Design of a High-Efficiency Hydrogenated Amorphous Silicon Electro-Absorption Modulator with Embedded Graphene Capacitor
Abstract
1. Introduction
2. Device Structure
3. Simulation
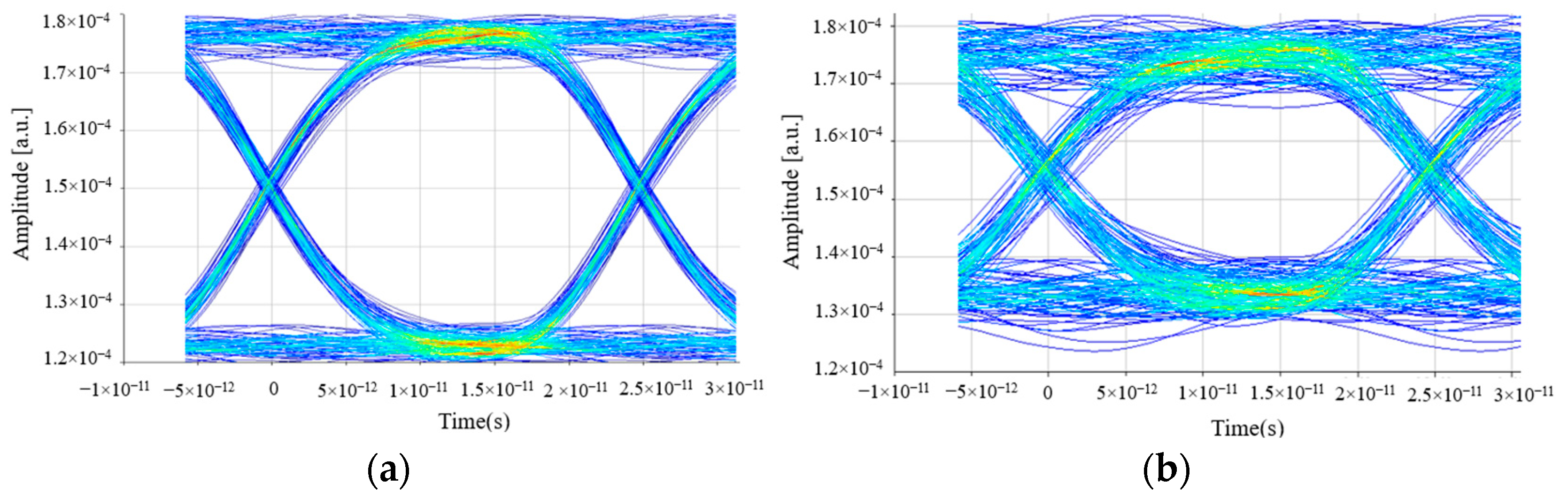
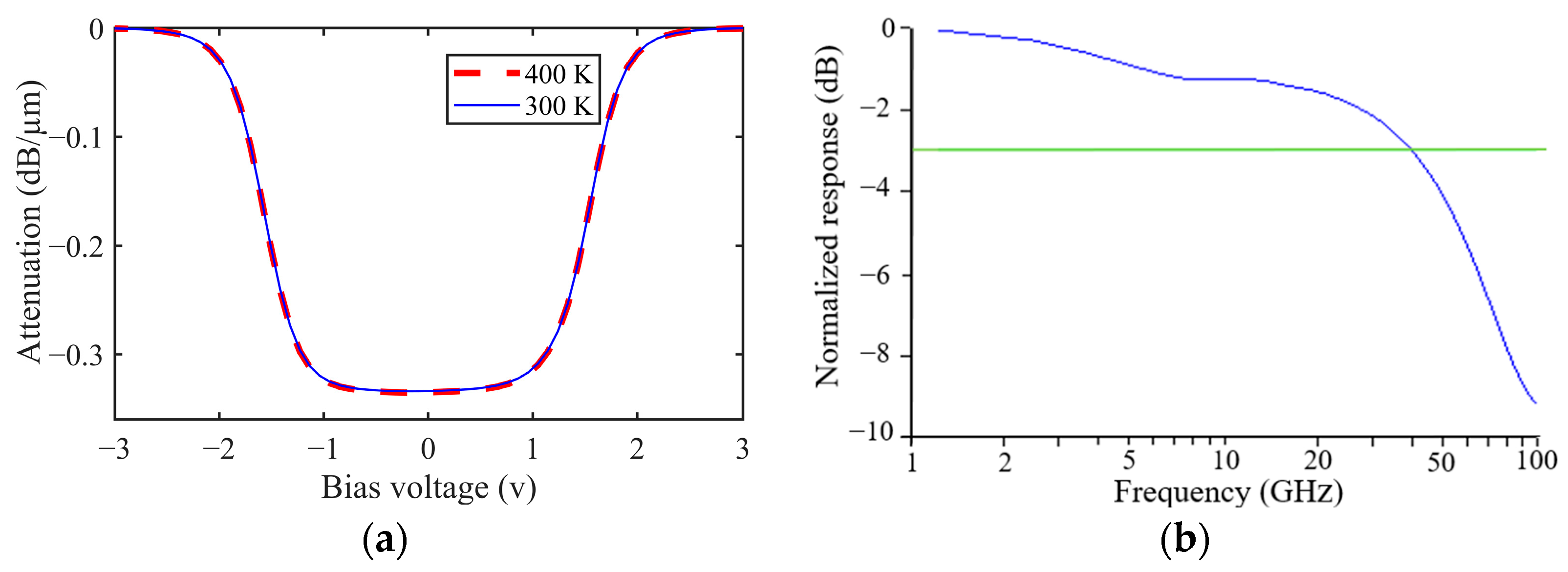
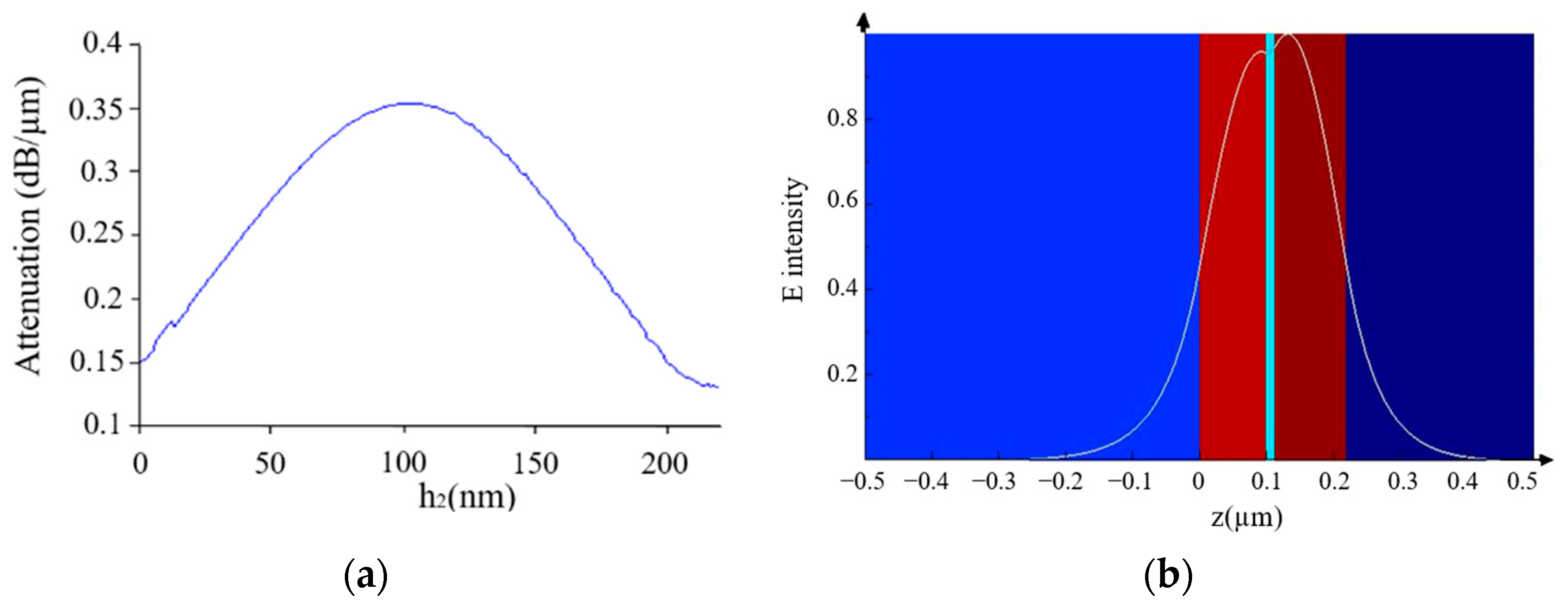
4. Results
5. Conclusions
Author Contributions
Funding
Conflicts of Interest
References
- Kim, K. 1.1 Silicon technologies and solutions for the data-driven world. In Proceedings of the 2015 IEEE International Solid-State Circuits Conference—(ISSCC) Digest of Technical Papers, San Francisco, CA, USA, 22–26 February 2015; pp. 11–17. [Google Scholar]
- Attila, M.; Pinguet, T.; Masini, G.; Sahni, S.; Mack, M.; Gloeckner, S.; De Dobbelaere, P. Advanced Silicon Photonics Transceivers. In Silicon Photonics III; Springer: Berlin/Heidelberg, Germany, 2016; pp. 349–374. [Google Scholar]
- Wang, Z.; Ren, W. Mid-infrared optical modulator enabled by photothermal effect. Light. Sci. Appl. 2023, 12, 7. [Google Scholar] [CrossRef]
- Passaro, V.M.; De Tullio, C.; Troia, B.; La Notte, M.; Giannoccaro, G.; De Leonardis, F. Recent advances in integrated photonic sensors. Sensors 2012, 12, 15558–15598. [Google Scholar] [CrossRef]
- Rauf, R.; Bennett, B. Electrooptical effects in silicon. IEEE J. Quantum Electron. 1987, 23, 123–129. [Google Scholar] [CrossRef]
- Agarwal, H.; Terrés, B.; Orsini, L.; Montanaro, A.; Sorianello, V.; Pantouvaki, M.; Watanabe, K.; Taniguchi, T.; Van Thourhout, D.; Romagnoli, M.; et al. 2D–3D integration of hexagonal boron nitride and a high-κ dielectric for ultrafast graphene-based electro-absorption modulators. Nat. Commun. 2021, 12, 1070. [Google Scholar] [CrossRef]
- Ai, Z.; Liu, H.; Cheng, S.; Zhang, H.; Yi, Z.; Zeng, Q.; Wu, P.; Zhang, J.; Tang, C.; Hao, Z. Four peak and high angle tilted insensitive surface plasmon resonance graphene absorber based on circular etching square window. J. Phys. D Appl. Phys. 2025, 58, 185305. [Google Scholar] [CrossRef]
- Zhao, M.; Hao, Y.; Zhang, C.; Zhai, R.; Zhai, R.; Liu, B.; Liu, W.; Wang, C.; Jafri, H.; Razaq, M.A.; et al. Advances in Two-Dimensional Materials for Optoelectronics Applications. Crystals 2022, 12, 1087. [Google Scholar] [CrossRef]
- Liu, M.; Yin, X.; Ulin-Avila, E.; Geng, B.; Zentgraf, T.; Ju, L.; Wang, F.; Zhang, X. A graphene-based broadband optical modulator. Nature 2011, 474, 64–67. [Google Scholar] [CrossRef]
- Dalir, H.; Xia, Y.; Wang, Y.; Zhang, X. Athermal Broadband Graphene Optical Modulator with 35 GHz Speed. ACS Photonics 2016, 3, 1564–1568. [Google Scholar] [CrossRef]
- Fan, M.; Yang, H.; Zheng, P.; Hu, G.; Yun, B.; Cui, Y. Multilayer graphene electro-absorption optical modulator based on double-stripe silicon nitride waveguide. Opt. Express 2017, 25, 21619–21629. [Google Scholar] [CrossRef]
- Giambra, M.A.; Sorianello, V.; Miseikis, V.; Marconi, S.; Montanaro, A.; Galli, P.; Pezzini, S.; Coletti, C.; Romagnoli, M. High-speed double layer graphene electro-absorption modulator on SOI waveguide. Opt. Express 2019, 27, 20145–20155. [Google Scholar] [CrossRef]
- Gosciniak, J.; Tan, D.T.H. Theoretical investigation of graphene-based photonic modulators. Sci. Rep. 2013, 3, 1897. [Google Scholar] [CrossRef]
- Ye, S.-W.; Yuan, F.; Zou, X.-H.; Shah, M.K.; Lu, R.-G.; Liu, Y. High-Speed Optical Phase Modulator Based on Graphene-Silicon Waveguide. IEEE J. Sel. Top. Quantum Electron. 2016, 23, 76–80. [Google Scholar] [CrossRef]
- Della Corte, F.G.; Rao, S.; Nigro, M.A.; Suriano, F.; Summonte, C. Electro-optically induced absorption in α-Si:H/α-SiCN waveguiding multistacks. Opt. Express 2008, 16, 7540–7550. [Google Scholar] [CrossRef] [PubMed]
- Rao, S.; Coppola, G.; Gioffrè, M.A.; Della Corte, F.G. A 2.5 ns switching time MachZehnder modulator in as-deposited a-Si:H. Opt. Express 2012, 20, 9351–9356. [Google Scholar] [CrossRef] [PubMed]
- Rao, S.; Della Corte, F.G. Numerical Analysis of Electro-Optical Modulators Based on the Amorphous Silicon Technology. J. Light. Technol. 2014, 32, 2399–2407. [Google Scholar] [CrossRef]
- Müller, M.; Bouša, M.; Hájková, Z.; Ledinský, M.; Fejfar, A.; Drogowska-Horná, K.; Kalbáč, M.; Frank, O. Transferless Inverted Graphene/Silicon Heterostructures Prepared by Plasma-Enhanced Chemical Vapor Deposition of Amorphous Silicon on CVD Graphene. Nanomaterials 2020, 10, 589. [Google Scholar] [CrossRef] [PubMed]
- Lupina, G.; Strobel, C.; Dabrowski, J.; Lippert, G.; Kitzmann, J.; Krause, H.; Wenger, C.; Lukosius, M.; Wolff, A.; Albert, M.; et al. Plasma-enhanced chemical vapor deposition of amorphous Si on graphene. Appl. Phys. Lett. 2016, 108, 193105. [Google Scholar] [CrossRef]
- Pizzocchero, F.; Gammelgaard, L.; Jessen, B.S.; Caridad, J.M.; Wang, L.; Hone, J.; Bøggild, P.; Booth, T.J. The hot pick-up technique for batch assembly of van der Waals heterostructures. Nat. Commun. 2016, 7, 11894. [Google Scholar] [CrossRef]
- Xiao, Z.; Kisslinger, K.; Chance, S.; Banks, S. Comparison of Hafnium Dioxide and Zirconium Dioxide Grown by Plasma-Enhanced Atomic Layer Deposition for the Application of Electronic Materials. Crystals 2020, 10, 136. [Google Scholar] [CrossRef]
- Liao, L.; Bai, J.; Cheng, R.; Lin, Y.-C.; Jiang, S.; Huang, Y.; Duan, X. Top-gated graphene nanoribbon transistors with ultrathin high-k dielectrics. Nano Lett. 2010, 10, 1917–1921. [Google Scholar] [CrossRef]
- Giubileo, F.; Di Bartolomeo, A. The role of contact resistance in graphene field-effect devices. Prog. Surf. Sci. 2017, 92, 143–175. [Google Scholar] [CrossRef]
- Giannozzi, P.; Baroni, S.; Bonini, N.; Calandra, M.; Car, R.; Cavazzoni, C.; Ceresoli, D. QUANTUM ESPRESSO: A modular and open-source software project for quantum simulations of materials. J. Phys. Condens. Matter 2009, 21, 395502. [Google Scholar] [CrossRef]
- De Fazio, D.; Purdie, D.G.; Ott, A.K.; Braeuninger-Weimer, P.; Khodkov, T.; Goossens, S.; Taniguchi, T.; Watanabe, K.; Livreri, P.; Koppens, F.H.L.; et al. High-mobility, wet-transferred graphene grown by chemical vapor deposition. ACS Nano 2019, 13, 8926–8935. [Google Scholar] [CrossRef]
- Viti, L.; Purdie, D.G.; Lombardo, A.; Ferrari, A.C.; Vitiello, M.S. HBN-encapsulated, graphene-based, room-temperature terahertz receivers, with high speed and low noise. Nano Lett. 2020, 20, 3169–3177. [Google Scholar] [CrossRef] [PubMed]
- Crisci, T.; Moretti, L.; Russo, C.; Gioffré, M.A.; Iodice, M.; Coppola, G.; Casalino, M. Unveiling high responsivity in on-chip photodetectors with graphene interposed between amorphous and crystalline silicon. Carbon 2025, 233, 119837. [Google Scholar] [CrossRef]
- Hanson, G.W. Erratum: Dyadic Green’s functions and guided surface waves for a surface conductivity model of graphene. J. Appl. Phys. 2008, 113, 29902. [Google Scholar] [CrossRef]
- Arul, N.S.; Nithya, V.D. Two Dimensional Transition Metal Dichalcogenides: Synthesis, Properties, and Applications; Springer: Berlin/Heidelberg, Germany, 2019. [Google Scholar]
- Liu, S.; Chen, F. Dynamically tunable Fano resonance effect based on monolayer graphene with disk defect robustness. Phys. B Condens. Matter 2025, 715, 417638. [Google Scholar] [CrossRef]
- Phare, C.T.; Lee, Y.-H.D.; Cardenas, J.; Lipson, M. Graphene electro-optic modulator with 30 GHz bandwidth. Nat. Photonics 2015, 9, 511–514. [Google Scholar] [CrossRef]
- Nezamdoost, H.; Nikoufard, M.; Saghaei, H. Graphene-based hybrid plasmonic optical electro-absorption modulator on InP platform. Opt. Quantum Electron. 2024, 56, 482. [Google Scholar] [CrossRef]
- Eid, M.M.A.; Rashed, A.N.Z.; Sorathiya, V.; Lavadiya, S.; Habib, M.A.; Amiri, I.S. GaAs electro-optic absorption modulators performance evaluation, under high-temperature variations. J. Opt. Commun. 2025, 45, s359–s368. [Google Scholar] [CrossRef]






| Material | Refractive Index | Work Function (eV) |
|---|---|---|
| a-Si:H | 3.57 | 4.15 |
| c-Si | 3.47 | 4.15 |
| h-BN | 1.98 | 4.6 |
| HfO2 | 1.87 | 2.9 |
| SiO2 | 1.44 | 0.95 |
| Parameter | Description | Best Position |
|---|---|---|
| h1 | a-Si:H thickness | 105 nm |
| h2 | c-Si thickness | 106 nm |
| hb | h-BN thickness | 0.33–2.31 nm |
| hf | HfO2 thickness | 2–8 nm |
| Ref | MD (dB/µm) | Type | Wavelength (nm) | Size (µm × µm) | Structure | BW (GHz) | ER (dB) | Mode | Year |
|---|---|---|---|---|---|---|---|---|---|
| This work | 0.34 | EA | 1550 | 50 × 0.5 | Double-layer graphene, h-BN–HfO2–h-BN | 39.5 | 3.17 | TE | 2025 |
| [6] | 0.037 | EA | 1550 | 60 × 0.45 | Double-layer graphene | 39 | 4.4 | TM | 2021 |
| [12] | 0.137 | EA | 1550 | 120 × 0.65 | SOI waveguide (air-clad, DLG, 20 nm SiN spacer) | 29 | 1.7 | TE | 2019 |
| [11] | 0.165 | EA | 1550 | 1.2 × 18.09 | Double-stripe Si3N4 | 30.6 | - | TE/TM | 2017 |
| [31] | 28 dB | EO | 1555 | 1 × 0.3 | Graphene on Si3N4 waveguide ring resonator | 30 | - | TE | 2015 |
| [9] | 0.16 | EA | 1537 | 40 × 2 | Double-layer graphene optical modulator | 1 | - | TE/TM | 2011 |
| [32] | 0.2–0.3 | EA | 1550 | ~1 × <1 | Hybrid plasmonic ridge waveguide | 70 | 35 | - | 2024 |
| [33] | 15 dB | EA | 1300 | 50 × 5 | GaAs | 2.5 | - | TE | 2025 |
Disclaimer/Publisher’s Note: The statements, opinions and data contained in all publications are solely those of the individual author(s) and contributor(s) and not of MDPI and/or the editor(s). MDPI and/or the editor(s) disclaim responsibility for any injury to people or property resulting from any ideas, methods, instructions or products referred to in the content. |
© 2025 by the authors. Licensee MDPI, Basel, Switzerland. This article is an open access article distributed under the terms and conditions of the Creative Commons Attribution (CC BY) license (https://creativecommons.org/licenses/by/4.0/).
Share and Cite
Hashemi, B.; Rao, S.; Casalino, M.; Della Corte, F.G. Design of a High-Efficiency Hydrogenated Amorphous Silicon Electro-Absorption Modulator with Embedded Graphene Capacitor. Photonics 2025, 12, 916. https://doi.org/10.3390/photonics12090916
Hashemi B, Rao S, Casalino M, Della Corte FG. Design of a High-Efficiency Hydrogenated Amorphous Silicon Electro-Absorption Modulator with Embedded Graphene Capacitor. Photonics. 2025; 12(9):916. https://doi.org/10.3390/photonics12090916
Chicago/Turabian StyleHashemi, Babak, Sandro Rao, Maurizio Casalino, and Francesco Giuseppe Della Corte. 2025. "Design of a High-Efficiency Hydrogenated Amorphous Silicon Electro-Absorption Modulator with Embedded Graphene Capacitor" Photonics 12, no. 9: 916. https://doi.org/10.3390/photonics12090916
APA StyleHashemi, B., Rao, S., Casalino, M., & Della Corte, F. G. (2025). Design of a High-Efficiency Hydrogenated Amorphous Silicon Electro-Absorption Modulator with Embedded Graphene Capacitor. Photonics, 12(9), 916. https://doi.org/10.3390/photonics12090916

