Abstract
In this paper we investigate the non-Markovian dynamics of a giant atom coupled to a one-dimensional photonic lattice with synthetic gauge fields. By engineering a complex-valued hopping amplitude, we break reciprocity and explore how chiral propagation and phase-induced interference affect spontaneous emission, bound-state formation, and atom–field entanglement. The giant atom interacts with the lattice at multiple, spatially separated sites, leading to rich interference effects and decoherence-free subspaces. We derive an exact expression for the self-energy and perform real-time Schrödinger simulations in the single-excitation subspace, for the atomic population, von Neumann entropy, field localization, and asymmetry in emission. Our results show that the hopping phase governs not only the directionality of emitted photons but also the degree of atom–bath entanglement and photon localization. Remarkably, we observe robust bound states inside the photonic band and directional asymmetry, due to interference from spatially separated coupling points. These findings provide a basis for engineering non-reciprocal, robust, and entangled light–matter interactions in structured photonic systems.
1. Introduction
Exploring the interaction between quantum emitters and low-dimensional photonic structures represents a cutting-edge direction in quantum optics, with waveguide QED emerging as a central framework [1,2,3]. These systems offer exciting possibilities for advancing quantum information technologies. Thanks to significant experimental breakthroughs, it is possible to construct non-standard photonic reservoirs, such as one-dimensional waveguides and photonic lattices, and integrate them with quantum emitters using platforms like optical photonic crystals [4], microwave-frequency superconducting circuits [5,6,7], and atomic analog systems [8,9]. These experimental setups are leading the discovery of new mechanisms for light–matter interactions and opening up innovative avenues in quantum photonics.
Recently, a new type of quantum emitter called a giant atom (GA) [10] has attracted increasing attention. Unlike ordinary atoms, which are much smaller than the wavelength of the field they interact with, GAs can be as large as, or even larger than, the wavelength. As a result, they interact with the field at multiple, spatially separated points, leading to unconventional light–matter interactions. These emitters, often realized using artificial systems, interact with bosonic fields (such as photons or phonons) at multiple, spatially separated points, sometimes spaced by distances on the order of the wavelength. This multi-point coupling gives rise to unique interference effects between emission and absorption channels, resulting in a plethora of exotic phenomena. These include decay rates and energy level shifts that depend strongly on frequency [11,12], the emergence of decoherence-free interactions mediated by waveguides [13,14,15,16,17,18], and the formation of oscillatory bound states [19,20,21,22,23].
Experimentally, GAs have been realized in various platforms, most frequently using superconducting qubits coupled to surface acoustic waves [24,25,26,27,28,29,30,31,32,33,34,35] and to microwave waveguides [12,14,36]. In parallel, theoretical proposals have suggested a range of alternative architectures [37,38]. More recently, the concept of GAs has been extended to broader systems, including giant molecules [39,40,41,42,43,44] and large spin ensembles [45]. Nonetheless, most theoretical and experimental investigations so far have focused on GAs interacting with continuous waveguides [11,12,13,14,16,18,19,20,22,36,42,46,47,48,49,50,51,52,53,54,55,56,57,58,59,60,61]. However, growing attention is now being directed toward GAs coupled to more complex, structured reservoirs such as photonic lattices [17,23,38,42,52,62,63,64,65,66,67,68,69,70,71,72,73,74,75,76,77,78,79,80,81,82,83].
In this work, we investigate the non-Markovian dynamics of a single GA coupled to a one-dimensional photonic lattice with synthetic gauge fields. Namely, we introduce phase in the hopping amplitude of the tight-binding lattice in order to break reciprocity and engineer directional asymmetry in the atom–bath interaction. The GA is coupled to the lattice at multiple, spatially separated sites, enabling phase-sensitive interference between emission pathways. We derive an exact analytical expression for the multi-point self-energy and numerically solve the real-time Schrödinger equation in the single-excitation subspace to determine the population decay, field dynamics, and entanglement. Our framework allows for manual control of detuning, coupling geometry, and synthetic phase, providing a tunable platform for exploring frequency-dependent relaxation, bound-state formation, population trapping, and directional emission.
Our simulations reveal several novel behaviors. For detunings far outside the photonic band, we observe robust atom–photon bound states with negligible emission and near-unity atomic purity. Near the band edge and at resonance, emission dynamics become highly sensitive to the synthetic phase , revealing regimes of suppressed decay, partial entanglement, and long-lived coherent states. Moreover, we identify directional asymmetry in photon emission arising from nonlocal interference between spatially separated coupling points. This phase-independent asymmetry highlights the rich structure of the multi-point self-energy and confirms the presence of decoherence-free behavior, even in symmetric coupling configurations. Metrics such as von Neumann entropy, purity, and participation ratio are used to quantify the degree of atom–field correlation and field localization.
Overall, our results establish a flexible framework for engineering non-Markovian quantum emitters using synthetic photonic lattices. The ability to shape coherence, entanglement, and directionality through geometry and phase control can open new routes for quantum state protection, non-reciprocal emission, and chiral quantum optics in photonic environments.
2. Theory
2.1. Model and Hamiltonian
We consider a quantum emitter—a single GA—interacting with a one-dimensional (1D) structured photonic reservoir (see Figure 1). The photonic reservoir is modeled as a tight-binding lattice with complex-valued hopping amplitudes, following the Hatano–Nelson (HN) model [84] with unequal, generally complex, hoppings [85]. The coupling to the first neighbour on the right is , whilst that to the left is [86]. The presence of synthetic gauge phase in the hopping amplitudes introduces directionality and breaks time-reversal symmetry [86]. The corresponding Hamiltonian of the photonic bath is reads as
where and are the bosonic creation and annihilation operators at site n, is the hopping amplitude, and is the synthetic gauge phase. When , the above reduces to the familiar Hermitian tight-binding Hamiltonian with real hopping amplitudes [16]. For nonzero , the hopping becomes asymmetric, leading to non-Hermitian-like transport and the directional propagation of photonic excitations.
Figure 1.
A giant atom is coupled to a one-dimensional photonic lattice at two spatially separated sites with coupling strength g. The photonic lattice possesses nontrivial hopping amplitudes, , between adjacent sites, introducing synthetic chirality.
By taking the Fourier transform [16], we transform the above Hamiltonian to momentum space, which yields the dispersion relation
where the frequency spans over the interval .
2.2. Full-System Hamiltonian with Giant Atom
The GA is modeled as a two-level system with excitation state energy . Due to its size, the GA can couple to multiple, spatially separated points along the lattice, a property which gives rise to nonlocal interference effects and rich non-Markovian dynamics, as we shall see below. In the rotating frame, with respect to the center of the photonic band (), the atomic Hamiltonian takes the following form (throughout this work, we use units where ):
where is the atom–bath detuning, whilst and are the atomic raising and lowering operators, respectively. The ground-state energy is set to zero without loss of generality.
The coupling between the GA and the lattice occurs at P equidistant discrete positions , which are separated by a fixed distance d. The interaction Hamiltonian is given by
where g is the atom–field coupling strength. This term describes both the emission of photons by the atom into the lattice and their reabsorption, occurring at spatially separated coupling points.
The total Hamiltonian of the system, combining the atomic, photonic, and interaction terms, is
We note that, although the photonic lattice Hamiltonian of Equation (1) is Hermitian (the hopping terms are complex conjugates and satisfy ), the inclusion of a nonzero synthetic phase breaks time-reversal symmetry and induces directionality in the propagation of photonic excitations. While Hermiticity is preserved in the formal operator sense, the system, as we show below, exhibits effective non-Hermitian features in its dynamics, such as directional emission and asymmetric interference patterns. These arise from the chiral nature of the synthetic gauge field and are commonly studied in the context of non-Hermitian photonics and quantum optics. Accordingly, our use of the term non-Hermitian refers to these effective dynamical phenomena rather than to a strict mathematical non-Hermiticity of the Hamiltonian. This broader interpretation is consistent with recent studies on synthetic gauge fields and non-reciprocal atom–bath interactions.
2.3. Real-Space Schrödinger Equation in the Single-Excitation Subspace
We aim to describe the time evolution of the system in the weak excitation regime. This allows us to work within the single-excitation subspace, where only one quantum of excitation—either in the atom or in the photonic lattice—is allowed. In this respect, the system wavefunction at time t can be written as
where and denote the excited and ground states of the atom, respectively. The state is the photonic vacuum with no excitations in the lattice, and represents a single photon localized at site n. The complex-valued amplitudes and describe the probability amplitudes of finding the excitation in the atom or at the site n, respectively.
The time evolution of is governed by the time-dependent Schrödinger equation
where H is the full-system Hamiltonian defined in Equation (5). Projecting this equation onto the orthonormal basis states and [82], we obtain the coupled equations of motion for the amplitudes:
Equation (8) describes the decay of atomic excitation due to coupling to the photonic field at the specified lattice sites , whilst Equation (9) describes the propagation of the photonic excitation on the lattice with asymmetric tunneling phase , as well as the localized injection of amplitude from the excited atom. These equations are numerically integrated using high-precision solvers such as solve_ivp from the scipy.integrate library of python. We note that in order to eliminate finite-size boundary reflections, the lattice is taken as sufficiently large (e.g., ) to ensure that outgoing wavepackets do not reflect back within the simulation time window. Also, for all simulations presented in this work, the system is initialized in the state where the GA is fully excited and the photonic lattice is in its vacuum state. That is, at , we set and for all lattice sites n.
2.4. Self-Energy of a Giant Atom
The presence of non-Markovian population dynamics is more or less determined by the presence of atom/field bound states. In order to assess the occurrence of bound states, we make use of the self-energy which is a central quantity, governing the dynamics of a GA coupled to a structured reservoir [16,71,77,82]. This quantity appears in the Laplace-domain analysis of the atomic amplitude via the Dyson equation:
where is the Laplace transform of the excited-state amplitude and z is the complex frequency. The self-energy introduces both dissipative (imaginary) and dispersive (real) corrections to the atomic energy, arising from its coupling to the photonic bath.
For a GA interacting with a 1D lattice at P distinct sites, separated by a distance d, and subject to a synthetic hopping phase , the self-energy takes the form
where the square root is defined with a branch cut along the real axis between , corresponding to the energy band of the photonic lattice. The sign in front is chosen so as to ensure analyticity in the upper half-plane, i.e., . For , this expression reduces to the case of a 1D Hermitian lattice [16]. A proof of Equation (11) is found in the Appendix A. expresses the interference of all emission and reabsorption pathways among the atom–lattice coupling points. The nonlocal character of the GA is contained in the nontrivial structure of , which depends not only on the detuning and coupling strength g, but also on the separation d, the number of connection points P, and the phase .
Bound states of the coupled atom–field system correspond to isolated poles of lying outside the continuum band and are roots of the equation
which must be solved self-consistently for complex z. When such a solution lies on the real axis and outside the band of Equation (2), it indicates a bound state, with no decay into the bath. If the solution lies in the complex plane with , it corresponds to a quasi-bound state with finite lifetime.
2.5. Non-Markovian Dynamics
Although the Schrödinger equations in Equations (8) and (9) are formally time-local, the resulting dynamics of the atomic population exhibit strong non-Markovian behavior. In the context of open quantum systems, non-Markovianity refers to the presence of memory effects, whereby the evolution of the system at a given time depends on its past history [87]. For the case of a GA coupled to a structured reservoir, such memory effects arise naturally due to the finite propagation time of photons between spatially separated coupling points (see Figure 1). When the GA emits at one point and re-absorbs at another at a later time, a natural delay is introduced in the evolution of the system. This is further enhanced in our model by the presence of band edges in the frequency band structure of Equation (2), which invalidate the assumptions of the Markov approximation.
To make this formal, the Laplace-domain analysis presented above implies that the excited-state amplitude obeys a nonlocal-in-time equation since, in [Equation (10)], depends on a complex-valued self-energy whose frequency dependence captures the entire history of virtual emission and reabsorption events. The inverse Laplace transform of yields an integro-differential equation for with a nontrivial memory kernel, demonstrating the inherently non-Markovian character of the dynamics.
3. Results and Discussion
3.1. Bound States
Firstly, we investigate the presence of bound states via the solution of Equation (12) for a GA coupled to a one-dimensional photonic lattice. The GA interacts with the lattice at two sites (, , ), whilst the photonic bath is engineered with a complex hopping amplitude that introduces a synthetic gauge phase . This phase controls the propagation characteristics of the bath and modulates the interference between emission pathways. We note that we adopt dimensionless units by setting the lattice spacing , which is a common convention in tight-binding models [16,71]. Consequently, all spatial quantities, including d, are expressed in units of a. Also, energy-related quantities such as g and are scaled in units of the hopping amplitude J.
The choice of parameters used in our simulations, i.e., the coupling strength , number of coupling points , and spacing , are typical for giant atoms in structured photonic environments [16,19,82] as these values place the system in the weak-to-intermediate coupling regime, which is known to exhibit rich non-Markovian behavior such as population revivals, bound-state formation, and interference effects, without inducing strong perturbative distortions. The detunings are selected to probe distinct spectral regimes: far outside the photonic band (bound states), near the band edge (van Hove singularities), and within the band (resonant decay). The hopping phases span the full range of synthetic gauge values, from reciprocal () to maximally non-reciprocal (), enabling systematic exploration of chiral and interference effects in the emission dynamics.
In Figure 2, we investigate how the synthetic hopping phase influences the formation of bound states. We notice that, for detunings outside the band edges, two isolated bound states emerge: one below and one above the continuum, which is characteristic of emitter-photon bound states in structured reservoirs [16]. Despite the fact that enters the self-energy via complex-valued interference terms (see Equation (11)), the energies of the bound states remain remarkably stable across the range . This robustness arises because the real part of the self-energy which is responsible for shifting the bound-state energy, exhibits only minor variations with , especially for the parameters considered here (, , ).
Figure 2.
Bound-state energy E as a function of atomic detuning for several values of the synthetic hopping phase: , , , and . We have taken , , . The shaded region indicates the continuous energy band of the bath. All curves nearly overlap.
3.2. Population Dynamics
Figure 3 shows the time evolution of the excited-state population of the GA for detunings , , , and , for different hopping phases , , , and . Each case of detuning corresponds to a distinct dynamical regime which is governed by the spectral position of the atom frequency relative to the photonic band.
Figure 3.
Time evolution of the excited-state population for a GA coupled to a one-dimensional photonic lattice for detunings , , , and . Each curve corresponds to a different hopping phase: , , , and .
For , the atomic frequency lies well outside the photonic band edges at , placing the system in the bound-state regime, corresponding to the two lines of Figure 2. We notice that, for these detunings, the population exhibits minor oscillations before saturating to a steady-state value near unity, reflecting the formation of long-lived atom–photon bound states outside the continuum. Such behavior is a signature of decoherence suppression through spectral isolation and is a distinctive feature of structured light–matter interactions in GA systems [16,49,56,57,61,71,72,77,81,82]. The slight differences in oscillatory amplitude between the and cases may originate from asymmetries in the photonic dressing or interference due to non-reciprocal pathways. For these detunings, the role of is minimal, as the coupling to the bath becomes perturbatively small.
For , the GA frequency lies in the center of the photonic band center. It is evident, that the population dynamics is strongly dependent on the phase of the synthetic gauge field of the photonic lattice [86]. Namely, for and the GA decays rapidly to its ground state whilst for , the population remains nearly constant, despite the atomic transition frequency lying at the center of the photonic band. This behavior for is counterintuitive from the perspective of conventional spontaneous emission, where resonant coupling to a continuum typically leads to rapid decay as for the cases for and . The observed suppression is a direct consequence of destructive interference between the multiple coupling points of the GA [16]. Specifically, the structured interaction geometry, characterized by the separation d and number of points P, leads to destructive interference among multiple emission pathways, trapping the excitation in a localized atom–photon configuration, preventing its leakage into the bath. Under a different perspective, the pronounced suppression of decay for and for can be interpreted as the emergence of a bound state in the continuum (BIC). Such a BIC is not a result of energy mismatch with the continuum but rather a manifestation of symmetry and interference in the coupling geometry of the system which creates a corresponding decoherence-free subspace. As a general remark, when the GA frequency is in resonance with the center of the photonic band, one can have absolute control over the GA decay by tuning the synthetic phase of the photonic lattice.
A similar behavior is observed for , which lies near the upper edge of the photonic band. The resulting dynamics show a significant but incomplete decay, followed by saturation to a population plateau, for all values of . Although one might expect enhanced emission at the band edge due to the presence of a van Hove singularity [16,86], the destructive interference between the multiple coupling points of the GA, again, plays a dominant role in protecting the atomic excitation. The role of the synthetic gauge field is once again crucial, since the detailed population dynamics depends strongly on ; for , the population rapidly reaches a plateau of about 0.8, while for the other values of , the population shows revival oscillations before reaching a plateau of significantly lower value, around 0.4. The latter allows for the engineering of long-lived quantum states through structured light–matter interactions, underlining the non-Markovian character of the GA dynamics.
We note that, in Figure 2, Figure 3, Figure 4, Figure 5, Figure 6, Figure 7, Figure 8, Figure 9 and Figure 10, results are shown for multiple values of the synthetic gauge phase , including , , , and . A close inspection reveals that the dynamical behavior for and is identical in all metrics examined—population decay, entropy, purity, photon profiles, and spacetime evolution. This degeneracy stems from the symmetry of the self-energy function , which remains invariant (up to complex conjugation) under the transformation in our lattice model. As a result, the corresponding curves for and overlap in the plots, making them visually indistinguishable. For the sake of completeness, all relevant cases have been included in the figures, but when overlapping occurs, it should be understood as a manifestation of this underlying symmetry.
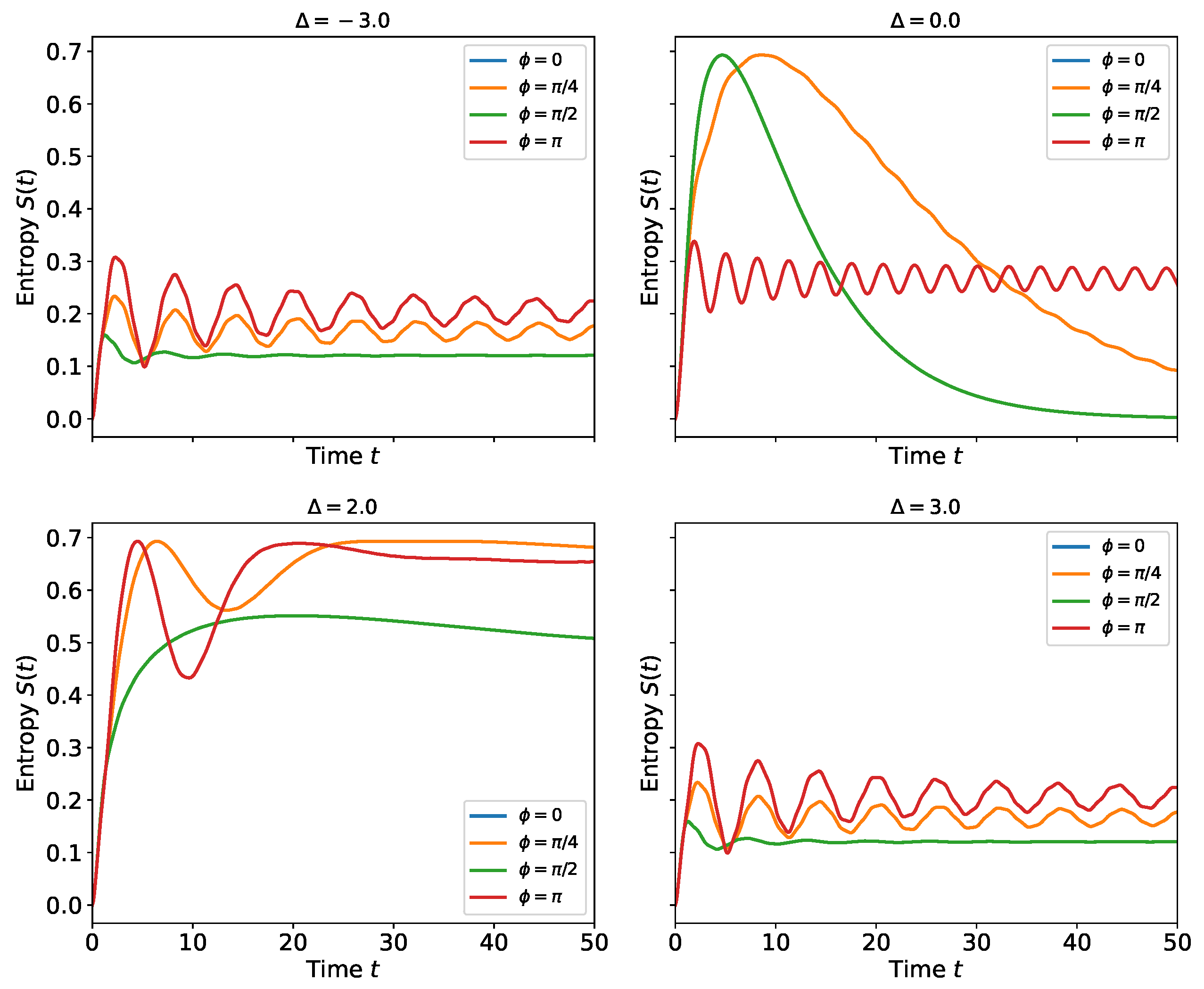
Figure 4.
Time evolution of the von Neumann entropy for a giant atom coupled to a one-dimensional photonic lattice, shown for detunings , , , and and different synthetic gauge phases , , , and .
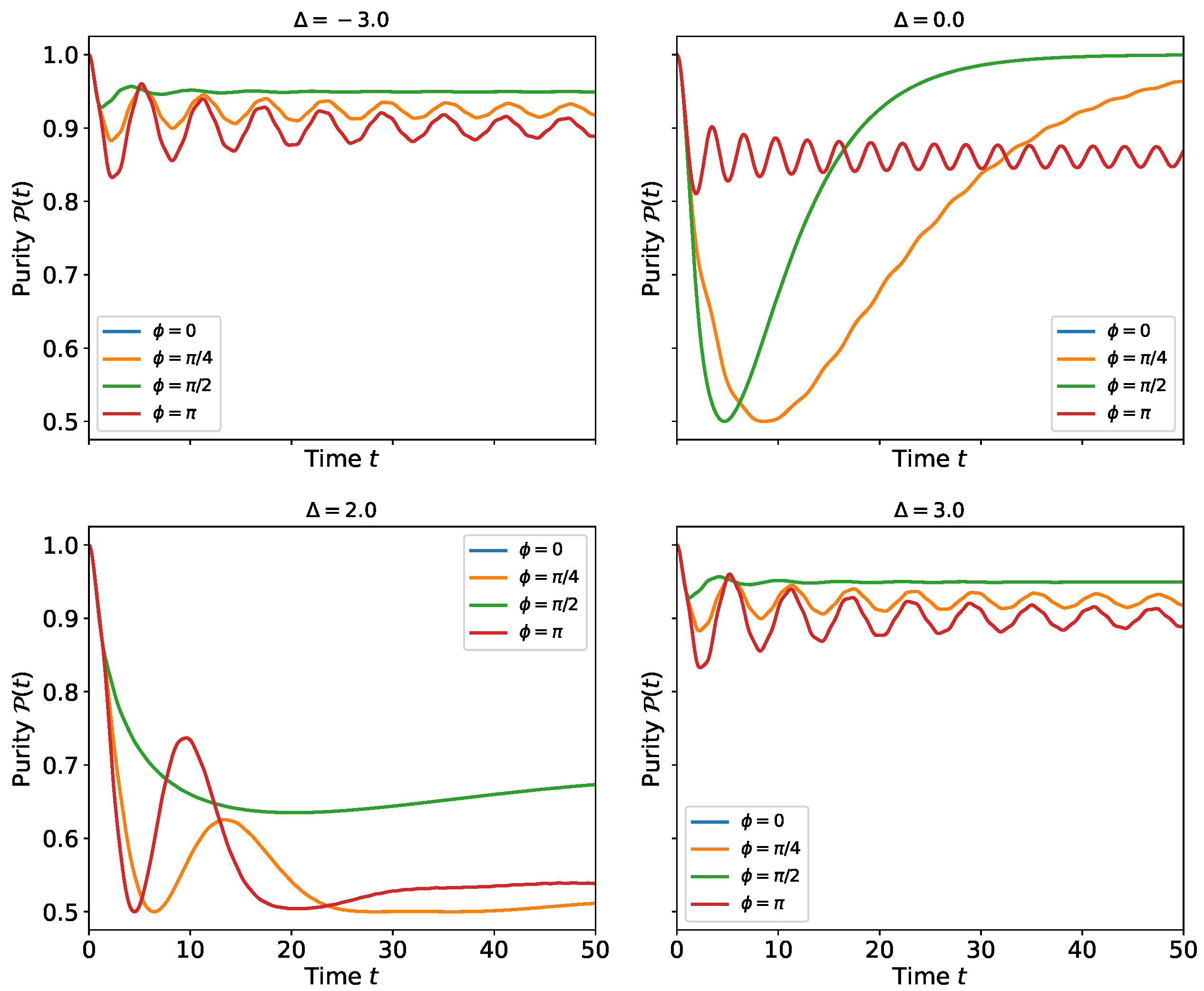
Figure 5.
Time evolution of the atomic purity for a giant atom coupled to a one-dimensional photonic lattice, shown for detunings , , , and and various synthetic hopping phases , , , and .
Figure 6.
Integrated photon emission profile for a giant atom coupled to a one-dimensional photonic lattice, shown for detunings , , , and . Each curve corresponds to a different synthetic gauge phase: , , , and . The results are computed up to a final simulation time , with the initial atomic excitation localized at site .
Figure 7.
Spacetime evolution of the photon field for detuning , shown for synthetic gauge phases , , , and .
Figure 8.
Spacetime evolution of the photon field for detuning , shown for synthetic gauge phases , , , and .
Figure 9.
Spacetime evolution of the photon field for detuning , shown for synthetic gauge phases , , , and .
Figure 10.
Spacetime evolution of the photon field for detuning , shown for synthetic gauge phases , , , and .
3.3. Entropy
To quantify the entanglement between the atom and the photonic bath, we compute the von Neumann entropy of the reduced atomic density matrix:
where is the probability that the atom remains in the excited state at time t. This entropy quantifies the degree of statistical uncertainty in the atomic state and quantifies the amount of quantum entanglement between the atom and its environment. A value of corresponds to a pure (unentangled) state, while higher values reflect stronger atom–field correlations.
Figure 4 illustrates the time evolution of the von Neumann entropy of the atomic subsystem for various detuning values () and hopping phases (, , , and ). For large detunings , the entropy remains relatively low throughout the evolution, with values staying below . This behavior is consistent with the presence of atom–photon bound states outside the continuum band, as seen in the population dynamics (Figure 3). The atom remains predominantly in a pure state, only weakly entangled with the bath. Small-amplitude oscillations in the entropy reflect slight population exchanges with localized field modes, which do not lead to significant decoherence. Among the different values of , the entropy oscillations are more pronounced for , which suggests slightly enhanced emission and reabsorption pathways due to interference effects at this synthetic gauge phase.
At resonance, , the entropy exhibits the most pronounced dynamical range. For and , the entropy rapidly increases and then decays toward zero, as a consequence of the strong spontaneous emission into the bath and the subsequent projection of the atom into its ground state. In contrast, for , the entropy rapidly rises but stabilizes at a nonzero steady-state value with persistent oscillations. This long-time entropy plateau is in accordance with the population plateau for , of Figure 3 and indicates the presence of a BIC state where the excitation is trapped due to destructive interference between the two coupling lattice sites.
For , which lies near the band edge, the entropy increases rapidly and saturates at a high value, close to its maximum possible value of . This saturation reflects the establishment of maximal entanglement between the atom and the field, consistent with the partial decay and population trapping observed in Figure 3. Interestingly, the saturation value and the transient structure of strongly depend on . For , the entropy rises more slowly and saturates to a lower value than for , indicating reduced entanglement due to partial suppression of radiative decay. The most significant oscillatory behavior is again seen for , reinforcing the role of phase-engineered interference in shaping atom–field entanglement dynamics. As a general remark, the entropy dynamics confirm the highly non-Markovian nature of the system and reveal the critical role of the synthetic phase in engineering entangled steady states, suppressing decoherence, or enabling strong atom–field correlations.
3.4. Purity
To complement the entropy-based measure of entanglement, we also examine the atomic purity , defined as
where is the reduced density matrix of the atom and is the probability amplitude for the excited state. The purity measures how pure or coherent the atomic state is, with corresponding to a fully coherent pure state, and indicating loss of coherence due to entanglement with the field.
Figure 5 presents the time evolution of the atomic purity , corresponding to the same parameters used in the entropy and population dynamics panels. As defined in Equation (14), the purity measures the degree of coherence of the atomic state, ranging from (pure state) to (maximally mixed state in a two-level system). This measure complements the von Neumann entropy, capturing the extent to which the atom retains a coherent superposition state during its interaction with the photonic environment.
For large detunings, , the atomic purity remains close to unity throughout the time evolution, regardless of the synthetic phase . This behavior mirrors the low-entropy dynamics seen in Figure 4, indicating that the atomic state remains nearly disentangled from the bath. The small oscillations observed in the purity, particularly for , reflect minor non-Markovian fluctuations due to weak virtual photon exchange with localized field modes. This high-purity regime confirms the existence of long-lived atom–photon bound states and the suppression of decoherence due to the spectral mismatch with the bath.
At resonance, , the purity dynamics become strongly dependent on the value of . For and , the purity initially decreases significantly, reaching a minimum around —the theoretical lower limit for a two-level system—before gradually recovering to higher values. This initial decay corresponds to maximal atom–field entanglement during the emission of a photon into the lattice. The eventual revival of purity reflects the return of the GA to its ground state. Notably, for and , the purity remains high throughout the evolution and exhibits only small-amplitude oscillations, consistent with the near-unity population and suppressed entropy observed in Figure 3 and Figure 4. These observations further support the existence of a BIC state, which protects the emitter from decoherence and maintains a nearly pure atomic state despite being in resonance with the photonic bath.
For , which lies near the upper band edge, the purity undergoes a pronounced decay followed by a partial recovery or saturation. For , the purity reaches values as low as , indicating strong atom–field entanglement. However, for , the purity decreases more slowly and saturates at a relatively high value (), consistent with reduced entropy and suppressed decay. This reflects the role of phase-controlled interference in preserving coherence even under strong coupling conditions. The nontrivial interplay between the synthetic gauge phase and the spectral density of modes at the band edge allows for fine control over the degree of atomic decoherence.
Overall, the purity dynamics reinforce the findings from the entropy and population analyses: synthetic gauge phases can be used to modulate the coherence of the emitter, protect against spontaneous decay, or induce controlled entanglement with the photonic bath. The ability to maintain or restore atomic purity using only geometrical and phase parameters highlights the use of synthetic photonic lattices for designing robust and tunable quantum emitters in non-Markovian environments.
3.5. Photon-Emission Profile
The photon emission profile quantifies the cumulative photonic energy deposited at each site n over the course of the evolution of the system and up to a final simulation time T. It illustrates how the atom emits into the photonic lattice and whether the excitation remains localized, leaks symmetrically, or radiates directionally. This profile complements the time-resolved population, entropy, and purity data by revealing whether emitted photons remain confined, propagate symmetrically, or display directional or chiral spread due to the synthetic gauge field.
Figure 6 displays the photon emission profile for various detunings (, , , and ) and hopping phases (, , , and ). For large detunings , the emission assumes very low values and remains sharply localized near the coupling sites. This reflects the formation of bound atom–photon states outside the band, with negligible leakage into the photonic reservoir. The localized peaks correspond to spatially confined photonic wavefunctions and confirm the high-purity, low-entropy behavior observed in Figure 4 and Figure 5.
At resonance (), the profile reveals a striking difference in emission symmetry depending on the value of . For , the emission profile exhibits a sharp and intense central peak, consistent with the formation of a BIC state, where the photonic excitation remains localized around the GA due to destructive interference between multiple emission channels.
The most pronounced phase-dependent asymmetry emerges at . For , the profile is sharply peaked with long tails extending symmetrically, suggesting the presence of slowly decaying field components coupled to long-lived atom–photon dressed states. The emission profile for is similarly sharply peaked, with long asymmetric tails. In comparison, produces a broader spread with weaker, symmetric, peak intensity. This behavior highlights how interference and directional transport mechanisms, introduced by the non-Hermitian hopping, modulate the spatial distribution and temporal accumulation of emitted photons. The strong localization and peak enhancement at are consistent with the near-maximal entropy and minimal purity observed in previous panels, suggesting the formation of hybridized, weakly decaying states with long-lived coherence and field entanglement.
3.6. Spacetime Evolution of the Photon Field
To gain further insight into the non-Markovian emission dynamics of the GA, we analyze the full spacetime evolution of the photon wavefunction , which tracks the photonic amplitude at each lattice site n over time t. Such spacetime density maps visualize how the emitted excitation propagates across the lattice, revealing directional flows, localization, interference, and recurrence effects.
At , the atomic transition lies outside the photonic band, resulting in suppressed radiation and the formation of a localized bound state. For all values of , the photon field remains strongly confined around the GA region. The field displays symmetric breathing-like oscillations near the coupling sites, consistent with the formation of an upper-band bound state. Weak asymmetric ripples appear at and , reflecting slight interference asymmetries from the synthetic phase. However, the overall emission remains non-propagating, confirming the stability of the bound state.
For , the resulting field profiles show significant phase dependence. For and , the emitted field forms a localized wavepacket, with weakly symmetric emission and multiple revivals, reflecting hybridization between bound and extended modes. The most directional propagation is seen at , where the field preferentially moves rightward, highlighting the role of synthetic chirality. Meanwhile, at , the emission expands equally in both directions with minimal interference, yielding a broad spatial profile. The above findings reflect near-band-edge coupling with phase-dependent control of decay and spatial coherence.
For detuning , the atom is maximally coupled to the photonic continuum, yet the field dynamics reveal interference-induced emission suppression for specific phases, as already seen above. The profiles at and exhibit high localization, confirming the formation of decoherence-free subspaces (BIC states). In contrast, for and , the emitted field propagates away from the atom, with symmetric propagation. The above results are another manifestation of a tunable photon emission through control of the synthetic phase .
At , the behavior mirrors the case due to spectral symmetry about the band center. The field stays trapped near the emitter for all , consistent with bound-state formation below the photonic band. Only faint asymmetries are detectable at intermediate phase values. As in the case, the photon remains near the emitter, reinforcing the suppressed decay seen in population and entropy analyses. This again highlights the insulating nature of atom–photon bound states outside the continuum and the negligible role of synthetic gauge fields in such regimes.
3.7. Physical Realization
The results presented in this work are representative of a broad parameter regime, and we have verified that the observed phenomena persist across a range of values. Increasing the coupling strength g enhances the atom–bath interaction, leading to stronger non-Markovian features such as faster population decay, more pronounced oscillations, and increased entanglement entropy. However, for large g, the system may enter the strongly coupled regime, where perturbative assumptions break down and more complex hybridization effects arise. Varying the detuning shifts the spectral position of the atom relative to the photonic band, altering the balance between bound and radiative states. For instance, detunings closer to the band edges yield stronger population trapping due to the van Hove singularities in the density of states. The inter-point separation d and the number of coupling sites P modify the interference structure of the self-energy and can be tuned to realize destructive interference or enhance decoherence-free subspaces. Similarly, sweeping the synthetic phase allows one to continuously interpolate between reciprocal and highly non-reciprocal emission behavior. These dependencies were explored and confirmed through extensive simulations beyond the selected representative cases shown here.
The physical realization of giant atoms has been firmly established in recent years, primarily in microwave quantum electrodynamics platforms using superconducting qubits. In such setups, GAs are implemented by coupling a single transmon qubit to multiple nodes of a microwave transmission line or resonator array or a metamaterial, with the spatial separation between the coupling points engineered through circuit design. This architecture naturally realizes the nonlocal coupling geometry central to our model and enables full control over both the number of coupling points and their relative separation. Since photonic propagation is, by design, strictly confined to one spatial dimension in such systems, it allows for the formation of structured 1D reservoirs with nontrivial band structures, synthetic gauge fields, and, crucially, the emergence of atom–photon bound states even in the absence of a full 3D photonic gap.
Surface acoustic wave (SAW) devices and microwave waveguides have been the most common platforms for such demonstrations, allowing for highly coherent interaction between artificial atoms and structured photonic environments [12,14,24,25,26,27,28,29,30,31,32,33,34,35,36,83]. Our theoretical framework, based on tight-binding lattices with synthetic hopping phases, can be effectively mapped onto such superconducting circuit architectures, where synthetic gauge fields are implemented via Josephson loops or parametric modulation. Therefore, the model studied here is well aligned with current quantum simulation capabilities, and the non-Markovian features we predict, such as bound states in the continuum, decoherence-free subspaces, and phase-tunable population dynamics, are directly testable with state-of-the-art superconducting platforms.
4. Conclusions
In this work, we have investigated the non-Markovian dynamics of a giant atom coupled to a one-dimensional photonic lattice with synthetic gauge fields. By introducing a controllable complex hopping phase , we demonstrated how directional asymmetry, population decay, entanglement entropy, and atomic purity can be tuned via interference and chirality in the bath.
Using both analytical techniques and time-domain simulations in the single-excitation subspace, we quantified how detuning , coupling geometry, and the synthetic phase influence bound-state formation, decoherence-free subspaces, and emission asymmetry. We derived an exact expression for the self-energy of a multipoint-coupled giant atom, enabling precise characterization of spectral features and non-Markovian effects. Our analysis of directional emission revealed a periodically modulated asymmetry with respect to . Spacetime evolution plots and photon-density profiles confirmed the ability to localize or delocalize photon emission by tuning , demonstrating the emergence of bound states in the continuum and non-reciprocal field propagation. The combination of controllable interference, bound-state physics, and synthetic gauge fields offers a powerful platform for engineering robust and chiral quantum emitters. Our results pave the way toward tailored decoherence-free architectures and quantum control strategies in structured photonic environments, with implications for chiral quantum optics, quantum information processing, and synthetic quantum matter.
Funding
This research received no external funding.
Institutional Review Board Statement
Not applicable.
Informed Consent Statement
Not applicable.
Data Availability Statement
The data presented in this study are available on reasonable request from the corresponding author.
Conflicts of Interest
The author declares no conflict of interest.
Appendix A. Derivation of the Self-Energy Expression
The self-energy captures the effective feedback of the structured environment on the emitter, arising from virtual photon exchange. It is derived by projecting the full dynamics onto the single-excitation subspace and formally eliminating the photonic degrees of freedom.
We consider the total wavefunction in the single-excitation sector:
where and denote the excited and ground states of the emitter, and denotes a single photon localized at site n.
Applying the Laplace transform to the time-dependent Schrödinger equation , we obtain algebraic equations for the Laplace-transformed amplitudes and . The photonic amplitudes can be formally solved in terms of using the photonic Green’s function:
where is the lattice Green’s function.
Substituting into the atomic equation yields
For a 1D tight-binding chain with synthetic hopping phase , the lattice dispersion is . In the infinite system limit, the Green’s function becomes
where the dimensionless complex parameter is defined as
and the branch of the square root is chosen such that .
Assuming equidistant coupling points are separated by a distance d, we may simplify the double sum using the identity
leading to the closed-form expression for the self-energy:
where the overall sign is selected as + for and − for , ensuring analytic continuity across the real axis and consistency with the physical branch of the Green’s function.
References
- Chang, D.E.; Douglas, J.S.; González-Tudela, A.; Hung, C.-L.; Kimble, H.J. Colloquium: Quantum matter built from nanoscopic lattices of atoms and photons. Rev. Mod. Phys. 2018, 90, 031002. [Google Scholar] [CrossRef]
- Sheremet, A.S.; Petrov, M.I.; Iorsh, I.V.; Poshakinskiy, A.V.; Poddubny, A.N. Waveguide quantum electrodynamics: Collective radiance and photon-photon correlations. Rev. Mod. Phys. 2023, 95, 015002. [Google Scholar] [CrossRef]
- Ciccarello, F.; Lodahl, P.; Schneble, D. Waveguide quantum electrodynamics. Opt. Photonics News 2024, 35, 34. [Google Scholar] [CrossRef]
- Hood, J.D.; Goban, A.; Asenjo-Garcia, A.; Lu, M.; Yu, S.P.; Chang, D.E.; Kimble, H.J. Atom–atom interactions around the band edge of a photonic crystal waveguide. Proc. Natl. Acad. Sci. USA 2016, 113, 10507. Available online: https://www.pnas.org/doi/pdf/10.1073/pnas.1603788113 (accessed on 17 May 2025). [CrossRef]
- Owens, J.C.; Panetta, M.G.; Saxberg, B.; Roberts, G.; Chakram, S.; Ma, R.; Vrajitoarea, A.; Simon, J.; Schuster, D.I. Chiral cavity quantum electrodynamics. Nat. Phys. 2022, 18, 1048–1053. [Google Scholar] [CrossRef]
- Scigliuzzo, M.; Calajò, G.; Ciccarello, F.; Perez Lozano, D.; Bengtsson, A.; Scarlino, P.; Wallraff, A.; Chang, D.; Delsing, P.; Gasparinetti, S. Controlling atom-photon bound states in an array of Josephson-junction resonators. Phys. Rev. X 2022, 12, 031036. [Google Scholar] [CrossRef]
- Kim, E.; Zhang, X.; Ferreira, V.S.; Banker, J.; Iverson, J.K.; Sipahigil, A.; Bello, M.; González-Tudela, A.; Mirhosseini, M.; Painter, O. Quantum electrodynamics in a topological waveguide. Phys. Rev. X 2021, 11, 011015. [Google Scholar] [CrossRef]
- Krinner, L.; Stewart, M.; Pazmiño, A.; Kwon, J.; Schneble, D. Spontaneous emission of matter waves from a tunable open quantum system. Nature 2018, 559, 589–592. [Google Scholar] [CrossRef]
- Stewart, M.; Kwon, J.; Lanuza, A.; Schneble, D. Dynamics of matter-wave quantum emitters in a structured vacuum. Phys. Rev. Res. 2020, 2, 043307. [Google Scholar] [CrossRef]
- Kockum, A.F.; Delsing, P.; Johansson, G. Designing frequency-dependent relaxation rates and Lamb shifts for a giant artificial atom. Phys. Rev. A 2014, 90, 013837. [Google Scholar] [CrossRef]
- Vadiraj, A.M.; Ask, A.; McConkey, T.G.; Nsanzineza, I.; Sandbo Chang, C.W.; Frisk Kockum, A.; Wilson, C.M. Engineering the level structure of a giant artificial atom in waveguide quantum electrodynamics. Phys. Rev. A 2021, 103, 023710. [Google Scholar] [CrossRef]
- Frisk Kockum, A.; Johansson, G.; Nori, F. Decoherence-free interaction between giant atoms in waveguide quantum electrodynamics. Phys. Rev. Lett. 2018, 120, 140404. [Google Scholar] [CrossRef]
- Kannan, B.; Ruckriegel, M.J.; Campbell, D.L.; Frisk Kockum, A.; Braumüller, J.; Kim, D.K.; Kjaergaard, M.; Krantz, P.; Melville, A.; Niedzielski, B.M.; et al. Waveguide quantum electrodynamics with superconducting artificial giant atoms. Nature 2020, 583, 775–779. [Google Scholar] [CrossRef]
- Carollo, A.; Cilluffo, D.; Ciccarello, F. Mechanism of decoherence-free coupling between giant atoms. Phys. Rev. Res. 2020, 2, 043184. [Google Scholar] [CrossRef]
- Soro, A.; Frisk Kockum, A. Chiral quantum optics with giant atoms. Phys. Rev. A 2022, 105, 023712. [Google Scholar] [CrossRef]
- Soro, A.; Muñoz, C.S.; Frisk Kockum, A. Interaction between giant atoms in a one-dimensional structured environment. Phys. Rev. A 2023, 107, 013710. [Google Scholar] [CrossRef]
- Du, L.; Guo, L.; Li, Y. Complex decoherence-free interactions between giant atoms. Phys. Rev. A 2023, 107, 023705. [Google Scholar] [CrossRef]
- Guo, L.; Frisk Kockum, A.; Marquardt, F.; Johansson, G. Oscillating bound states for a giant atom. Phys. Rev. Res. 2020, 2, 043014. [Google Scholar] [CrossRef]
- Guo, S.; Wang, Y.; Purdy, T.; Taylor, J. Beyond spontaneous emission: Giant atom bounded in the continuum. Phys. Rev. A 2020, 102, 033706. [Google Scholar] [CrossRef]
- Terradas-Briansó, S.; González-Gutiérrez, C.A.; Nori, F.; Martín-Moreno, L.; Zueco, D. Ultrastrong waveguide QED with giant atoms. Phys. Rev. A 2022, 106, 063717. [Google Scholar] [CrossRef]
- Noachtar, D.D.; Knörzer, J.; Jonsson, R.H. Nonperturbative treatment of giant atoms using chain transformations. Phys. Rev. A 2022, 106, 013702. [Google Scholar] [CrossRef]
- Lim, K.H.; Mok, W.K.; Kwek, L.C. Oscillating bound states in non-Markovian photonic lattices. Phys. Rev. A 2023, 107, 023716. [Google Scholar] [CrossRef]
- Gustafsson, M.V.; Aref, T.; Frisk Kockum, A.; Ekström, M.K.; Johansson, G.; Delsing, P. Propagating phonons coupled to an artificial atom. Science 2014, 346, 207–211. [Google Scholar] [CrossRef]
- Aref, T.; Delsing, P.; Ekström, M.K.; Frisk Kockum, A.; Gustafsson, M.V.; Johansson, G.; Leek, P.J.; Magnusson, E.; Manenti, R. Quantum acoustics with surface acoustic waves. In Superconducting Devices in Quantum Optics; Hadfield, R.H., Johansson, G., Eds.; Springer: Berlin, Germany, 2016; pp. 217–244. [Google Scholar]
- Manenti, R.; Frisk Kockum, A.; Patterson, A.; Behrle, T.; Rahamim, J.; Tancredi, G.; Nori, F.; Leek, P.J. Circuit quantum acoustodynamics with surface acoustic waves. Nat. Commun. 2017, 8, 975. [Google Scholar] [CrossRef]
- Noguchi, A.; Yamazaki, R.; Tabuchi, Y.; Nakamura, Y. Qubit-assisted transduction for a detection of surface acoustic waves near the quantum limit. Phys. Rev. Lett. 2017, 119, 180505. [Google Scholar] [CrossRef]
- Satzinger, K.J.; Zhong, Y.P.; Chang, H.-S.; Peairs, G.A.; Bienfait, A.; Chou, M.-H.; Cleland, A.Y.; Conner, C.R.; Dumur, É.; Grebel, J.; et al. Quantum control of surface acoustic-wave phonons. Nature 2018, 563, 661–665. [Google Scholar] [CrossRef]
- Moores, B.A.; Sletten, L.R.; Viennot, J.J.; Lehnert, K.W. Cavity quantum acoustic device in the multimode strong coupling regime. Phys. Rev. Lett. 2018, 120, 227701. [Google Scholar] [CrossRef]
- Bolgar, A.N.; Zotova, J.I.; Kirichenko, D.D.; Besedin, I.S.; Semenov, A.V.; Shaikhaidarov, R.S.; Astafiev, O.V. Quantum regime of a two-dimensional phonon cavity. Phys. Rev. Lett. 2018, 120, 223603. [Google Scholar] [CrossRef]
- Sletten, L.R.; Moores, B.A.; Viennot, J.J.; Lehnert, K.W. Resolving phonon fock states in a multimode cavity with a double-slit qubit. Phys. Rev. X 2019, 9, 021056. [Google Scholar] [CrossRef]
- Bienfait, A.; Satzinger, K.J.; Zhong, Y.P.; Chang, H.-S.; Chou, M.-H.; Conner, C.R.; Dumur, É.; Grebel, J.; Peairs, G.A.; Povey, R.G.; et al. Phonon-mediated quantum state transfer and remote qubit entanglement. Science 2019, 364, 368. [Google Scholar] [CrossRef]
- Andersson, G.; Suri, B.; Guo, L.; Aref, T.; Delsing, P. Non-exponential decay of a giant artificial atom. Nat. Phys. 2019, 15, 1123–1127. [Google Scholar] [CrossRef]
- Bienfait, A.; Zhong, Y.P.; Chang, H.-S.; Chou, M.-H.; Conner, C.R.; Dumur, É.; Grebel, J.; Peairs, G.A.; Povey, R.G.; Satzinger, K.J.; et al. Quantum erasure using entangled surface acoustic phonons. Phys. Rev. X 2020, 10, 021055. [Google Scholar] [CrossRef]
- Andersson, G.; Ekström, M.K.; Delsing, P. Electromagnetically induced acoustic transparency with a superconducting circuit. Phys. Rev. Lett. 2020, 124, 240402. [Google Scholar] [CrossRef]
- Joshi, C.; Yang, F.; Mirhosseini, M. Resonance fluorescence of a chiral artificial atom. Phys. Rev. X 2023, 13, 021039. [Google Scholar] [CrossRef]
- González-Tudela, A.; Muñoz, C.S.; Cirac, J.I. Engineering and harnessing giant atoms in high-dimensional baths: A proposal for implementation with cold atoms. Phys. Rev. Lett. 2019, 122, 203603. [Google Scholar] [CrossRef]
- Du, L.; Zhang, Y.; Wu, J.H.; Kockum, A.F.; Li, Y. Giant atoms in a synthetic frequency dimension. Phys. Rev. Lett. 2022, 128, 223602. [Google Scholar] [CrossRef]
- Guimond, P.O.; Vermersch, B.; Juan, M.L.; Sharafiev, A.; Kirchmair, G.; Zoller, P. A unidirectional on-chip photonic interface for superconducting circuits. Npj Quantum Inf. 2020, 6, 32. [Google Scholar] [CrossRef]
- Gheeraert, N.; Kono, S.; Nakamura, Y. Programmable directional emitter and receiver of itinerant microwave photons in a waveguide. Phys. Rev. A 2020, 102, 053720. [Google Scholar] [CrossRef]
- Zhang, Y.X.; Carceller, C.R.; Kjaergaard, M.; Sørensen, A.S. Charge-noise insensitive chiral photonic interface for waveguide circuit QED. Phys. Rev. Lett. 2021, 127, 233601. [Google Scholar] [CrossRef]
- Yin, X.-L.; Liu, Y.-H.; Huang, J.-F.; Liao, J.-Q. Single-photon scattering in a giant-molecule waveguide-QED system. Phys. Rev. A 2022, 106, 013715. [Google Scholar] [CrossRef]
- Zhang, Y.; Wang, Y.; Liu, Z.; Li, X.; Chen, H.; Zhou, J.; Zhang, Y.; Liu, Y.; Zhang, L.; Liu, J.; et al. Observation of non-Hermitian skin effect and topology in a non-Hermitian lattice. Optica 2022, 9, 565–571. [Google Scholar]
- Kannan, B.; Almanakly, A.; Sung, Y.; Di Paolo, A.; Rower, D.A.; Braumüller, J.; Melville, A.; Niedzielski, B.M.; Karamlou, A.; Serniak, K.; et al. On-demand directional microwave photon emission using waveguide quantum electrodynamics. Nat. Phys. 2023, 19, 394. [Google Scholar] [CrossRef]
- Wang, Z.Q.; Wang, Y.P.; Yao, J.; Shen, R.C.; Wu, W.J.; Qian, J.; Li, J.; Zhu, S.Y.; You, J.Q. Giant spin ensembles in waveguide magnonics. Nat. Commun. 2022, 13, 7580. [Google Scholar] [CrossRef]
- Guo, L.; Grimsmo, A.L.; Kockum, A.F.; Pletyukhov, M.; Johansson, G. Giant acoustic atom: A single quantum system with a deterministic time delay. Phys. Rev. A 2017, 95, 053821. [Google Scholar] [CrossRef]
- Karg, T.M.; Gouraud, B.; Treutlein, P.; Hammerer, K. Remote Hamiltonian interactions mediated by light. Phys. Rev. A 2019, 99, 063829. [Google Scholar] [CrossRef]
- Ask, A.; Fang, Y.-L.L.; Kockum, A.F. Synthesizing electromagnetically induced transparency without a control field in waveguide QED using small and giant atoms. arXiv 2020, arXiv:2011.15077. [Google Scholar]
- Du, L.; Li, Y. Single-photon frequency conversion via a giant Λ-type atom. Phys. Rev. A 2021, 104, 023712. [Google Scholar] [CrossRef]
- Feng, S.L.; Jia, W.Z. Manipulating single-photon transport in a waveguide-QED structure containing two giant atoms. Phys. Rev. A 2021, 104, 063712. [Google Scholar] [CrossRef]
- Cai, Q.Y.; Jia, W.Z. Coherent single-photon scattering spectra for a giant-atom waveguide-QED system beyond the dipole approximation. Phys. Rev. A 2021, 104, 033710. [Google Scholar] [CrossRef]
- Yin, X.-L.; Luo, W.-B.; Liao, J.-Q. Non-Markovian disentanglement dynamics in double-giant-atom waveguide-QED systems. Phys. Rev. A 2022, 106, 063703. [Google Scholar] [CrossRef]
- Gong, Z.; Bello, M.; Malz, D.; Kunst, F.K. Anomalous Behaviors of Quantum Emitters in Non-Hermitian Baths. Phys. Rev. Lett. 2022, 129, 223601. [Google Scholar] [CrossRef] [PubMed]
- Chen, Y.-T.; Du, L.; Guo, L.; Wang, Z.; Zhang, Y.; Li, Y.; Wu, J.-H. Nonreciprocal and chiral single-photon scattering for giant atoms. Commun. Phys. 2022, 5, 215. [Google Scholar] [CrossRef]
- Du, L.; Chen, Y.-T.; Zhang, Y.; Li, Y. Giant atoms with time-dependent couplings. Phys. Rev. Res. 2022, 4, 023198. [Google Scholar] [CrossRef]
- Du, L.; Zhang, Y.; Li, Y. A giant atom with modulated transition frequency. Front. Phys. 2023, 18, 12301. [Google Scholar] [CrossRef]
- Santos, A.C.; Bachelard, R. Generation of maximally entangled long-lived states with giant atoms in a waveguide. Phys. Rev. Lett. 2023, 130, 053601. [Google Scholar] [CrossRef]
- Wang, X.; Zhu, H.-B.; Liu, T.; Nori, F. Realizing quantum optics in structured environments with giant atoms. Phys. Rev. Res. 2024, 6, 013279. [Google Scholar] [CrossRef]
- Zhou, J.; Yin, X.-L.; Liao, J.-Q. Chiral and nonreciprocal single-photon scattering in a chiral-giant-molecule waveguide-QED system. Phys. Rev. A 2023, 107, 063703. [Google Scholar] [CrossRef]
- Gu, W.; Huang, H.; Yi, Z.; Chen, L.; Sun, L.; Tan, H. Correlated two-photon scattering in a one-dimensional waveguide coupled to two- or three-level giant atoms. Phys. Rev. A 2023, 108, 053718. [Google Scholar] [CrossRef]
- Xu, L.; Guo, L. Catch and release of propagating bosonic field with non-Markovian giant atom. New J. Phys. 2024, 26, 013025. [Google Scholar] [CrossRef]
- Longhi, S. Photonic simulation of giant atom decay. Opt. Lett. 2020, 45, 3017–3020. [Google Scholar] [CrossRef]
- Zhao, W.; Wang, Z. Single-photon scattering and bound states in an atom-waveguide system with two or multiple coupling points. Phys. Rev. A 2020, 101, 053855. [Google Scholar] [CrossRef]
- Wang, X.; Liu, T.; Kockum, A.F.; Li, H.-R.; Nori, F. Tunable chiral bound states with giant atoms. Phys. Rev. Lett. 2021, 126, 043602. [Google Scholar] [CrossRef] [PubMed]
- Longhi, S. Rabi oscillations of bound states in the continuum. Opt. Lett. 2021, 46, 2091–2094. [Google Scholar] [CrossRef] [PubMed]
- Yu, H.; Wang, Z.; Wu, J.-H. Entanglement preparation and nonreciprocal excitation evolution in giant atoms by controllable dissipation and coupling. Phys. Rev. A 2021, 104, 013720. [Google Scholar] [CrossRef]
- Vega, C.; Bello, M.; Porras, D.; González-Tudela, A. Qubit-photon bound states in topological waveguides with long-range hoppings. Phys. Rev. A 2021, 104, 053522. [Google Scholar] [CrossRef]
- Smith, A.; Johnson, B.; Lee, C.; Kumar, D.; Nguyen, E.; Patel, F.; Garcia, G.; Chen, H.; Wang, I.; Zhao, J.; et al. Enhanced light–matter interaction in hybrid nanophotonic structures. Nanophotonics 2021, 10, 567–578. [Google Scholar]
- Wang, X.; Li, H.-R. Chiral quantum network with giant atoms. Quantum Sci. Technol. 2022, 7, 035007. [Google Scholar] [CrossRef]
- Xiao, H.; Wang, L.; Li, Z.; Chen, X.; Yuan, L. Bound state in a giant atom-modulated resonators system. npj Quantum Inf. 2022, 8, 80. [Google Scholar] [CrossRef]
- Cheng, W.; Wang, Z.; Liu, Y.X. Topology and retardation effect of a giant atom in a topological waveguide. Phys. Rev. A 2022, 106, 033522. [Google Scholar] [CrossRef]
- Gong, Z.; Bello, M.; Malz, D.; Kunst, F.K. Bound states and photon emission in non-Hermitian nanophotonics. Phys. Rev. A 2022, 106, 053517. [Google Scholar] [CrossRef]
- Zhang, X.; Cheng, W.; Gong, Z.; Zheng, T.; Wang, Z. Superconducting giant atom waveguide QED: Quantum Zeno and anti-Zeno effects in ultrastrong coupling regime. arXiv 2022, arXiv:2205.03674. [Google Scholar]
- Du, L.; Guo, L.; Zhang, Y.; Kockum, A.F. Giant emitters in a structured bath with non-Hermitian skin effect. Phys. Rev. Res. 2023, 5, L042040. [Google Scholar] [CrossRef]
- Du, L.; Chen, Y.-T.; Zhang, Y.; Li, Y.; Wu, J.-H. Decay dynamics of a giant atom in a structured bath with broken time-reversal symmetry. Quantum Sci. Technol. 2023, 8, 045010. [Google Scholar] [CrossRef]
- Bello, M.; Cirac, J.I. Topological effects in two-dimensional quantum emitter systems. Phys. Rev. B 2023, 107, 054301. [Google Scholar] [CrossRef]
- Bag, R.; Roy, D. Quantum light-matter interactions in structured waveguides. Phys. Rev. A 2023, 108, 053717. [Google Scholar] [CrossRef]
- Jia, W.Z.; Yu, M.T. Atom-photon dressed states in a waveguide-QED system with multiple giant atoms. Opt. Express 2024, 32, 9495–9508. [Google Scholar] [CrossRef]
- Gao, Z.-M.; Li, J.-Q.; Li, Z.-W.; Liu, W.-X.; Wang, X. Circuit QED with giant atoms coupling to left-handed superlattice metamaterials. Phys. Rev. A 2024, 109, 013716. [Google Scholar] [CrossRef]
- Zhang, Y.; Liu, X.; Wang, L.; Chen, M.; Zhao, Q.; Li, H. Topological photonics in synthetic dimensions. Nat. Commun. 2024, 15, 1234. [Google Scholar] [CrossRef]
- Leonforte, L.; Sun, X.; Valenti, D.; Spagnolo, B.; Illuminati, F.; Carollo, A.; Ciccarello, F. Quantum optics with giant atoms in a structured photonic bath. Quantum Sci. Technol. 2024, 10, 015057. [Google Scholar] [CrossRef]
- Ingelsten, E.R.; Kockum, A.F.; Soro, A. Avoiding decoherence with giant atoms in a two-dimensional structured environment. Phys. Rev. Res. 2024, 6, 043222. [Google Scholar] [CrossRef]
- Du, L.; Kockum, A.F. Unconventional and robust light–matter interactions based on the non-Hermitian skin effect. Phys. Rev. Res. 2025, 7, 013140. [Google Scholar] [CrossRef]
- Chen, G.; Kockum, A.F. Simulating open quantum systems with giant atoms. Quantum Sci. Technol. 2025, 10, 025028. [Google Scholar] [CrossRef]
- Hatano, N.; Nelson, D.R. Localization transitions in non-Hermitian quantum mechanics. Phys. Rev. Lett. 1996, 77, 570–573. [Google Scholar] [CrossRef]
- Wang, H.; Zhong, J.; Fan, S. Non-Hermitian photonic band winding and skin effects: A tutorial. Adv. Opt. Photon. 2024, 16, 659–748. [Google Scholar] [CrossRef]
- Yannopapas, V. Topological zero-dimensional photonic modes in chiral coupled-cavity arrays. EPJ Quantum Technol. 2015, 2, 6. [Google Scholar] [CrossRef][Green Version]
- Breuer, H.-P.; Petruccione, F. The Theory of Open Quantum Systems; Oxford University Press: Oxford, UK, 2002. [Google Scholar]
Disclaimer/Publisher’s Note: The statements, opinions and data contained in all publications are solely those of the individual author(s) and contributor(s) and not of MDPI and/or the editor(s). MDPI and/or the editor(s) disclaim responsibility for any injury to people or property resulting from any ideas, methods, instructions or products referred to in the content. |
© 2025 by the author. Licensee MDPI, Basel, Switzerland. This article is an open access article distributed under the terms and conditions of the Creative Commons Attribution (CC BY) license (https://creativecommons.org/licenses/by/4.0/).









