Gassenq, A.; Hattasan, N.; et al. III-V-on-Silicon Photonic Devices for Optical Communication and Sensing. Photonics 2015, 2, 969-1004. https://doi.org/10.3390/photonics2030969
Roelkens G, Abassi A, Cardile P, Dave U, De Groote A, De Koninck Y, Dhoore S, Fu X, Gassenq A, Hattasan N, et al. III-V-on-Silicon Photonic Devices for Optical Communication and Sensing. Photonics. 2015; 2(3):969-1004. https://doi.org/10.3390/photonics2030969
Chicago/Turabian StyleRoelkens, Gunther, Amin Abassi, Paolo Cardile, Utsav Dave, Andreas De Groote, Yannick De Koninck, Sören Dhoore, Xin Fu, Alban Gassenq, Nannicha Hattasan, and et al. 2015. "III-V-on-Silicon Photonic Devices for Optical Communication and Sensing" Photonics 2, no. 3: 969-1004. https://doi.org/10.3390/photonics2030969
APA StyleRoelkens, G., Abassi, A., Cardile, P., Dave, U., De Groote, A., De Koninck, Y., Dhoore, S., Fu, X., Gassenq, A., Hattasan, N., Huang, Q., Kumari, S., Keyvaninia, S., Kuyken, B., Li, L., Mechet, P., Muneeb, M., Sanchez, D., Shao, H., ... Van Thourhout, D. (2015). III-V-on-Silicon Photonic Devices for Optical Communication and Sensing. Photonics, 2(3), 969-1004. https://doi.org/10.3390/photonics2030969
