Analysis and Design of a Hybrid Graphene/Vanadium-Dioxide Terahertz Metasurface with Independently Reconfigurable Reflection Phase and Magnitude
Abstract
1. Introduction
2. Design of the Unit Cell
2.1. Unit Cell Architecture
2.2. Material Dispersion Models
2.3. Transmission Line Modeling
2.4. Equivalent Circuit Model for Surface Impedance of Capacitive Patch Arrays
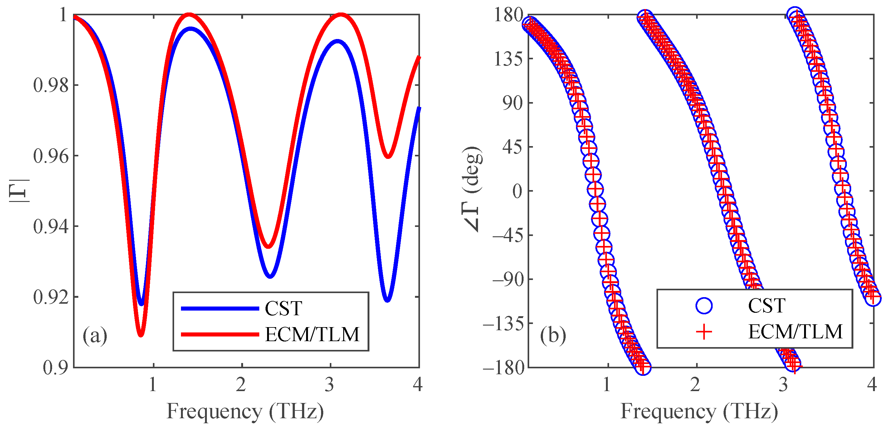
2.5. Full-Wave Simulation
3. Results
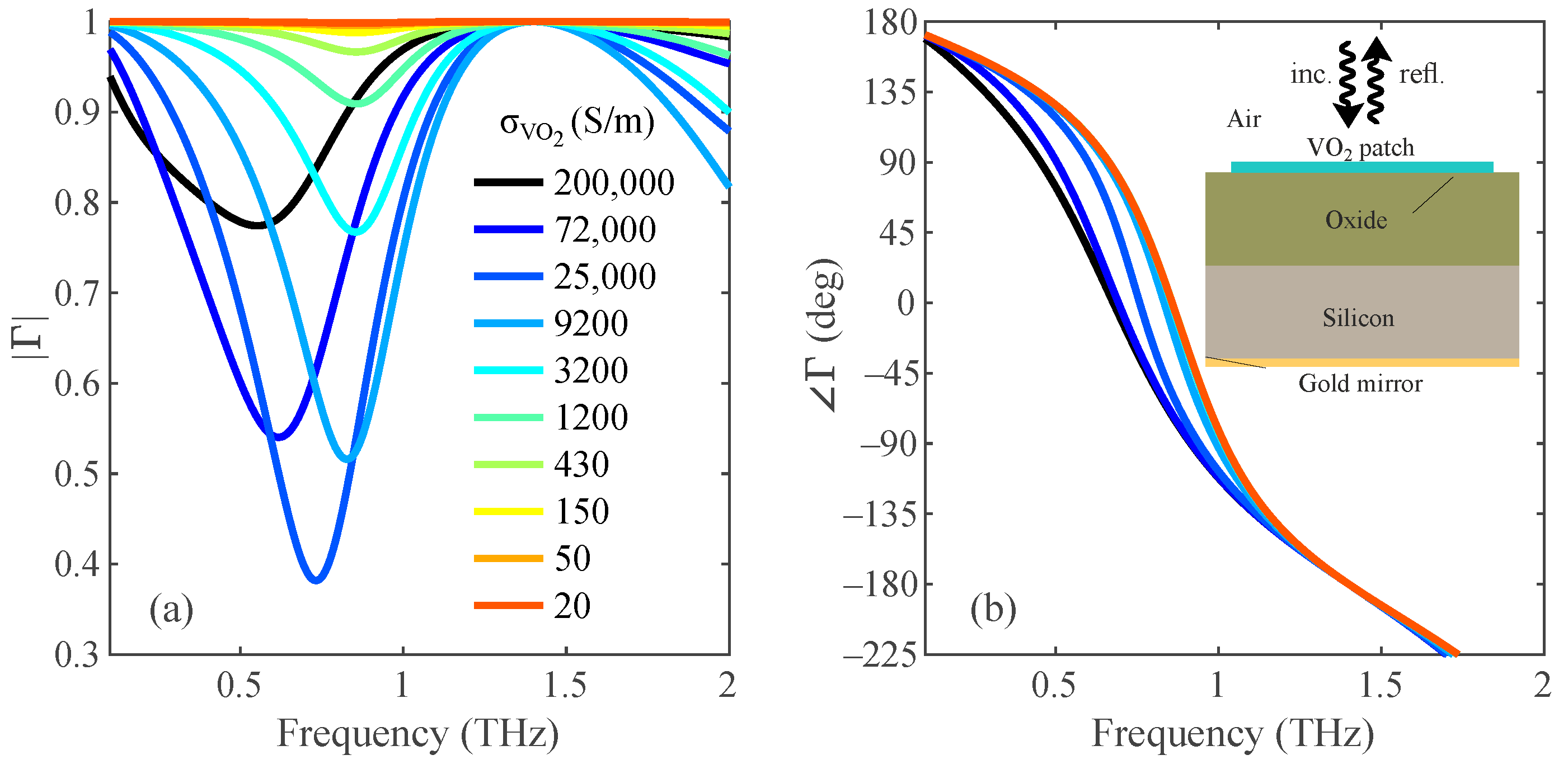
3.1. VO2-Only Configuration for Reflection Amplitude Modulation
3.2. Graphene-Only Configuration for Reflection Phase Modulation
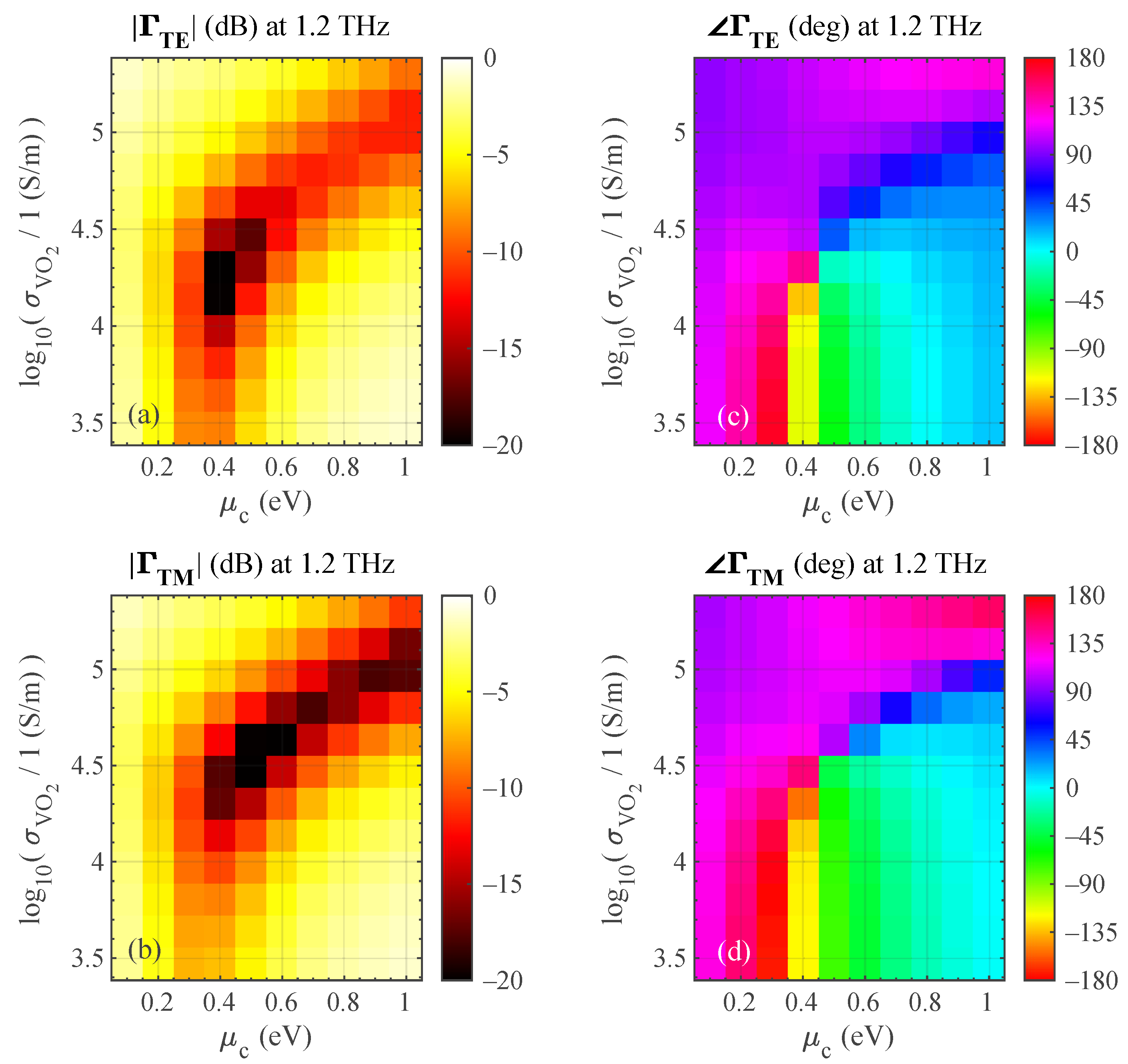
3.3. Hybrid Graphene/VO2 Configuration for Independent Reflection Phase and Amplitude Modulation
4. Discussion and Comparison
5. Summary and Outlook
Author Contributions
Funding
Institutional Review Board Statement
Informed Consent Statement
Data Availability Statement
Conflicts of Interest
Abbreviations
| MS | Metasurface |
| RMS | Reconfigurable Metasurface |
| TSI | Tabulated Surface Impedance |
| ECM | Equivalent Circuit Model |
| TL | Transmission Line |
| TLM | Transmission Line Model |
| ITE | Impedance Transformation Equation |
| FSR | Free Spectral Range |
References
- Liu, L.; Zhang, X.; Kenney, M.; Su, X.; Xu, N.; Ouyang, C.; Shi, Y.; Han, J.; Zhang, W.; Zhang, S. Broadband metasurfaces with simultaneous control of phase and amplitude. Adv. Mater. 2014, 26, 5031–5036. [Google Scholar] [CrossRef]
- Lee, G.Y.; Yoon, G.; Lee, S.Y.; Yun, H.; Cho, J.; Lee, K.; Kim, H.; Rho, J.; Lee, B. Complete amplitude and phase control of light using broadband holographic metasurfaces. Nanoscale 2018, 10, 4237–4245. [Google Scholar] [CrossRef]
- Ding, F.; Cui, Y.; Ge, X.; Jin, Y.; He, S. Ultra-broadband microwave metamaterial absorber. Appl. Phys. Lett. 2012, 100, 103506. [Google Scholar] [CrossRef]
- Song, Q.; Zhang, W.; Wu, P.C.; Zhu, W.; Shen, Z.X.; Chong, P.H.J.; Liang, Q.X.; Yang, Z.C.; Hao, Y.L.; Cai, H.; et al. Water-resonator-based metasurface: An ultrabroadband and near-unity absorption. Adv. Opt. Mater. 2017, 5, 1601103. [Google Scholar] [CrossRef]
- Zhang, Z.; Shi, H.; Wang, L.; Chen, J.; Chen, X.; Yi, J.; Zhang, A.; Liu, H. Recent advances in reconfigurable metasurfaces: Principle and applications. Nanomaterials 2023, 13, 534. [Google Scholar] [CrossRef]
- Dong, T.; Zhang, Y.; Li, Y.; Tang, Y.; He, X. Development of a terahertz metamaterial polarization converter with multiple tuning modes based on graphene and vanadium dioxide. Diam. Relat. Mater. 2023, 139, 110373. [Google Scholar] [CrossRef]
- Luo, H.; Liu, H.; Chen, C.; Feng, Y.; Gao, P.; Ren, Z.Y.; Qiao, Y.J. Dual-broadband terahertz absorber based on phase transition characteristics of VO2. Results Phys. 2022, 34, 105270. [Google Scholar] [CrossRef]
- Zhuang, L.; Zhang, W.; Liu, J.; Chao, M.; Liu, Q.; Cheng, B.; Xu, Y.; Song, G. Switchable trifunctional terahertz absorber for both broadband and narrowband operations. Opt. Express 2022, 30, 45848–45861. [Google Scholar] [CrossRef] [PubMed]
- Holloway, C.L.; Kuester, E.F.; Gordon, J.A.; O’Hara, J.; Booth, J.; Smith, D.R. An overview of the theory and applications of metasurfaces: The two-dimensional equivalents of metamaterials. IEEE Antennas Propag. Mag. 2012, 54, 10–35. [Google Scholar] [CrossRef]
- Chen, H.T.; Taylor, A.J.; Yu, N. A review of metasurfaces: Physics and applications. Rep. Prog. Phys. 2016, 79, 076401. [Google Scholar] [CrossRef]
- Yu, S.; Kim, Y.; Shin, E.; Kwon, S.H. Dynamic beam steering and focusing graphene metasurface mirror based on fermi energy control. Micromachines 2023, 14, 715. [Google Scholar] [CrossRef]
- Pors, A.; Nielsen, M.G.; Eriksen, R.L.; Bozhevolnyi, S.I. Broadband focusing flat mirrors based on plasmonic gradient metasurfaces. Nano Lett. 2013, 13, 829–834. [Google Scholar] [CrossRef]
- Venkatesh, S.; Lu, X.; Saeidi, H.; Sengupta, K. A high-speed programmable and scalable terahertz holographic metasurface based on tiled CMOS chips. Nat. Electron. 2020, 3, 785–793. [Google Scholar] [CrossRef]
- Ding, X.; Monticone, F.; Zhang, K.; Zhang, L.; Gao, D.; Burokur, S.N.; De Lustrac, A.; Wu, Q.; Qiu, C.W.; Alù, A. Ultrathin Pancharatnam–Berry metasurface with maximal cross-polarization efficiency. Adv. Mater. 2015, 27, 1195–1200. [Google Scholar] [CrossRef]
- He, X.; Wu, M.; Lu, G.; Zhang, Y.; Geng, Z. High-efficiency multi-channel focusing and imaging enabled by polarization-frequency multiplexing non-interleaved metasurfaces. Photon. Res. 2025, 13, 976–986. [Google Scholar] [CrossRef]
- Wu, M.; He, X.; Lu, G.; Zhang, Y.; Geng, Z.; Liu, H.; Zhang, K. On-Chip Multi-Channel Wavefront Manipulation of Spoof Surface Waves with Structural Heterogeneous Metasurfaces. Laser Photon. Rev. 2025, e01634. [Google Scholar] [CrossRef]
- Qi, L.; Liu, C.; Shah, S.M.A. A broad dual-band switchable graphene-based terahertz metamaterial absorber. Carbon 2019, 153, 179–188. [Google Scholar] [CrossRef]
- Dong, T.; Zhang, Y.; Li, Y.; Tang, Y.; He, X. Dual-function switchable terahertz metamaterial device with dynamic tuning characteristics. Results Phys. 2023, 45, 106246. [Google Scholar] [CrossRef]
- Pitilakis, A.; Seckel, M.; Tasolamprou, A.; Liu, F.; Deltsidis, A.; Manessis, D.; Ostmann, A.; Kantartzis, N.; Liaskos, C.; Soukoulis, C.; et al. Multifunctional Metasurface Architecture for Amplitude, Polarization and Wave-Front Control. Phys. Rev. Appl. 2022, 17, 064060. [Google Scholar] [CrossRef]
- Taghvaee, H.; Pitilakis, A.; Khodadadi, M.; Tsilipakos, O.; Boulogeorgos, A.A.A.; Khalily, M. Holographic mmWave Metasurface Integrating THz Sensing for 6G Wireless Networks. IEEE Wirel. Commun. 2025, 32, 54–62. [Google Scholar] [CrossRef]
- Wang, J.; Yang, R.; Ma, R.; Tian, J.; Zhang, W. Reconfigurable multifunctional metasurface for broadband polarization conversion and perfect absorption. IEEE Access 2020, 8, 105815–105823. [Google Scholar] [CrossRef]
- Balci, O.; Polat, E.O.; Kakenov, N.; Kocabas, C. Graphene-enabled electrically switchable radar-absorbing surfaces. Nat. Commun. 2015, 6, 6628. [Google Scholar] [CrossRef]
- Zou, W.; Zhong, C.; Hong, L.; Lei, J.; Shen, Y.; Deng, X.; Chen, J.; Guo, T. Switchable Vanadium Dioxide Metasurface for Terahertz Applications. Micromachines 2024, 15, 967. [Google Scholar] [CrossRef]
- Liu, M.; Hwang, H.Y.; Tao, H.; Strikwerda, A.C.; Fan, K.; Keiser, G.R.; Sternbach, A.J.; West, K.G.; Kittiwatanakul, S.; Lu, J.; et al. Terahertz-field-induced insulator-to-metal transition in vanadium dioxide metamaterial. Nature 2012, 487, 345–348. [Google Scholar] [CrossRef] [PubMed]
- Liu, Y.; Hu, L.; Liu, M. Graphene and vanadium dioxide-based terahertz absorber with switchable multifunctionality for band selection applications. Nanomaterials 2024, 14, 1200. [Google Scholar] [CrossRef]
- Low, T.; Chaves, A.; Caldwell, J.D.; Kumar, A.; Fang, N.X.; Avouris, P.; Heinz, T.F.; Guinea, F.; Martin-Moreno, L.; Koppens, F. Polaritons in layered two-dimensional materials. Nat. Mater. 2017, 16, 182–194. [Google Scholar] [CrossRef]
- Farzin, P.; Soleimani, M. Graphene-based metasurface for real-time control of three electromagnetic wave modes and polarization state. Diam. Relat. Mater. 2023, 139, 110279. [Google Scholar] [CrossRef]
- Wang, L.; Gao, F.; Teng, S.; Tan, Z.; Zhang, X.; Lou, J. Terahertz tunable vanadium dioxide metasurface for dynamic illusion and cloaking. iScience 2024, 27, 108609. [Google Scholar] [CrossRef]
- Luukkonen, O.; Simovski, C.R.; Raisanen, A.V.; Tretyakov, S.A. An efficient and simple analytical model for analysis of propagation properties in impedance waveguides. IEEE Trans. Microw. Theory Tech. 2008, 56, 1624–1632. [Google Scholar] [CrossRef]
- Luukkonen, O.; Simovski, C.; Granet, G.; Goussetis, G.; Lioubtchenko, D.; Raisanen, A.V.; Tretyakov, S.A. Simple and accurate analytical model of planar grids and high-impedance surfaces comprising metal strips or patches. IEEE Trans. Antennas Propag. 2008, 56, 1624–1632. [Google Scholar] [CrossRef]
- Chen, J.; Hong, L.; Lei, J.; Shen, Y.; Deng, X.; Chen, J.; Guo, T. High-Performance Terahertz Coherent Perfect Absorption with Asymmetric Graphene Metasurface. Photonics 2024, 11, 544. [Google Scholar] [CrossRef]
- Landy, N.I.; Sajuyigbe, S.; Mock, J.J.; Smith, D.R.; Padilla, W.J. Perfect metamaterial absorber. Phys. Rev. Lett. 2008, 100, 207402. [Google Scholar] [CrossRef]
- Jiao, X.F.; Zhang, Z.H.; Li, T.; Xu, Y.; Song, G.F. Tunable dual broadband terahertz metamaterial absorber based on vanadium dioxide. Appl. Sci. 2020, 10, 7259. [Google Scholar] [CrossRef]
- Tang, X.; Jia, H.; Liu, L.; Li, M.; Wu, D.; Zhou, K.; Li, P.; Tian, L.; Yang, D.; Wang, W. A tunable terahertz absorber based on double-layer patterned graphene metamaterials. Materials 2023, 16, 4166. [Google Scholar] [CrossRef]
- Hanson, G.W. Dyadic Green’s functions for an anisotropic, non-local model of biased graphene. IEEE Trans. Antennas Propag. 2008, 56, 747–757. [Google Scholar] [CrossRef]
- Hanson, G.W. Dyadic Green’s functions and guided surface waves for a surface conductivity model of graphene. J. Appl. Phys. 2008, 103. [Google Scholar] [CrossRef]
- Dash, S.; Psomas, C.; Krikidis, I.; Akyildiz, I.F.; Pitsillides, A. Active control of THz waves in wireless environments using graphene-based RIS. IEEE Trans. Antennas Propag. 2022, 70, 8785–8797. [Google Scholar] [CrossRef]
- Barzegar-Parizi, S.; Ebrahimi, A.; Ghorbani, K. Two bits dual-band switchable terahertz absorber enabled by composite graphene and vanadium dioxide metamaterials. Sci. Rep. 2024, 14, 5818. [Google Scholar] [CrossRef]
- Wang, X.C.; Tretyakov, S.A. Graphene-based tunable metasurface for all-angle perfect absorption. In 2018 12th International Congress on Artificial Materials for Novel Wave Phenomena (Metamaterials); IEEE: Espoo, Finland, 2018; pp. 430–432. [Google Scholar][Green Version]
- Pasdari-Kia, M.; Memarian, M.; Khavasi, A. Generalized equivalent circuit model for analysis of graphene/metal-based plasmonic metasurfaces using floquet expansion. Opt. Express 2022, 30, 35486–35499. [Google Scholar] [CrossRef] [PubMed]
- Tretyakov, S. Analytical Modeling in Applied Electromagnetics; Artech House: Norwood, MA, USA, 2003. [Google Scholar]
- Chatzidimitriou, D.; Pitilakis, A.; Kriezis, E.E. Rigorous calculation of nonlinear parameters in graphene-comprising waveguides. J. Appl. Phys. 2015, 118. [Google Scholar] [CrossRef]
- You, X.; Kosmas, P. Equivalent Circuit Modeling of a Novel Reconfigurable Metasurface With Independent Control of Amplitude and Phase Based on Floquet Modal Expansion. IEEE J. Microwaves 2024, 4, 428–439. [Google Scholar] [CrossRef]
- Dassault Systèmes. CST Studio Suite—Electromagnetic Field Simulation Software; Dassault Systèmes: Waltham, DC, USA, 2024. [Google Scholar]
- Jin, J.M. The Finite Element Method in Electromagnetics, 3rd ed.; Wiley: New York, NY, USA, 2014. [Google Scholar]
- Pozar, D.M. Microwave Engineering, 4th ed.; Wiley: Hoboken, NJ, USA, 2012. [Google Scholar]
- Vakil, A.; Engheta, N. Transformation Optics Using Graphene. Science 2011, 332, 1291–1294. [Google Scholar] [CrossRef] [PubMed]
- Gong, Y.; Liu, N. Advanced numerical methods for graphene simulation with equivalent boundary conditions: A review. Photonics 2023, 10, 712. [Google Scholar] [CrossRef]
- Albooyeh, M.; Ra’Di, Y.; Adil, M.; Simovski, C. Revised transmission line model for electromagnetic characterization of metasurfaces. Phys. Rev. B Condens. Matter Mater. Phys. 2013, 88, 085435. [Google Scholar] [CrossRef]
- Zhang, J.; Yan, H.; Yang, X.; Lyu, H. Dual-Function Metasurface for Tunable Selective Absorption. Micromachines 2022, 13, 2087. [Google Scholar] [CrossRef]
- Yang, D.; Liu, X.; Wang, Y.; Zhang, Y. Programmable VO2 Metasurface for Terahertz Wave Beam Manipulation. Materials 2022, 15, 104824. [Google Scholar]
- Mou, N.; Tang, B.; Li, J.; Dong, H.; Zhang, L. Switchable ultra-broadband terahertz wave absorption with VO2-based metasurface. Sci. Rep. 2022, 12, 2501. [Google Scholar] [CrossRef]
- Simovski, C.R.; Tretyakov, S.A. Modeling and Analysis of Metasurfaces as Two-Dimensional Electromagnetic Structures. IEEE Trans. Antennas Propag. 2012, 60, 2587–2595. [Google Scholar]
- Wang, X.; Tretyakov, S.A. Toward ultimate control of terahertz wave absorption in graphene. IEEE Trans. Antennas Propag. 2018, 67, 2452–2461. [Google Scholar] [CrossRef]
- Yu, N.; Genevet, P.; Kats, M.A.; Aieta, F.; Tetienne, J.P.; Capasso, F.; Gaburro, Z. Light propagation with phase discontinuities: Generalized laws of reflection and refraction. Science 2011, 334, 333–337. [Google Scholar] [CrossRef]
- Chen, K.; Wang, Z.; Guan, M.; Cheng, S.; Ma, H.; Yi, Z.; Li, B. Tunable ultra-wideband VO2–graphene hybrid metasurface terahertz absorption devices based on dual regulation. Photonics 2025, 12, 987. [Google Scholar] [CrossRef]
- Gómez-Díaz, J.S.; Perruisseau-Carrier, J. Graphene-Based Plasmonic Switches at Terahertz Frequencies. Opt. Express 2013, 21, 15490–15504. [Google Scholar] [CrossRef] [PubMed]
- Afra, T.; Fuscaldo, W.; Zografopoulos, D.C.; Natale, T.; Dell’Olio, F. Tunable wide band near-perfect absorber for terahertz waves based on a vanadium dioxide metasurface. Opt. Quantum Electron. 2025, 57, 272. [Google Scholar] [CrossRef]
- Zhang, Y.; Ma, S.; Fu, W.; Huang, S.; Zhu, Y.; Luo, X. Vanadium dioxide-based terahertz metasurface device with switchable broadband absorption and beam steering functions. Opt. Commun. 2024, 560, 130486. [Google Scholar] [CrossRef]
- Zou, Y.; Lin, H.; Tian, G.; Zhou, H.; Zhu, H.; Xiong, H.; Wang, B.X. Triple-Band and Ultra-Broadband Switchable Terahertz Meta-Material Absorbers Based on the Hybrid Structures of Vanadium Dioxide and Metallic Patterned Resonators. Materials 2023, 16, 4719. [Google Scholar] [CrossRef]
- Liu, C.; Xu, Y.; Huang, R.; Zha, S. Terahertz metamaterials for broadband, high modulation depth modulator, and tunable dual-band absorber based on metal-vanadium dioxide hybrid structure. Aip Adv. 2023, 13, 095204. [Google Scholar] [CrossRef]
- Chen, Z.; Chen, J.; Tang, H.; Shen, T.; Zhang, H. Dynamically switchable broadband and triple-band terahertz absorber based on a metamaterial structure with graphene. Opt. Express 2022, 30, 6778–6785. [Google Scholar] [CrossRef]
- Sun, Z.; Huang, F.; Fu, Y. Graphene-based active metasurface with more than 330° phase tunability operating at mid-infrared spectrum. Carbon 2021, 173, 512–520. [Google Scholar] [CrossRef]
- Zheng, B.; Ren, H.; An, S.; Tang, H.; Li, H.; Haerinia, M.; Dong, Y.; Fowler, C.; Zhang, H. Tunable metasurface with dynamic amplitude and phase control. IEEE Access 2021, 9, 104522–104529. [Google Scholar] [CrossRef]
- Zhou, S.; Hu, F.; Wang, H.; Su, A.; Jiang, M.; Zhang, L.; Gao, Z.; Luo, W. Large dynamic range terahertz phase shifter based on a graphene–metal hybrid metasurface. Appl. Opt. 2025, 64, 5188–5194. [Google Scholar] [CrossRef]
- Balci, O.; Kakenov, N.; Karademir, E.; Balci, S.; Cakmakyapan, S.; Polat, E.O.; Caglayan, H.; Özbay, E.; Kocabas, C. Electrically switchable metadevices via graphene. Sci. Adv. 2018, 4, eaao1749. [Google Scholar] [CrossRef]
- Phon, R.; Lee, M.; Lor, C.; Lim, S. Multifunctional reflective metasurface to independently and simultaneously control amplitude and phase with frequency tunability. Adv. Opt. Mater. 2023, 11, 2202943. [Google Scholar]
- Bhattacharyya, A.K. Phased Array Antennas: Floquet Analysis, Synthesis, BFNs and Active Array Systems; John Wiley & Sons: Hoboken, NJ, USA, 2006. [Google Scholar]
- Rodriguez-Berral, R.; Mesa, F.; Medina, F. Analytical multimodal network approach for 2-D arrays of planar patches/apertures embedded in a layered medium. IEEE Trans. Antennas Propag. 2015, 63, 1969–1984. [Google Scholar] [CrossRef]
- Mistri, H.; Ghosh, A.; Sardar, A.R.; Roy, P. Multifunctional voltage and temperature controlled metasurface using graphene and vanadium dioxide for terahertz applications. Opt. Quantum Electron. 2025, 57, 332. [Google Scholar] [CrossRef]
- Fang, J.; Zhu, W.; Cao, L.; Huang, X.; Zhang, B.; He, D.; Wang, S. Hybrid dual-mode tunable polarization conversion metasurface based on graphene and vanadium dioxide. Opt. Express 2023, 31, 23095–23105. [Google Scholar] [CrossRef]
- Naghshpour, N.; Pakizeh, T. Hybrid VO2-graphene bi-functional digital metasurface for beam steering and dual-band absorption. J. Appl. Phys. 2025, 138, 203103. [Google Scholar] [CrossRef]
- Li, J.; Liu, Y.; Chen, Y.; Chen, W.; Guo, H.; Wu, Q.; Li, M. Tunable broadband-narrowband and dual-broadband terahertz absorber based on a hybrid metamaterial vanadium dioxide and graphene. Micromachines 2023, 14, 201. [Google Scholar]
- Zhuo, S. Switchable dual ultra-broadband perfect absorber based on graphene and vanadium dioxide hybrid metamaterials. J. Opt. Soc. Am. B 2024, 41, 1483–1489. [Google Scholar] [CrossRef]
- Di Renzo, M.; Zappone, A.; Debbah, M.; Alouini, M.S.; Yuen, C.; De Rosny, J.; Tretyakov, S. Smart radio environments empowered by reconfigurable intelligent surfaces: How it works, state of research, and the road ahead. IEEE J. Sel. Areas Commun. 2020, 38, 2450–2525. [Google Scholar] [CrossRef]
- Renzo, M.D.; Debbah, M.; Phan-Huy, D.T.; Zappone, A.; Alouini, M.S.; Yuen, C.; Sciancalepore, V.; Alexandropoulos, G.C.; Hoydis, J.; Gacanin, H.; et al. Smart radio environments empowered by reconfigurable AI meta-surfaces: An idea whose time has come. Eurasip J. Wirel. Commun. Netw. 2019, 2019, 1–20. [Google Scholar] [CrossRef]














| 30 | 1.2 | 20 | 15 | 0.1 | 27 | 27 |
| Ref. | Material | Number of | Operating | Modeling | Functionality | Functionality |
|---|---|---|---|---|---|---|
| Used | Layers | Frequency | Method | (Amplitude/Phase) | Description | |
| [60] | VO2–Metal | 3 | THz | Simulation | Amplitude | Triple Band/ Broadband Absorption |
| [37] | Graphene | 3 | THz | Simulation/ECM | Amplitude/Phase | Reflection/Absorption |
| Phase Gradient MS. | ||||||
| [64] | Metal Patches | 5 | GHz | Simulation/ECM | Amplitude/Phase | Simultaneous |
| Phase/Amplitude at GHz | ||||||
| [65] | Graphene–Metal | 3 | THz | Simulation | Phase | Maximum phase |
| shift | ||||||
| [72] | Metal-Graphene-VO2 | 3 | THz | Simulation/ECM | Amplitude/Phase | Phase gradient Coded MS |
| Absorption/Beam steering | ||||||
| [18] | VO2-Photosensitive Silicon | 7 | THz | Simulation | Amplitude/Phase | Broadband Absorption/Polarization |
| Conversion | ||||||
| This work | VO2–Graphene | 5 | THz | Simulation/ECM | Amplitude/Phase | Reflection/Absorption |
| Independent control | ||||||
| dB, at 1.2 THz |
Disclaimer/Publisher’s Note: The statements, opinions and data contained in all publications are solely those of the individual author(s) and contributor(s) and not of MDPI and/or the editor(s). MDPI and/or the editor(s) disclaim responsibility for any injury to people or property resulting from any ideas, methods, instructions or products referred to in the content. |
© 2026 by the authors. Licensee MDPI, Basel, Switzerland. This article is an open access article distributed under the terms and conditions of the Creative Commons Attribution (CC BY) license.
Share and Cite
Amoateng, E.; Mubarak Sani, E.; Obeng Kwakye, K.S.; Pitilakis, A. Analysis and Design of a Hybrid Graphene/Vanadium-Dioxide Terahertz Metasurface with Independently Reconfigurable Reflection Phase and Magnitude. Photonics 2026, 13, 195. https://doi.org/10.3390/photonics13020195
Amoateng E, Mubarak Sani E, Obeng Kwakye KS, Pitilakis A. Analysis and Design of a Hybrid Graphene/Vanadium-Dioxide Terahertz Metasurface with Independently Reconfigurable Reflection Phase and Magnitude. Photonics. 2026; 13(2):195. https://doi.org/10.3390/photonics13020195
Chicago/Turabian StyleAmoateng, Eric, Ellis Mubarak Sani, Kingsford Sarkodie Obeng Kwakye, and Alexandros Pitilakis. 2026. "Analysis and Design of a Hybrid Graphene/Vanadium-Dioxide Terahertz Metasurface with Independently Reconfigurable Reflection Phase and Magnitude" Photonics 13, no. 2: 195. https://doi.org/10.3390/photonics13020195
APA StyleAmoateng, E., Mubarak Sani, E., Obeng Kwakye, K. S., & Pitilakis, A. (2026). Analysis and Design of a Hybrid Graphene/Vanadium-Dioxide Terahertz Metasurface with Independently Reconfigurable Reflection Phase and Magnitude. Photonics, 13(2), 195. https://doi.org/10.3390/photonics13020195

