Next Article in Journal
Index-Matching Two-Photon Polymerization for Enhancing Machining Accuracy of Diffractive Neural Networks
Previous Article in Journal
A Direct Measurement of the C2H2 Concentration from the C2H2–Oil Mixed Solution Using the Photoacoustic Spectroscopy Method
Previous Article in Special Issue
Alignment of Fabry–Pérot Cavities for Optomechanical Acceleration Measurements
 
 
Font Type:
Arial Georgia Verdana
Font Size:
Aa Aa Aa
Line Spacing:
Column Width:
Background:
Article

Direct and Indirect Coupling Entanglements in an Optomechanical Cavity Coupled to a Rydberg Superatom

1
College of Physics and Electronic Engineering, Hainan Normal University, Haikou 571158, China
2
School of Materials Science and Engineering, Changchun University, Changchun 130022, China
3
School of Electrical and Information Engineering, Jilin Engineering Normal University, Changchun 130062, China
*
Author to whom correspondence should be addressed.
Photonics 2025, 12(5), 472; https://doi.org/10.3390/photonics12050472
Submission received: 7 April 2025 / Revised: 9 May 2025 / Accepted: 10 May 2025 / Published: 12 May 2025

Abstract

We investigate steady-state entanglement in a hybrid optomechanical cavity coupled to a Rydberg atomic ensemble confined within a single blockade region. The ensemble behaves as one superatom due to the rigid dipole blockade effect. Through optomechanical coupling, three types of bipartite entanglement emerge among the cavity, the Rydberg superatom, and the movable mirror. As the principal quantum number of the Rydberg atoms increases (leading to reduced atomic decay rates), the direct cavity–mirror coupling entanglement is redistributed into direct cavity–superatom coupling entanglement and indirect superatom–mirror coupling entanglement. Counterintuitively, this redistribution culminates in the complete suppression of two direct coupling entanglements, leaving only the indirect coupling entanglement persistent under resonant Stokes sideband conditions. Systematic parameter tuning reveals entanglement transfer pathways and establishes the preference of the superatom–mirror entanglement for specific principal quantum numbers. Furthermore, we demonstrate the thermal robustness of the surviving entanglement up to experimentally accessible temperatures. These findings advance the understanding of quantum entanglement in hybrid quantum systems and suggest applications in quantum information processing.

1. Introduction

Due to their unique long-range interactions and long coherence times, Rydberg atoms have emerged as pivotal systems in quantum information science and quantum computing research [1,2]. These atoms exhibit remarkably strong van der Waals interactions that stem from their huge dipole moments [3,4,5,6]. Such distinctive interactions provide unprecedented capabilities for quantum control and entanglement generation. In particular, the Rydberg blockade effect, where strong interatomic interactions prevent the simultaneous excitation of multiple atoms to Rydberg states, enables the creation of collective excitations known as “superatoms” [7,8,9,10,11,12,13,14,15,16,17]. The superatom paradigm provides a platform for quantum information applications such as quantum simulation, quantum computing, and quantum communication [18,19]. Beyond facilitating coherent quantum state manipulation, the tunability of Rydberg superatoms across physical configurations reveals new opportunities in emerging domains. It shows promising prospects in cutting-edge applications such as non-linear quantum optical phenomena and photonic quantum devices [20,21,22,23,24,25].
Recently, the manipulation of quantum effects and the preparation of entanglements in cavity optomechanical systems have also attracted significant attention [26]. A typical optomechanical system involves coupling between the optical field within the cavity and the mechanical motion of a moving mirror, where radiation pressure drives the movable mirror to vibrate, leading to the formation of quantum vibrational modes [27]. When the coupling strength between the cavity mode and mechanical mode is precisely tuned, the optical field and the mechanical motion of the mirror can achieve a highly quantized coupling state, ultimately generating entangled states. Cavity optomechanical systems are of critical importance for applications in quantum precision measurement, quantum sensing, and quantum communication [28,29,30,31,32]. In addition, optomechanical systems provide a unique platform for the study of macroscopic objects in the quantum regime, opening new possibilities for the exploration of macroscopic quantum effects [33]. Notably, in studies of quantum sensing and fundamental quantum mechanics, cavity optomechanical systems are an ideal tool for quantum manipulation and show potential to realize other fundamental quantum properties in macroscopic moving objects [34,35].
Cavity optomechanical systems demonstrate exceptional compatibility, with the unique capability to interface with degrees of freedom that remain largely inaccessible in alternative physical systems. This capability enables the construction of novel hybrid quantum devices and the realization of new quantum interfaces [36]. The confinement of atomic ensembles within cavity optomechanical architectures enables the generation of steady-state continuous-variable (CV) entanglement between arbitrary pairwise combinations of atomic ensembles, optical modes, and moving mirrors [37,38,39,40,41]. Building on the dipole blockade effect and preceding advances, this study proposes a hybrid system combining a Rydberg superatom with a single-mode optomechanical cavity to investigate entanglement sustainability under weak-excitation conditions.
Within parameter regimes where the atomic transition frequency matches the Stokes sideband frequency, continuous-variable steady-state bipartite entanglement is established among the Rydberg superatom, the cavity field, and the movable mirrors. Specifically, the cavity–mirror entanglement ( E c m ) and cavity–superatom entanglement ( E c s ) originate from direct coupling mechanisms, while the superatom–mirror entanglement ( E s m ) emerges through indirect Stokes-mediated coupling. Recent breakthroughs have demonstrated the direct generation of W-class tripartite entanglement through spontaneous six-wave mixing (SSWM) in atomic vapor [42]. In this pioneering work, the authors employed the novel SSWM technique to achieve a critical milestone: the observation of genuine continuous-mode time-energy-entangled W-class triphotons, rigorously verified by different bipartite entanglements. By enabling direct tripartite entanglement generation via a fundamentally distinct nonlinear interaction mechanism, this groundbreaking study marks a historic advancement in multiphoton entanglement research over the past three decades. Notably, it transcends conventional methodologies that rely on spontaneous parametric down-conversion (SPDC) or spontaneous four-wave mixing (SFWM) with biphoton sources.. In our work, we demonstrate that the exceptional longevity of Rydberg states (manifested through suppressed decay rates at high principal quantum numbers) fundamentally reshapes the entanglement hierarchy. As the atomic decay rate decreases (corresponding to increasing principal quantum numbers), we observe the redistribution of E c m : a small fraction transfers to ( E c s ), while the dominant portion migrates to E s m . Strikingly, under optimized resonance matching, both direct coupling entanglements ( E c m and E c s ) vanish entirely, leaving only the indirect coupling entanglement ( E s m ) persistent. This entanglement redistribution and transfer mechanism is systematically investigated through parameter adjustments. Finally, we quantify the thermal robustness of the surviving entanglement, demonstrating its resilience against environmental decoherence up to experimentally accessible temperatures. These results not only elucidate fundamental aspects of quantum entanglement in macroscopic hybrid systems but also provide a practical framework for the engineering of robust matter-based entanglement in quantum technologies.

2. Model and Equations

We consider in Figure 1a a hybrid cavity optomechanical system: an external driving field with frequency ω l and amplitude E l is incident from one side of the fixed cavity mirror, and a single-mode field with frequency ω c is excited inside the cavity, with a length of L. The single-mode cavity field drives a movable mirror (we use “mirror” instead of “movable mirror” hereafter) with mass m and frequency ω m , causing slight vibrations that exhibit typical optomechanical behavior. Meanwhile, N two-level Rydberg atoms with a resonant frequency of ω a are trapped with the same blockade region inside the cavity, where g denotes the ground state and r represents the Rydberg state. When the atoms are excited to the Rydberg state by the single-mode cavity field, a strong van der Waals (vdW) interaction emerges between the atoms. The entire Hamiltonian of the system is given by
H = ω c a a + ω m 2 p 2 + q 2 G 0 a a q + i E l e i ω l t a e i ω l t a + j = 1 N ω a σ r r ( j ) + g j = 1 N a σ r g ( j ) + a σ g r ( j ) + j < k N V j k σ r r ( j ) σ r r ( k ) .
In Equation (1), the first four terms represent the free Hamiltonian of the cavity, the Hamiltonian of the movable mirror, the Hamiltonian of the optomechanical interaction, and the Hamiltonian describing the cavity mode excitation driven by an external driving field, respectively. The operators a and a are the annihilation and creation operators of the single-mode cavity field, obeying the commutation relation [ a , a ] = 1 . The position and momentum operators p and q satisfy the commutation relation [ q , p ] = i . The optomechanical coupling constant is defined as G 0 = ( ω c / L ) / m ω m and the external driving field amplitude is given by E l = 2 P l κ / ω l , where P l is the field power and κ is the cavity decay rate. The fifth and sixth terms represent the free Hamiltonian of the atoms and the interacting Hamiltonian between the atoms and the cavity field, respectively, with g denoting the atom–cavity coupling constant. The operator σ μ υ ( j ) represents the transition operator ( μ υ ) or projection operator ( μ = υ ) for the j-th atom. Finally, the last term accounts for the van der Waals interaction, where the coupling strength between atoms j and k (when excited to a Rydberg state) is V j k = C 6 / R j k 6 . Here, C 6 is the van der Waals coefficient and R j k denotes the interatomic distance.
Due to the Rydberg blockade effect, which inhibits the simultaneous excitation of multiple Rydberg atoms within the ensemble, only a single Rydberg excitation is shared collectively by the entire ensemble in a blockade region. Consequently, the atomic ensemble behaves as a two-level Rydberg superatom (we use “superatom” instead of “Rydberg superatom” hereafter), as illustrated in Figure 1b. The collective ground state of the superatom is defined as G = g N , and its collective excited state is | R = j N g 1 , , r j , g N / N [7,8,9,10,11,12,13,14,15]. Based on this description, the spin operators of the superatom are defined as S z = | R R | | G G | , S + = | R G | and S = | G R | , satisfying the commutation relations S + , S = S z , S z , S ± = ± 2 S ± . By replacing the atomic operators in Equation (1) with the superatom operators, and in the rotating frame at the frequency ω l of the external driving field, the effective Hamiltonian is obtained as [8,14,16,17]
H = Δ c a a + ω m 2 p 2 + q 2 G 0 a a q + i E l a a + 1 2 Δ a S z + N g S + a + S a ,
where Δ c = ω c ω l and Δ a = ω a ω l . Clearly, the coupling strength between the superatom and the cavity exhibits a N enhancement. This scaling arises because the superatom model inherently satisfies the low-excitation (single-atom excitation) approximation by construction. For systems with a large number of atoms, the superatom operators can be bosonized as c = S / | S z | . When nearly all atoms populate the ground state, this simplifies to c = S , which satisfies the standard bosonic commutation relation c , c = 1 . With these formalisms, the quantum Langevin equations for the system can be expressed as follows (with = 1 ):
q ˙ = ω m p , p ˙ = ω m q γ m p + G 0 a a + ξ , a ˙ = κ + i Δ c a + i G 0 a q i G a c + E l + 2 κ a i n , c ˙ = γ a + i Δ a c i G a a + 2 γ a F c ,
where G a = N g is the collective coupling coefficient between a single superatom and the cavity field, and γ a is the decay rate of the Rydberg state. The Hermitian Brownian noise operator ξ satisfies the correlation function
ξ ( t ) ξ ( t ) = γ m / 2 π ω m d ω e i ω t t ω Γ ω , T ,
where Γ ω , T = coth ω / 2 k B T + 1 , with k B denoting the Boltzmann constant and T the temperature of the mechanical oscillator’s thermal reservoir. The other two noise operators satisfy the following nonvanishing correlation functions:
a i n t a i n t = F c t F c t = δ t t .
Subsequently, each operator is decomposed into its mean value and a small fluctuation, like p = p s + δ p , q = q s + δ q , a = α s + δ a , c = c s + δ c . Given that the external laser acts as a strong driving field, the steady-state cavity field amplitude satisfies α s 1 . Substituting these operators into Equation (3), we obtain two sets of coupled dynamical equations. By solving the equations for the operator’s mean values, the steady-state solutions are obtained as
p s = 0 , q s = G 0 α s 2 ω m , α s = E l κ + i Δ + G a 2 / γ a + i Δ a , c s = i G a α s γ a + i Δ a ,
where Δ = Δ c G m 2 / 2 ω m is the effective cavity detuning, with G m = 2 G 0 α s denoting the effective optomechanical coupling strength.
To characterize the steady-state quantum correlations among the superatom, cavity, and mirror, we analyze the dynamics of quantum fluctuations around the steady-state solution. The quadrature fluctuation operators are defined as δ X = δ a + δ a / 2 , δ Y δ a δ a / i 2 , δ x δ c + δ c / 2 , and δ y δ c δ c / i 2 . By combining the dynamical equations for the fluctuation operators (governed by Equation (3)) with the steady-state conditions in Equation (6), we derive the dynamical equation for the quadrature fluctuation vector as u = δ q , δ p , δ X , δ Y , δ x , δ y T ,
u ˙ = A u + n ,
where the transfer matrix A satisfies
A = 0 ω m 0 0 0 0 ω m γ m G m 0 0 0 0 0 κ Δ 0 G a G m 0 Δ κ G a 0 0 0 0 G a γ a Δ a 0 0 G a 0 Δ a γ a ,
with the vector of noise n = 0 , ξ , 2 κ X i n , 2 κ Y i n , 2 γ a x i n , 2 γ a y i n T . Here, X i n = a i n + a i n / 2 , Y i n = a i n a i n / i 2 , x i n = F c + F c / 2 , and y i n = F c F c / i 2 [37].
In this system, the steady state of the quantum fluctuation is a continuous-variable tripartite Gaussian state, fully characterized by the 6 × 6 correlation matrix V i j = u i u j + u j u i / 2 . Under the Markovian approximation, the steady-state correlation matrix V is determined by solving the Lyapunov equation:
A V + V A T = D ,
where D = d i a g 0 , γ m 2 n ¯ + 1 , κ , κ , γ a , γ a is the diffusion matrix originating from noise correlations. Here, n ¯ = exp ω m / k B T 1 1 represents the mean phonon occupation number. To quantify the steady-state bipartite entanglement among the superatom, cavity, and mirror, we extract a reduced 4 × 4 correlation matrix from V:
V α β = A C C T B ,
where blocks A, B, and C encode subsystem correlations.
Subsequently, to quantify the steady-state bipartite entanglement between the subsystems, we calculate the logarithmic negativity [43]:
E α β = max 0 , ln 2 η ,
where η = 1 2 Σ V α β Σ V α β 2 4 det V α β with Σ V α β = det A + det B 2 det C . The indices α , β = c , m , s label the cavity (c), mirror (m), and superatom (s), respectively. For clarity, we define the logarithmic negativities for the cavity–mirror, cavity–superatom, and superatom–mirror bipartitions as E c m , E c s , and E s m , respectively.

3. Discussion and Analysis of Numerical Results

In this section, we numerically evaluate the steady-state bipartite entanglements. The parameters are chosen to be experimentally feasible, with most values adopted from [37,44,45], except for the following specific cases: the mass of the movable mirror m = 10 ng and its frequency ω m / 2 π = 10 MHz ; the length of the optomechanical cavity L = 1 mm , the quality factor Q = 1 × 10 5 , and the finesse F = 3 × 10 4 ; the power of the external driving field P = 35 mW ; and the optomechanical coupling strength G m / 2 π = 8 × 10 6 Hz . Other parameters are provided in the figure captions and main text.
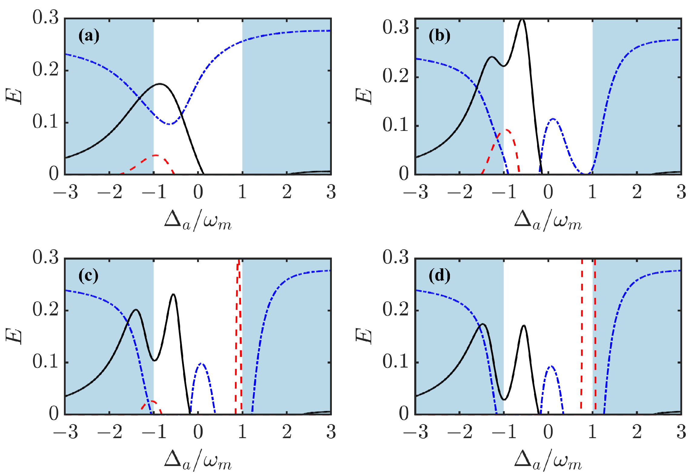
To better characterize the impact of the long lifetime of Rydberg atoms, we first consider the case of noninteracting atoms. As shown in Figure 2a, when γ a / 2 π = 5 MHz , the direct optomechanical coupling between the cavity and the mirror generates the entanglement E c m . The atomic detuning significantly affects the system’s entanglement, leading to the redistribution and transfer of the cavity–mirror entanglement E c m to both the cavity–superatom entanglement E c s and the superatom–mirror entanglement E s m . When Δ a = ω m , i.e., the atomic frequency is resonant with the Stokes sideband, E s m reaches its maximum. In contrast, no superatom–mirror entanglement E s m is observed when the atomic frequency is resonant with the anti-Stokes sideband Δ a = ω m . This is because a resonant indirect coupling between the atoms and mirror mediated by the cavity field is established, resulting in the atom–mirror entanglement predominantly localized in the Stokes sideband, while the recycling of anti-Stokes photons by the absorbing atoms disrupts the mirror–cavity cooling process, i.e., the physical foundation of bipartite optomechanical entanglement [37].
When 87 Rb Rydberg atoms with principal quantum numbers n = 8 , 10 , 13 are selected, the atomic decay rate decreases significantly, i.e., γ a / 2 π = 0.75 , 0.3 , 0.15 MHz [46]. For γ a / 2 π = 0.75 MHz , as shown in Figure 2b, the tripartite atom–mirror–cavity is established at Δ a = ω m with E c m 0.04 , E c s 0.09 , and E s m 0.22 . In contrast to noninteracting atoms, both the direct cavity–superatom coupling entanglement and the indirect superatom–mirror coupling entanglement are enhanced, as nearly all direct cavity–mirror coupling entanglement is redistributed to these two channels. Due to the complexity of the dynamical evolution, the total system entanglement is not conserved during this redistribution and transfer process. Notably, the superatom–mirror entanglement E s m exhibits a characteristic dip at Δ a = ω m , flanked by asymmetric peaks on both sides. This feature originates from destructive interference between the cavity–superatom coupling channel and the cavity–mirror coupling channel, which is directly imprinted on the superatom–mirror entanglement dynamics. At Δ a = ω m , E c m = E s m = 0 , with only a negligible residual cavity–mirror entanglement ( E c m 0.01 ). For γ a / 2 π = 0.3 MHz , as shown in Figure 2c, the cavity–mirror entanglement E c m vanishes at Δ a = ± ω m , indicating complete optomechanical entanglement redistribution. An electromagnetically induced transparency (EIT)-like phenomenon emerges in the superatom–mirror entanglement E s m as the destructive interference strengthens. At Δ a = ω m , E s m = 0 . Meanwhile, the cavity–superatom entanglement E c s emerges near Δ a = ± ω m , with a stronger anti-Stokes sideband peak than the Stokes sideband. For γ a / 2 π = 0.15 MHz , as shown in Figure 2d, a counterintuitive phenomenon occurs: at Δ a = ω m , both direct coupling entanglements ( E s m and E c s ) vanish, while the indirect coupling superatom–mirror entanglement E s m persists. This signifies a complete entanglement transfer from direct to indirect coupling channels. The underlying mechanism involves photons released via relaxation, which partially leak from the cavity (proportional to κ ) and partially strengthen the cavity–superatom coupling. As γ a decreases, the weakened optomechanical coupling suppresses E c m , while the redistributed E c s diminishes, shifting the entanglement to the anti-Stokes sideband ( E c s 0.3 at Δ a = ω m ). Below a critical decay rate, the EIT mechanism suppresses direct coupling entanglement, leaving only E s m .
Figure 3 further reveals the critical decay rates governing the entanglement at Δ a = ω m . Clearly, most cavity–mirror entanglement is redistributed and transferred, resulting in E s m > E c s > E c m for γ a / 2 π 0.1 MHz . As γ a is further reduced, the redistribution and transfer of the cavity–mirror entanglement proceed progressively. When γ a / 2 π 0.4 MHz , E c m = 0 , indicating the complete disappearance of cavity–mirror entanglement. At the threshold decay rate γ a / 2 π = 0.22 MHz , the weakened optomechanical coupling suppresses the cavity–superatom entanglement ( E c s = 0 ), leaving only the indirect superatom–mirror coupling entanglement ( E s m 0 ). Remarkably, when γ a / 2 π 0.1 MHz , all three entanglement types vanish ( E s m = E c m = E c s = 0 ). This collapse arises because ultralow atomic decay rates critically destabilize the optomechanical coupling, eroding the physical prerequisites for entanglement generation.
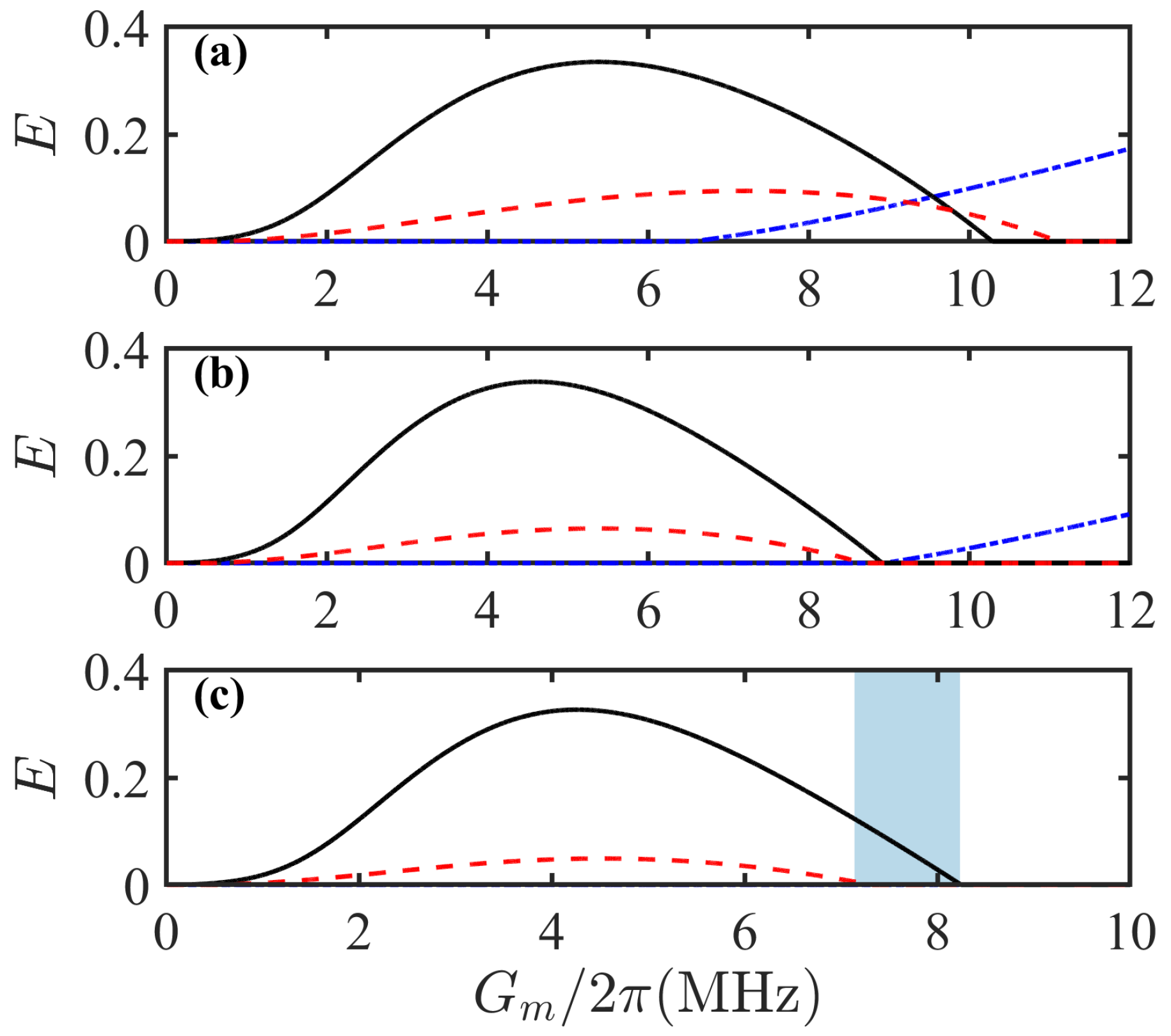
From Equation (8) and prior analysis, the system’s entanglement exhibits pronounced sensitivity to the optomechanical coupling strength. As demonstrated in Figure 4a, for γ a / 2 π = 0.75 MHz , the indirect superatom–mirror coupling entanglement persists within 0 < G m / 2 π 10.3 MHz , peaking at E s m = 0.34 for G m / 2 π = 5.38 MHz . Within this regime, direct coupling entanglements coexist with indirect coupling entanglements. When γ a / 2 π is reduced to 0.3 MHz , as shown in Figure 4b, the superatom–mirror entanglement window narrows to 0 < G m / 2 π 8.9 MHz , with the peak value E s m = 0.34 shifting to a lower coupling strength G m / 2 π = 4.59 MHz . Notably, indirect coupling entanglement never occurs in isolation under these conditions. For γ a / 2 π = 0.15 MHz , as shown in Figure 4c, the superatom–mirror entanglement persists within a narrower window of 7.06 MHz G m / 2 π 8.22 MHz , peaking at E s m = 0.13 for G m / 2 π = 7.06 MHz . Collectively, Figure 4 establishes optomechanical coupling as the fundamental driver of entanglement generation, with bipartite entanglement distribution arising from the intricate competition between the atomic decay rate and the coupling strength. To isolate indirect coupling entanglement, a strategic reduction in the optomechanical coupling strength enables the selective enhancement of superatom–mirror entanglement.
Figure 5 demonstrates that the system’s entanglement strongly depends on the cavity–superatom coupling coefficient G a . Remarkably, regardless of atomic decay rate variations, enhancing G a progressively suppresses the optomechanical coupling strength, thereby diminishing the cavity–mirror entanglement E c m until its eventual extinction. As evidenced in Figure 5a, for γ a / 2 π = 0.75 MHz , the cavity–mirror entanglement E c m is sequentially transferred progressively to E c s and E s m with increasing G a , completely vanishing at G a / 2 π = 6.8 MHz . Beyond this critical threshold, further increasing G a simultaneously enhances both E c s and E s m , with E s m consistently exceeding E c s . Figure 5b exhibits a similar trend to Figure 5a. Even at γ a / 2 π = 0.3 MHz , no parameter regime sustains solely indirect coupling entanglement, irrespective of G a . However, for γ a / 2 π = 0.15 MHz , indirect superatom–mirror entanglement exclusively survives within 5.75 MHz G a / 2 π 7 MHz , peaking at E s m = 0.13 when G a / 2 π = 7 MHz . These findings demonstrate that indirect coupling entanglement’s dominance can be engineered by strategically tuning G a . Synthesizing the insights from Figure 5, a fundamental trade-off emerges between G a and G m , dictating the entanglement redistribution pathways.
Finally, we discuss the temperature robustness of the system’s entanglement. Building on previous insights, to amplify indirect coupling entanglement, we propose a dual-parameter optimization strategy, i.e., reducing the optomechanical coupling strength G m while enhancing the cavity–superatom coupling coefficient G a . Specifically, with G m / 2 π = 7.8 MHz and G a / 2 π = 6.9 MHz , the cavity–mirror entanglement vanishes E c m 0 , indicating complete entanglement redistribution. As shown in Figure 6, for γ a / 2 π = 0.75 MHz , the superatom–mirror entanglement E s m decreases faster than the cavity–superatom entanglement E c s , with both approaching zero simultaneously at T = 10.5 T 0 ( 6.3 μ K ). When γ a / 2 π = 0.3 MHz , E s m vanishes at T = 4.8 T 0 ( 2.88 μ K ), while E c s vanishes earlier at T = 3.8 T 0 ( 2.28 μ K ). For γ a / 2 π = 0.15 MHz , only the indirect coupling superatom–mirror entanglement E s m persists, exhibiting an approximately linear temperature dependence until its collapse at T = 3.05 T 0 ( 1.83 μ K ). Similarly to noninteracting atomic systems [44], excessively high temperatures critically destabilize optomechanical coupling, inducing entanglement collapse. Notably, observing regimes with solely indirect coupling entanglement using Rydberg atoms requires even stricter temperature conditions in our system.
Experimentally verifying the three types of bipartite entanglement requires the measurement of the corresponding covariance matrix. This involves distinct detection protocols for different subsystems. Specifically, the optomechanical quadratures (cavity field and mechanical variables) are accessible through homodyne detection of the cavity output, while atomic polarization quadratures are measured via Stokes parameter analysis, employing a laser beam transversely aligned relative to both the cavity axis and atomic cell. This probe laser is off-resonance-tuned to an auxiliary atomic transition for measurements [37].

4. Conclusions

In summary, we investigate the steady-state bipartite entanglements in a Rydberg-atom-assisted cavity optomechanical system under strong external driving. The generated single-mode cavity field simultaneously induces mechanical oscillations in the movable mirror and promotes atomic transitions to Rydberg states. Leveraging the dipole blockade effect, the ensemble of Rydberg atoms behaves as a collective superatom. Within the low-excitation regime, three distinct bipartite entanglement configurations emerge: direct cavity–mirror coupling entanglement ( E c m ), direct cavity–superatom coupling entanglement ( E c s ), and indirect coupling superatom–mirror entanglement ( E s m ) mediated via Stokes field interactions. Remarkably, under the superatom–Stokes resonance condition, reducing the Rydberg atomic decay rate (achievable by increasing the principal quantum number) triggers a cascade entanglement transfer process: the progressive conversion of E c m into E c s and E s m occurs until E c m and E c s are fully depleted. Counterintuitively, direct coupling entanglements vanish while the indirect coupling entanglement persists. Furthermore, we systematically quantify the entanglement’s parametric sensitivity and thermal robustness. Our findings advance the fundamental understanding of quantum entanglement dynamics in hybrid optomechanical systems and suggest promising applications in quantum information protocols requiring entanglement transfer and preservation.

Author Contributions

Conceptualization, D.Y.; methodology, D.Y.; validation, H.Z.; formal analysis, L.H.; data curation, Y.G.; writing—original draft preparation, F.R.; writing—review and editing, D.Y.; validation, J.W.; supervision, K.G. All authors have read and agreed to the published version of the manuscript.

Funding

This work is supported by the National Natural Science Foundation of China (Grant Nos. 11874004, 11204019, 12204137, 12404299), the Natural Science Foundation of Science and Technology Department of Jilin Province (Grant No. 20220101022JC), and the Hainan Provincial Natural Science Foundation of China (Grant No. 122QN302). This project is also supported by the specific research fund of the Innovation Platform for Academicians of Hainan Province (Grant Nos. YSPTZX202215, YSPTZX202207).

Institutional Review Board Statement

Not applicable.

Informed Consent Statement

Not applicable.

Data Availability Statement

Data are contained within the article.

Conflicts of Interest

The authors declare no conflicts of interest.

References

  1. Saffman, M.; Walker, T.G.; Mølmer, K. Quantum information with Rydberg atoms. Rev. Mod. Phys. 2010, 82, 2313–2363. [Google Scholar] [CrossRef]
  2. Pohl, T.; Adams, C.S.; Sadephpour, H.R. Cold Rydberg gases and ultra-cold plasmas. J. Phys. B At. Mol. Opt. Phys. 2011, 44, 180201. [Google Scholar] [CrossRef][Green Version]
  3. Gallagher, T.F. Rydberg atoms. In Springer Handbook of Atomic, Molecular, and Optical Physics; Springer: Berlin/Heidelberg, Germany, 1994; pp. 231–240. [Google Scholar]
  4. Browaeys, A.; Lahaye, T. Many-body physics with individually controlled Rydberg atoms. Nat. Phys. 2020, 16, 132–142. [Google Scholar] [CrossRef]
  5. Labuhn, H.; Barredo, D.; Ravets, S.; De Léséleuc, S.; Macrì, T.; Lahaye, T.; Browaeys, A. Tunable two-dimensional arrays of single Rydberg atoms for realizing quantum Ising models. Nature 2016, 534, 667–670. [Google Scholar] [CrossRef] [PubMed]
  6. Urban, E.; Johnson, T.A.; Henage, T.; Isenhower, L.; Yavuz, D.D.; Walker, T.G.; Saffman, M. Observation of Rydberg blockade between two atoms. Nat. Phys. 2009, 5, 110–114. [Google Scholar] [CrossRef]
  7. Comparat, D.; Pillet, P. Dipole blockade in a cold Rydberg atomic sample. J. Opt. Soc. Am. B 2010, 27, A208–A232. [Google Scholar] [CrossRef]
  8. Carmele, A.; Vogell, B.; Stannigel, K.; Zoller, P. Opto-nanomechanics strongly coupled to a Rydberg superatom: Coherent versus incoherent dynamics. New J. Phys. 2014, 16, 063042. [Google Scholar] [CrossRef]
  9. Gärttner, M.; Whitlock, S.; Schönleber, D.W.; Evers, J. Collective excitation of Rydberg-atom ensembles beyond the superatom model. Phys. Rev. Letts. 2014, 113, 233002. [Google Scholar] [CrossRef]
  10. Yan, D.; Wang, Z.H.; Ren, C.N.; Gao, H.; Li, Y.; Wu, J.H. Duality and bistability in an optomechanical cavity coupled to a Rydberg superatom. Phys. Rev. A 2015, 91, 023813. [Google Scholar] [CrossRef]
  11. Zeiher, J.; Schauß, P.; Hild, S.; Macrì, T.; Bloch, I.; Gross, C. Microscopic characterization of scalable coherent Rydberg superatoms. Phys. Rev. X 2015, 5, 031015. [Google Scholar] [CrossRef]
  12. Paris Mandoki, A.; Braun, C.; Kumlin, J.; Tresp, C.; Mirgorodskiy, I.; Christaller, F.; Büchler, H.P.; Hofferberth, S. Free-space quantum electrodynamics with a single Rydberg superatom. Phys. Rev. X 2017, 7, 041010. [Google Scholar] [CrossRef]
  13. Stiesdal, N.; Busche, H.; Kumlin, J.; Kleinbeck, K.; Büchler, H.P.; Hofferberth, S. Observation of collective decay dynamics of a single Rydberg superatom. Phys. Rev. Res. 2020, 2, 043339. [Google Scholar] [CrossRef]
  14. Yan, D.; Bai, W.J.; Bai, J.N.; Chen, L.; Han, H.Y.; Wu, J.H. Dynamical collective excitations and entanglement of two strongly correlated Rydberg superatoms. Photonics 2022, 9, 242. [Google Scholar] [CrossRef]
  15. Shao, X.Q.; Su, S.L.; Li, L.; Nath, R.; Wu, J.-H.; Li, W.b. Rydberg superatoms: An artificial quantum system for quantum information processing and quantum optics. Appl. Phys. Rev. 2024, 11, 031320. [Google Scholar] [CrossRef]
  16. Bai, J.N.; Han, S.; Chen, J.D.; Han, H.Y.; Dong, Y. Correlated collective excitation and quantum entanglement between two Rydberg superatoms in steady state. Acta Phys. Sin. 2023, 72, 124202. [Google Scholar] [CrossRef]
  17. Wang, X.; Ren, F.F.; Han, S.; Han, H.Y.; Yan, D. Perfect optomechanically induced transparency and slow light in an Rydberg atom-assisted optomechanical system. Acta Phys. Sin. 2023, 72, 094203. [Google Scholar] [CrossRef]
  18. Saffman, M. Quantum computing with atomic qubits and Rydberg interactions: Progress and challenges. J. Phys. B At. Mol. Opt. Phys 2016, 49, 202001. [Google Scholar] [CrossRef]
  19. Schauss, P. Quantum simulation of transverse Ising models with Rydberg atoms. Quantum Sci. Technol. 2018, 3, 023001. [Google Scholar] [CrossRef]
  20. Stolz, T.; Hegels, H.; Winter, M.; Röhr, B.; Hsiao, Y.F.; Husel, L.; Rempe, G.; Dürr, S. Quantum-logic gate between two optical photons with an average efficiency above 40%. Phys. Rev. X 2022, 12, 021035. [Google Scholar] [CrossRef]
  21. Tresp, C.; Zimmer, C.; Mirgorodskiy, I.; Gorniaczyk, H.; Paris Mandoki, A.; Hofferberth, S. Single-photon absorber based on strongly interacting Rydberg atoms. Phys. Rev. Lett. 2016, 117, 223001. [Google Scholar] [CrossRef]
  22. Baur, S.; Tiarks, D.; Rempe, G.; Dürr, S. Single-photon switch based on Rydberg blockade. Phys. Rev. Lett. 2014, 112, 073901. [Google Scholar] [CrossRef] [PubMed]
  23. Gorniaczyk, H.; Tresp, C.; Schmidt, J.; Fedder, H.; Hofferberth, S. Single-photon transistor mediated by interstate Rydberg interactions. Phys. Rev. Lett. 2014, 113, 053601. [Google Scholar] [CrossRef]
  24. Shi, S.; Xu, B.; Zhang, K.; Ye, G.S.; Xiang, D.S.; Liu, Y.b.; Wang, J.z.; Su, D.q.; Li, L. High-fidelity photonic quantum logic gate based on near-optimal Rydberg single-photon source. Nat. Commun. 2022, 13, 4454. [Google Scholar] [CrossRef] [PubMed]
  25. Padrón-Brito, A.; Lowinski, J.; Farrera, P.; Theophilo, K.; de Riedmatten, H. Probing the indistinguishability of single photons generated by Rydberg atomic ensembles. Phys. Rev. Res. 2021, 3, 033287. [Google Scholar] [CrossRef]
  26. Lakhfif, A.; Hidki, A.; El Qars, J.; Nassik, M. Pairwise entanglement in a three-cavity optomechanical system. Phys. Lett. A 2022, 445, 128247. [Google Scholar] [CrossRef]
  27. Sarma, A.K.; Kalita, S. Tutorial: Cavity Quantum Optomechanics. arXiv 2022, arXiv:2211.02596. [Google Scholar]
  28. Weiss, T.; Bruder, C.; Nunnenkamp, A. Strong-coupling effects in dissipatively coupled optomechanical systems. New J. Phys. 2013, 15, 045017. [Google Scholar] [CrossRef]
  29. Chen, H.J. High-resolution biomolecules mass sensing based on a spinning optomechanical system with phonon pump. Appl. Phys. Express 2021, 14, 082005. [Google Scholar] [CrossRef]
  30. Hammerer, K.; Sørensen, A.S.; Polzik, E.S. Quantum interface between light and atomic ensembles. Rev. Mod. Phys. 2010, 82, 1041–1093. [Google Scholar] [CrossRef]
  31. Barzanjeh, S.h.; Vitali, D.; Tombesi, P.; Milburn, G.J. Entangling optical and microwave cavity modes by means of a nanomechanical resonator. Phys. Rev. A 2011, 84, 042342. [Google Scholar] [CrossRef]
  32. Safavi Naeini, A.H.; Painter, O. Proposal for an optomechanical traveling wave phonon–photon translator. New J. Phys. 2011, 13, 013017. [Google Scholar] [CrossRef]
  33. Palomaki, T.A.; Teufel, J.D.; Simmonds, R.W.; Lehnert, K.W. Entangling mechanical motion with microwave fields. Science 2013, 342, 710–713. [Google Scholar] [CrossRef] [PubMed]
  34. Tang, S.B.; Qin, H.; Liu, B.B.; Wang, D.Y.; Cui, K.f.; Su, S.L.; Yan, L.L.; Chen, G. Enhancement of quantum sensing in a cavity-optomechanical system around the quantum critical point. Phys. Rev. A 2023, 108, 053514. [Google Scholar] [CrossRef]
  35. Pirkkalainen, J.M.; Damskägg, E.; Brandt, M.; Massel, F.; Sillanpää, M.A. Squeezing of quantum noise of motion in a micromechanical resonator. Phys. Rev. Lett. 2015, 115, 243601. [Google Scholar] [CrossRef] [PubMed]
  36. Aspelmeyer, M.; Kippenberg, T.J.; Marquardt, F. Cavity optomechanics. Rev. Mod. Phys. 2014, 86, 1391–1452. [Google Scholar] [CrossRef]
  37. Genes, C.; Vitali, D.; Tombesi, P. Emergence of atom-light-mirror entanglement inside an optical cavity. Phys. Rev. A 2008, 77, 050307. [Google Scholar] [CrossRef]
  38. Genes, C.; Vitali, D.; Tombesi, P.; Gigan, S.; Aspelmeyer, M. Ground-state cooling of a micromechanical oscillator: Comparing cold damping and cavity-assisted cooling schemes. Phys. Rev. A 2008, 77, 033804. [Google Scholar] [CrossRef]
  39. Genes, C.; Ritsch, H.; Drewsen, M.; Dantan, A. Atom-membrane cooling and entanglement using cavity electromagnetically induced transparency. Phys. Rev. A 2011, 84, 051801. [Google Scholar] [CrossRef]
  40. Lu, T.X.; Li, B.J.; Wang, Y.; Wang, D.Y.; Xiao, X.; Jing, H. Directional quantum-squeezing-enabled nonreciprocal enhancement of entanglement. Phys. Rev. Appl. 2024, 22, 064001. [Google Scholar] [CrossRef]
  41. Bai, C.H.; Wang, D.Y.; Zhang, S.; Liu, S.; Wang, H.F. Modulation-Based Atom-Mirror Entanglement and Mechanical Squeezing in an Unresolved-Sideband Optomechanical System. Ann. Phys. 2019, 531, 1800271. [Google Scholar] [CrossRef]
  42. Li, K.; Wen, J.; Cai, Y.; Ghamsari, S.V.; Li, C.; Li, F.; Zhang, Z.; Zhang, Y.; Xiao, M. Direct generation of time-energy-entangled W triphotons in atomic vapor. Sci. Adv. 2024, 10, eado3199. [Google Scholar] [CrossRef] [PubMed]
  43. Vitali, D.; Gigan, S.; Ferreira, A.; Böhm, H.R.; Tombesi, P.; Guerreiro, A.; Vedral, V.; Zeilinger, A.; Aspelmeyer, M. Optomechanical entanglement between a movable mirror and a cavity field. Phys. Rev. Lett. 2007, 98, 030405. [Google Scholar] [CrossRef] [PubMed]
  44. Gigan, S.; Böhm, H.R.; Paternostro, M.; Blaser, F.; Langer, G.; Hertzberg, J.B.; Schwab, K.C.; Bäuerle, D.; Aspelmeyer, M.; Zeilinger, A. Self-cooling of a micromirror by radiation pressure. Nature 2006, 444, 67–70. [Google Scholar] [CrossRef] [PubMed]
  45. Arcizet, O.; Cohadon, P.F.; Briant, T.; Pinard, M.; Heidmann, A. Radiation-pressure cooling and optomechanical instability of a micromirror. Nature 2006, 444, 71–74. [Google Scholar] [CrossRef]
  46. Beterov, I.I.; Ryabtsev, I.I.; Tretyakov, D.B.; Entin, V.M. Quasiclassical calculations of blackbody-radiation-induced depopulation rates and effective lifetimes of Rydberg nS, nP, and nD alkali-metal atoms with n ≤ 80. Phys. Rev. A 2009, 79, 052504. [Google Scholar] [CrossRef]
Figure 1. (a) Left: Schematic of a hybrid optomechanical system incorporating a Rydberg atomic ensemble, where all atoms are confined within the same blockade region (indicated by the dashed circle). Right: Energy level diagram of a Rydberg atom. Two Rydberg atoms exhibit strong coupling via van der Waals (vdW) interactions. (b) Left: Equivalent representation of the initial system. The Rydberg atomic ensemble behaves as a single Rydberg superatom due to the blockade effect. Right: Energy level diagram of a Rydberg superatom.
Figure 1. (a) Left: Schematic of a hybrid optomechanical system incorporating a Rydberg atomic ensemble, where all atoms are confined within the same blockade region (indicated by the dashed circle). Right: Energy level diagram of a Rydberg atom. Two Rydberg atoms exhibit strong coupling via van der Waals (vdW) interactions. (b) Left: Equivalent representation of the initial system. The Rydberg atomic ensemble behaves as a single Rydberg superatom due to the blockade effect. Right: Energy level diagram of a Rydberg superatom.
Photonics 12 00472 g001
Figure 2. The cavity–mirror entanglement E c m (blue dot-dashed lines), the cavity–superatom entanglement E c s (red dashed lines), and the superatom–mirror entanglement E s m (black solid lines) as a function of the normalized detuning Δ a / ω m for panels (ad), corresponding to γ a / 2 π = 5, 0.75, 0.3, 0.15 MHz, respectively. Note that, for convenience, the noninteracting atoms denoted by γ a / 2 π = 5   MHz are described following the conventions for Rydberg atoms here and in the main text. Here, Δ = ω m and G a / 2 π = 6 MHz . Other parameters are provided at the beginning of Section 3.
Figure 2. The cavity–mirror entanglement E c m (blue dot-dashed lines), the cavity–superatom entanglement E c s (red dashed lines), and the superatom–mirror entanglement E s m (black solid lines) as a function of the normalized detuning Δ a / ω m for panels (ad), corresponding to γ a / 2 π = 5, 0.75, 0.3, 0.15 MHz, respectively. Note that, for convenience, the noninteracting atoms denoted by γ a / 2 π = 5   MHz are described following the conventions for Rydberg atoms here and in the main text. Here, Δ = ω m and G a / 2 π = 6 MHz . Other parameters are provided at the beginning of Section 3.
Photonics 12 00472 g002
Figure 3. The cavity–mirror entanglement E c m (blue dot-dashed lines), the cavity–superatom entanglement E c s (red dashed lines), and the superatom–mirror entanglement E s m (black solid lines) as a function of the atomic decay rate γ a / 2 π . Here, Δ a = ω m . The left-to-right color gradation indicates progressively enhanced entanglement configurations: null (leftmost), single (superatom-mirror), dual (superatom-mirror and cavity-superatom), and triple entanglement states (rightmost). Other parameters are the same as in Figure 2.
Figure 3. The cavity–mirror entanglement E c m (blue dot-dashed lines), the cavity–superatom entanglement E c s (red dashed lines), and the superatom–mirror entanglement E s m (black solid lines) as a function of the atomic decay rate γ a / 2 π . Here, Δ a = ω m . The left-to-right color gradation indicates progressively enhanced entanglement configurations: null (leftmost), single (superatom-mirror), dual (superatom-mirror and cavity-superatom), and triple entanglement states (rightmost). Other parameters are the same as in Figure 2.
Photonics 12 00472 g003
Figure 4. The cavity–mirror entanglement E c m (blue dot-dashed lines), the cavity–superatom entanglement E c s (red dashed lines), and the superatom–mirror entanglement E s m (black solid lines) as a function of the effective optomechanical coupling strength G m / 2 π for panels (ac), corresponding to γ a / 2 π = 0.75 , 0.3 , 0.15 MHz , respectively. Here, Δ a = ω m . The blue area represents the parameter range where only the superatom–mirror entanglement exists. Other parameters are the same as in Figure 2.
Figure 4. The cavity–mirror entanglement E c m (blue dot-dashed lines), the cavity–superatom entanglement E c s (red dashed lines), and the superatom–mirror entanglement E s m (black solid lines) as a function of the effective optomechanical coupling strength G m / 2 π for panels (ac), corresponding to γ a / 2 π = 0.75 , 0.3 , 0.15 MHz , respectively. Here, Δ a = ω m . The blue area represents the parameter range where only the superatom–mirror entanglement exists. Other parameters are the same as in Figure 2.
Photonics 12 00472 g004
Figure 5. The cavity–mirror entanglement E c m (blue dot-dashed lines), the cavity–superatom entanglement E c s (red dashed lines), and the superatom–mirror entanglement E s m (black solid lines) as a function of the cavity–superatom coupling constant G a / 2 π for panels (ac), corresponding to γ a / 2 π = 0.75 , 0.3 , 0.15 MHz , respectively. Here, Δ a = ω m and G m / 2 π = 8 MHz . The blue area represents the parameter range where only the superatom–mirror entanglement exists. Other parameters are the same as in Figure 2.
Figure 5. The cavity–mirror entanglement E c m (blue dot-dashed lines), the cavity–superatom entanglement E c s (red dashed lines), and the superatom–mirror entanglement E s m (black solid lines) as a function of the cavity–superatom coupling constant G a / 2 π for panels (ac), corresponding to γ a / 2 π = 0.75 , 0.3 , 0.15 MHz , respectively. Here, Δ a = ω m and G m / 2 π = 8 MHz . The blue area represents the parameter range where only the superatom–mirror entanglement exists. Other parameters are the same as in Figure 2.
Photonics 12 00472 g005
Figure 6. The cavity–mirror entanglement E c m (blue dot-dashed lines), the cavity–superatom entanglement E c s (red dashed lines), and the superatom–mirror entanglement E s m (black solid lines) as a function of the normalized temperature T / T 0 with T 0 = 0.6 μ K for panels (ac), corresponding to γ a / 2 π = 0.75 , 0.3 , 0.15 MHz , respectively. Here, Δ a = ω m , G m / 2 π = 8 MHz and G a / 2 π = 6.9 MHz . The blue area represents the parameter range where only the superatom–mirror entanglement exists. Other parameters are the same as in Figure 2.
Figure 6. The cavity–mirror entanglement E c m (blue dot-dashed lines), the cavity–superatom entanglement E c s (red dashed lines), and the superatom–mirror entanglement E s m (black solid lines) as a function of the normalized temperature T / T 0 with T 0 = 0.6 μ K for panels (ac), corresponding to γ a / 2 π = 0.75 , 0.3 , 0.15 MHz , respectively. Here, Δ a = ω m , G m / 2 π = 8 MHz and G a / 2 π = 6.9 MHz . The blue area represents the parameter range where only the superatom–mirror entanglement exists. Other parameters are the same as in Figure 2.
Photonics 12 00472 g006
Disclaimer/Publisher’s Note: The statements, opinions and data contained in all publications are solely those of the individual author(s) and contributor(s) and not of MDPI and/or the editor(s). MDPI and/or the editor(s) disclaim responsibility for any injury to people or property resulting from any ideas, methods, instructions or products referred to in the content.

Share and Cite

MDPI and ACS Style

Yan, D.; Ren, F.; Huang, L.; Guo, Y.; Wang, J.; Gu, K.; Zhang, H. Direct and Indirect Coupling Entanglements in an Optomechanical Cavity Coupled to a Rydberg Superatom. Photonics 2025, 12, 472. https://doi.org/10.3390/photonics12050472

AMA Style

Yan D, Ren F, Huang L, Guo Y, Wang J, Gu K, Zhang H. Direct and Indirect Coupling Entanglements in an Optomechanical Cavity Coupled to a Rydberg Superatom. Photonics. 2025; 12(5):472. https://doi.org/10.3390/photonics12050472

Chicago/Turabian Style

Yan, Dong, Feifan Ren, Lei Huang, Yilongyue Guo, Jing Wang, Kaihui Gu, and Hanxiao Zhang. 2025. "Direct and Indirect Coupling Entanglements in an Optomechanical Cavity Coupled to a Rydberg Superatom" Photonics 12, no. 5: 472. https://doi.org/10.3390/photonics12050472

APA Style

Yan, D., Ren, F., Huang, L., Guo, Y., Wang, J., Gu, K., & Zhang, H. (2025). Direct and Indirect Coupling Entanglements in an Optomechanical Cavity Coupled to a Rydberg Superatom. Photonics, 12(5), 472. https://doi.org/10.3390/photonics12050472

Note that from the first issue of 2016, this journal uses article numbers instead of page numbers. See further details here.

Article Metrics

Back to TopTop