Effects of Device and Contact Dimension Scaling on the Performance of InGaN/GaN Quantum Dot Light-Emitting Diodes
Abstract
1. Introduction
2. Device Design and Physical Simulation Models
3. Results and Discussion
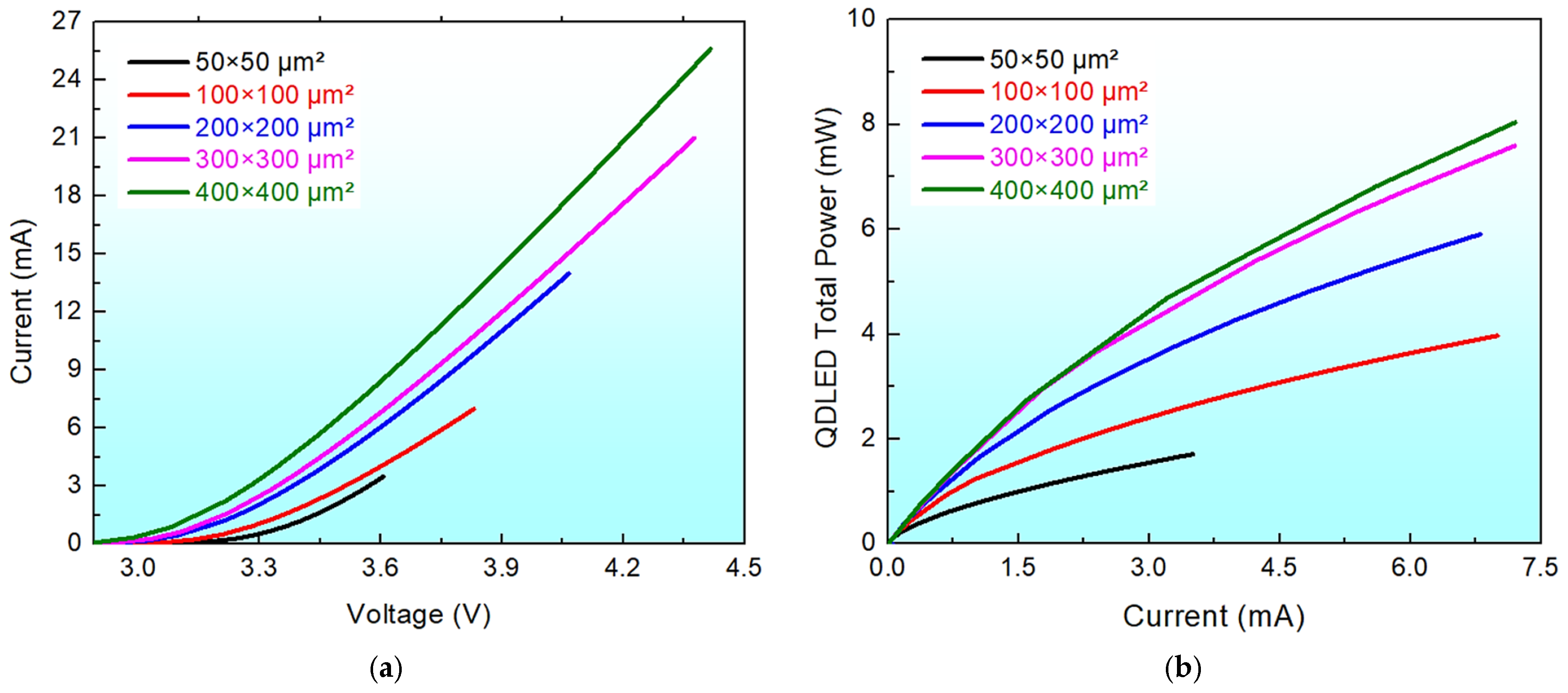
3.1. Impact of Device Dimensions on InGaN QDLED Performance
3.2. Impact of Contacts Scaling on InGaN QDLED Performance
4. Conclusions
Author Contributions
Funding
Data Availability Statement
Acknowledgments
Conflicts of Interest
References
- Nwogu, U.; Oji-Dike, I. OLED and QLED TV Comparative Analysis. J. Electron. Commun. Eng. Res. 2021, 7, 6–10. [Google Scholar]
- Tassone, G. Display Technology: From LCD to QLED. Master’s Thesis, Politecnico di Torino, Turin, Italy, 2021. [Google Scholar]
- Yoffe, A.D. Semiconductor quantum dots and related systems: Electronic, optical, luminescence and related properties of low dimensional systems. Adv. Phys. 2001, 50, 1–208. [Google Scholar] [CrossRef]
- Bera, D.; Qian, L.; Tseng, T.-K.; Holloway, P.H. Quantum dots and their multimodal applications: A review. Materials 2010, 3, 2260–2345. [Google Scholar] [CrossRef]
- Ekimov, A.; Onushchenko, A. Quantum size effect in three-dimensional microscopic semiconductor crystals. JETP Lett. 2023, 118, S15–S17. [Google Scholar] [CrossRef]
- Brus, L.E. Electron–electron and electron-hole interactions in small semiconductor crystallites: The size dependence of the lowest excited electronic state. J. Chem. Phys. 1984, 80, 4403–4409. [Google Scholar]
- Sarma, D.; Kamat, P.V. 2023 Nobel Prize in chemistry: A mega recognition for nanosized quantum dots. ACS Energy Lett. 2023, 8, 5149–5151. [Google Scholar] [CrossRef]
- Wegner, K.D.; Resch-Genger, U. The 2023 nobel prize in chemistry: Quantum dots. Anal. Bioanal. Chem. 2024, 416, 3283–3293. [Google Scholar] [CrossRef]
- Gong, T.; Xuan, T.; Bai, W.; Dong, H.; Huang, K.; Xie, R. Quantum Dot Luminescence Microspheres Enable Ultra-Efficient and Bright Micro-LEDs. Adv. Mater. 2025, 37, 2411999. [Google Scholar] [CrossRef]
- Song, H.; Lin, Y.; Zhang, Z.; Rao, H.; Wang, W.; Fang, Y.; Pan, Z.; Zhong, X. Improving the efficiency of quantum dot sensitized solar cells beyond 15% via secondary deposition. J. Am. Chem. Soc. 2021, 143, 4790–4800. [Google Scholar] [CrossRef]
- Vafaie, M.; Fan, J.Z.; Najarian, A.M.; Ouellette, O.; Sagar, L.K.; Bertens, K.; Sun, B.; de Arquer, F.P.G.; Sargent, E.H. Colloidal quantum dot photodetectors with 10-ns response time and 80% quantum efficiency at 1,550 nm. Matter 2021, 4, 1042–1053. [Google Scholar] [CrossRef]
- Zhou, R.; Xu, J.; Luo, P.; Hu, L.; Pan, X.; Xu, J.; Jiang, Y.; Wang, L. Near-infrared photoactive semiconductor quantum dots for solar cells. Adv. Energy Mater. 2021, 11, 2101923. [Google Scholar] [CrossRef]
- Münnix, M.C.; Lochmann, A.; Bimberg, D.; Haisler, V.A. Modeling highly efficient RCLED-type quantum-dot-based single photon emitters. IEEE J. Quantum Electron. 2009, 45, 1084–1088. [Google Scholar] [CrossRef]
- Schulz, W.-M.; Eichfelder, M.; Reischle, M.; Kessler, C.; Roßbach, R.; Jetter, M.; Michler, P. Pulsed single-photon resonant-cavity quantum dot LED. J. Cryst. Growth 2011, 315, 127–130. [Google Scholar]
- Vajner, D.A.; Rickert, L.; Gao, T.; Kaymazlar, K.; Heindel, T. Quantum communication using semiconductor quantum dots. Adv. Quantum Technol. 2022, 5, 2100116. [Google Scholar] [CrossRef]
- Chen, H.; Feenstra, R.M.; Northrup, J.E.; Zywietz, T.; Neugebauer, J. Spontaneous formation of indium-rich nanostructures on InGaN (0001) surfaces. Phys. Rev. Lett. 2000, 85, 1902. [Google Scholar]
- Chang, H.; Chen, C.H.; Chen, Y.F.; Lin, T.Y.; Chen, L.C.; Chen, K.H.; Lan, Z.H. Direct evidence of nanocluster-induced luminescence in InGaN epifilms. Appl. Phys. Lett. 2005, 86, 021911. [Google Scholar]
- Humphreys, C.J. Does In form In-rich clusters in InGaN quantum wells? Philos. Mag. 2007, 87, 1971–1982. [Google Scholar]
- Shi, J.-J.; Zhang, S.; Yang, M.; Zhu, S.-G.; Zhang, M. Light emission from several-atom In–N clusters in wurtzite Ga-rich InGaN alloys and InGaN/GaN strained quantum wells. Acta Mater. 2011, 59, 2773–2782. [Google Scholar] [CrossRef]
- Monavarian, M.; Rashidi, A.; Aragon, A.; Oh, S.H.; Nami, M.; DenBaars, S.P.; Feezell, D. Explanation of low efficiency droop in semipolar (20 InGaN/GaN LEDs through evaluation of carrier recombination coefficients. Opt. Express 2017, 25, 19343–19353. [Google Scholar]
- Bochkareva, N.; Rebane, Y.T.; Shreter, Y.G. Increase in the Shockley–Read–Hall recombination rate in InGaN/GaN QWs as the main mechanism of the efficiency droop in LEDs at high injection levels. Semiconductors 2015, 49, 1665–1670. [Google Scholar]
- Krestnikov, I.; Ledentsov, N.N.; Hoffmann, A.; Bimberg, D.; Sakharov, A.V.; Lundin, W.V.; Tsatsul’nIkov, A.F.; Usikov, A.S.; Alferov, Z.I.; Musikhin, Y.G.; et al. Quantum dot origin of luminescence in InGaN-GaN structures. Phys. Rev. B 2002, 66, 155310. [Google Scholar] [CrossRef]
- Xia, C.; Hu, W.D.; Wang, C.; Li, Z.F.; Chen, X.S.; Lu, W.; Li, Z.M.S.; Li, Z.Q. Simulation of InGaN/GaN multiple quantum well light-emitting diodes with quantum dot model for electrical and optical effects. Opt. Quantum Electron. 2006, 38, 1077–1089. [Google Scholar] [CrossRef]
- Ali, S.; Usman, M. Dimensional downscaling and quantum engineering: A path to high-performance micro-LEDs. J. Lumin. 2025, 277, 120951. [Google Scholar] [CrossRef]
- Gong, Z.; Jin, S.; Chen, Y.; McKendry, J.; Massoubre, D.; Watson, I.M.; Gu, E.; Dawson, M.D. Size-dependent light output, spectral shift, and self-heating of 400 nm InGaN light-emitting diodes. J. Appl. Phys. 2010, 107, 013103. [Google Scholar] [CrossRef]
- Dai, Y.; Wang, Z.; Dou, S.; Yang, S.; Chen, J.; Zhu, H.; Gu, Y.; Wang, J.; Zhang, H.; Liu, Y.; et al. Size-dependent characteristics of GaN-based micro-LEDs for simultaneous display and wireless optical communication. Chin. Opt. Lett. 2025, 23, 082501. [Google Scholar] [CrossRef]
- Konoplev, S.S.; Bulashevich, K.A.; Karpov, S.Y. From large-size to micro-LEDs: Scaling trends revealed by modeling. Phys. Status Solidi A 2018, 215, 1700508. [Google Scholar] [CrossRef]
- Olivier, F.; Tirano, S.; Dupré, L.; Aventurier, B.; Largeron, C.; Templier, F. Influence of size-reduction on the performances of GaN-based micro-LEDs for display application. J. Lumin. 2017, 191, 112–116. [Google Scholar] [CrossRef]
- Horng, R.-H.; Ye, C.-X.; Chen, P.-W.; Iida, D.; Ohkawa, K.; Wu, Y.-R.; Wuu, D.-S. Study on the effect of size on InGaN red micro-LEDs. Sci. Rep. 2022, 12, 1324. [Google Scholar] [CrossRef]
- Liu, Y.; Feng, F.; Zhang, K.; Jiang, F.; Chan, K.-W.; Kwok, H.-S.; Liu, Z. Analysis of size dependence and the behavior under ultrahigh current density injection condition of GaN-based Micro-LEDs with pixel size down to 3 μm. J. Phys. D Appl. Phys. 2022, 55, 315107. [Google Scholar] [CrossRef]
- Hsu, Y.-H.; Lo, Y.-Y.; Lin, Y.-H.; Zan, H.-W.; Horng, R.-H. Effects of ITO contact sizes on performance of blue light microLEDs. Nanoscale Res. Lett. 2022, 17, 113. [Google Scholar] [CrossRef]
- Zhou, S.; Wang, S.; Liu, S.; Ding, H. High power GaN-based LEDs with low optical loss electrode structure. Opt. Laser Technol. 2013, 54, 321–325. [Google Scholar] [CrossRef]






Disclaimer/Publisher’s Note: The statements, opinions and data contained in all publications are solely those of the individual author(s) and contributor(s) and not of MDPI and/or the editor(s). MDPI and/or the editor(s) disclaim responsibility for any injury to people or property resulting from any ideas, methods, instructions or products referred to in the content. |
© 2026 by the authors. Licensee MDPI, Basel, Switzerland. This article is an open access article distributed under the terms and conditions of the Creative Commons Attribution (CC BY) license.
Share and Cite
Gul, M.; Usman, M.; Ali, S.; Ali, A. Effects of Device and Contact Dimension Scaling on the Performance of InGaN/GaN Quantum Dot Light-Emitting Diodes. Photonics 2026, 13, 320. https://doi.org/10.3390/photonics13040320
Gul M, Usman M, Ali S, Ali A. Effects of Device and Contact Dimension Scaling on the Performance of InGaN/GaN Quantum Dot Light-Emitting Diodes. Photonics. 2026; 13(4):320. https://doi.org/10.3390/photonics13040320
Chicago/Turabian StyleGul, Muneeba, Muhammad Usman, Shazma Ali, and Ahmed Ali. 2026. "Effects of Device and Contact Dimension Scaling on the Performance of InGaN/GaN Quantum Dot Light-Emitting Diodes" Photonics 13, no. 4: 320. https://doi.org/10.3390/photonics13040320
APA StyleGul, M., Usman, M., Ali, S., & Ali, A. (2026). Effects of Device and Contact Dimension Scaling on the Performance of InGaN/GaN Quantum Dot Light-Emitting Diodes. Photonics, 13(4), 320. https://doi.org/10.3390/photonics13040320

