Next Article in Journal
High-Power Lasers and Light–Matter Interactions
Next Article in Special Issue
Topological Rainbow Trapping with Expanded Bandwidth in Valley Photonic Crystals
Previous Article in Journal
Ultrafast Laser Beam Profile Characterization in the Front-End of the ELI-NP Laser System Using Image Features and Machine Learning
Previous Article in Special Issue
TiN-Only Metasurface Absorber for Solar Energy Harvesting
 
 
Font Type:
Arial Georgia Verdana
Font Size:
Aa Aa Aa
Line Spacing:
Column Width:
Background:
Article

A Dual-Band Tunable Electromagnetically Induced Transparency (EIT) Metamaterial Based on Vanadium Dioxide

1
School of Computer and Control Engineering, Qiqihar University, Qiqihar 161006, China
2
Heilongjiang Key Laboratory of Big Data Network Security Detection and Analysis, Qiqihar University, Qiqihar 161006, China
3
Communication and Electronics Engineering Institute, Qiqihar University, Qiqihar 161006, China
4
Advanced Microscopy and Instrumentation Research Center, Harbin Institute of Technology, Harbin 150080, China
*
Authors to whom correspondence should be addressed.
Photonics 2025, 12(5), 463; https://doi.org/10.3390/photonics12050463
Submission received: 29 March 2025 / Revised: 6 May 2025 / Accepted: 7 May 2025 / Published: 9 May 2025
(This article belongs to the Special Issue Photonics Metamaterials: Processing and Applications)

Abstract

A dual-band tunable terahertz electromagnetically induced transparency (EIT) metamaterial is introduced. The EIT metamaterial consists of two rectangular split rings, two metal strips, and a patterned vanadium dioxide (VO2) located at the back. The rectangular split rings serve as the bright resonator to generate two resonance valleys at distinct frequencies. The metal strips act as the dark resonator and are indirectly activated via the coupling influence of the bright resonator. The EIT metamaterial’s response mechanism is analyzed via the field effect and the two-particle model, with theoretical fitting results showing strong agreement with the simulation results. Moreover, VO2’s conductivity is altered to dynamically control the EIT effect in both frequency bands. Two transparency windows, with modulation depths of 70% and 75%, are observed as the conductivity of VO2 decreases. Simultaneously, the simulation results reveal a favorable slow light effect, with group delays reaching 51 ps and 74 ps at the transparency windows. The proposed metamaterial holds considerable promise for future modulator, filter, and slow light device applications.

1. Introduction

The electromagnetically induced transparency (EIT) phenomenon results from destructive interference effects in quantum systems [1] and shows significant advantages in achieving narrow and sharp resonances. It can eliminate materials’ medium absorption during electromagnetic wave transmission, thereby creating a narrow transparent window within a broad opaque spectrum. This process significantly enhances nonlinear magnetic susceptibility [2] and is often accompanied by a slow light effect [3]. A more pronounced slow light effect enhances light–matter interaction, thereby improving the performance of optical devices. However, the traditional achievement of the EIT effect requires a stable pump light source and a low-temperature environment as strict test conditions [4], which severely limits practical applications. The development of metamaterials has enabled the successful simulation and realization of the EIT effect, thus no longer relying on traditional strict conditions. This progress provides new development opportunities for multiple potential application fields, including optical switches [5], biosensors [6], and slow light devices [7].
The EIT effect arises from either bright–dark mode or bright–bright mode coupling [8]. Bright modes [9] can be easily activated by incident waves, while dark modes [10] cannot couple directly with the incident waves. It is excited through indirect coupling with the bright mode. Additionally, similar resonance frequencies are observed for bright and dark modes, with differing quality (Q) values. Transparent windows emerge in metamaterials composed of bright and dark resonators through mode coupling. Likewise, the EIT effect arises from bright mode coupling.
Recently, the dynamically tunable EIT metamaterials have garnered significant attention. By incorporating tunable materials into EIT metamaterials, the EIT effect can be actively modulated [11]. Very recently, due to its excellent adjustability, vanadium dioxide (VO2) has received increasing attention in related fields and has become one of the most notable materials [12]. As the temperature increases, the VO2 lattice transitions from monoclinic to tetragonal, causing a sharp rise in electrical conductivity. This transformation is complete when the temperature reaches 340 K, marking the shift from an insulator to a metal [13]. This temperature-induced phase transition makes VO2 an ideal material for tuning the EIT effect in metamaterials. A metamaterial structure of VO2 as a terahertz modulator in an insulating state was proposed by Wang et al. [14]. The EIT window peak decreases as VO2 conductivity increases, and the EIT effect gradually disappears. Ning et al. introduced a two-layer metamaterial structure with VO2 as its substructure [15]. The EIT effect is observed when VO2 exhibits a metallic phase, whereas the disappearance of the transparency window occurs when VO2 transitions to an insulating phase, demonstrating that controlling the temperature can tune and switch the EIT effect. However, these studies predominantly focused on tuning a single EIT window, with limited exploration of dual-band EIT tuning. With the increasing demand for multi-band tunable devices, the research on dual-band EIT effects has become an important research direction. Chen et al. reported a dual-frequency EIT effect VO2 metamaterial with modulation depths of 45.2% and 42.7% and group delays of 3.24 ps and 3.17 ps [16]. However, the relatively low modulation depth and group delay significantly weaken the light signal processing capability, affecting its performance in practical applications. Therefore, utilizing VO2 to dynamically control the dual-band EIT effect while achieving a high modulation depth and high group delay remains a significant challenge.
In this context, a dynamically tunable EIT metamaterial based on thin VO2 films has been proposed, aiming to achieve dual-band EIT effects with a higher modulation depth. The top layer of this metamaterial is constructed from two symmetrical rectangular split rings (as the bright mode) and two metal strips (as the dark mode). The coupled bright–dark mode generates transparency windows with high Q values of 102 and 80 at 1.02 THz and 1.15 THz, respectively. Meanwhile, the VO2 structure is added at the bottom layer of the unit, and its conductivity is changed to achieve the simultaneous dynamic regulation of the dual-band EIT effect. Modulation depths of 70% and 77% and group delays of 41 ps and 74 ps are achieved, respectively, on the two transparent windows. The two-particle model further illustrates the generation mechanism of the EIT effect and calculates the theoretical transmission spectrum, which fits well with the simulation results. The proposed metamaterial holds great potential for making significant contributions to the evolution of modulators, filters, sensors, and slow light devices.

2. Structure Design and the Material Properties of VO2

Figure 1 illustrates the designed EIT metamaterial, which is deposited on a SiO2 substrate in a periodic arrangement. The top unit cell is made up of two rectangular split rings and two metal strips, as shown in Figure 1b. Compared with continuous thin films, patterned VO2 structures exhibit significant advantages in achieving EIT effects, reducing fabrication costs and enhancing the applications’ performance. Consequently, we have designed a patterned VO2 structure as the bottom layer of the unit, as shown in Figure 1c. Furthermore, through simulating the thickness of VO2 and comprehensively evaluating the EIT effect for the two transparent windows, the parameter t = 0.2 µm is determined. The substrate is made of lossless SiO2, and the metal layer is gold with a conductivity of 4.56 × 107 S/m. The geometric parameters of the unit cell are as follows: Px = Py = 160 μm, a = 90 μm, b = 40 μm, c = 10 μm, d = 13 μm, and g = 16 μm. In this paper, we utilize commercial CST simulation software (Version 2020) to numerically model the metamaterial’s structure. Periodic boundary conditions are adopted in the x- and y-directions, while open boundary conditions are applied in the z-direction.
The Drude model provides an accurate characterization of the terahertz optical properties of VO2 [14], which is as follows:
ε ( ω ) = ε ω p 2 ( σ V O 2 ) ω 2 + j γ ω
ω p 2 ( σ V O 2 ) = σ V O 2 σ 0 ω p 2 ( σ 0 )
where ε is 12, representing the high-frequency dielectric permittivity, and γ (5.75 × 1013 rad/s) represents the collision frequency. Additionally, ω p σ VO 2 is the plasma frequency at σ VO 2 , with ω p σ 0 = 1.4 × 1015 rad/s and σ 0   = 3 × 105 S/m. Generally speaking, the conductivity of VO2 varies in response to changes in the external temperature. When the external temperature increases, the internal lattice structure of the VO2 undergoes a transformation, thereby causing a phase transition from an insulator to a metal [14]. This transformation induces changes in physical parameters, such as conductivity and the transmission coefficient. Consequently, the designed metamaterial structure is dynamically modulated by adjusting the electrical conductivity of VO2.

3. Results

3.1. Mechanism Analysis of the EIT Effect

Fano resonance [17], surface plasmon resonance [18], and guided mode resonance (GMR) [19] are common physical phenomena used to generate sharp spectral features in filtering and sensing applications. For example, Lotfiani et al. proposed a Ge-on-Si self-powered photodetector enhanced by GAM [19]. In contrast, this paper achieves sharp EIT resonances via bright–dark mode near-field coupling, generating two transparent windows with a higher modulation depth and group delay. Figure 2a illustrates the transmission spectra corresponding to the different substructures. Observations indicate that, for the x-polarized incident wave, the rectangular split rings, as the bright modes, can directly couple with the incident wave, resulting in resonance valleys at 1.02 THz and 1.15 THz. In contrast, the metal strips represent the dark mode and are not directly stimulated by the incident wave. When the two substructures are combined, destructive interference occurs between their scattered fields through bright–dark mode coupling, resulting in resonance transmission amplitudes of 0.86 and 0.85 at 1.02 THz and 1.15 THz, respectively. Figure 2b depicts that these two transparent windows are regarded as the EIT effect. At this point, the peak value of the transparent window has not reached 1 because the ohmic loss dominates the total loss [20]. Moreover, the Q factor is the core parameter for measuring the energy storage efficiency of a resonant system, formulated as the ratio of the resonant frequency f0 to the full width at half maximum (FWHM) Δf [21]. The Q factors of the two transparent windows are 102 and 80. The larger the Q factor, the greater the dispersion and the higher the group delay.
To further research the underlying mechanisms of the EIT effect, Figure 3a–c present the surface current distributions of the first transparency window. In these figures, the arrow direction in the figure indicates the direction of current flow, and the arrow color changing from blue to red represents the trend of current density increasing from small to large. At 1.015 THz, quasi-circular currents flow in opposite directions on the rectangular split rings, as shown in Figure 3a. The weak coupling to free space increases the radiation loss [22], leading to reduced transmission, while the surface current in the metal strips (dark mode) remains weak. At 1.03 THz, a redistribution of the surface current within the metamaterial structure becomes evident. The current concentrates at the junction between the rectangular split rings and the metal strips, indicating a weakening of the destructive interference among the bright and dark modes. This results in increased radiation loss and further decreases transmission, as presented in Figure 3c. Figure 3b illustrates that the current flows in the opposite direction at 1.02 THz, resulting in destructive regions, as indicated by the red arrow. Destructive interference between the bright and dark modes leads to a strong current distribution throughout the entire metamaterial structure, enhancing transmission and generating the transparency window.
Figure 3d–f illustrate the electric field distribution at the first transparent window, with red areas indicating regions of stronger electric field intensity. As depicted in Figure 3d, the electric field strength of the rectangular split rings are significantly enhanced at 1.015 THz, leading to increased loss and consequently reduced transmittance. Figure 3f indicates that at 1.03 THz, both the rectangular split rings and the metal strips exhibit further enhancement in electric field strength, resulting in increased losses and a corresponding decrease in transmittance. In contrast, Figure 3e displays the overall structure’s electric field distribution at 1.02 THz, which is relatively weak, suggesting lower losses and higher transmittance. It is worth noting that the junctions are the key regions where the interaction between bright and dark resonators occurs. Therefore, the currents and electric field intensities generated by coupling are concentrated in these regions. The formation mechanism of the second transparent window at 1.15 THz is fundamentally similar to that of the first transparent window.

3.2. Parameter Analysis

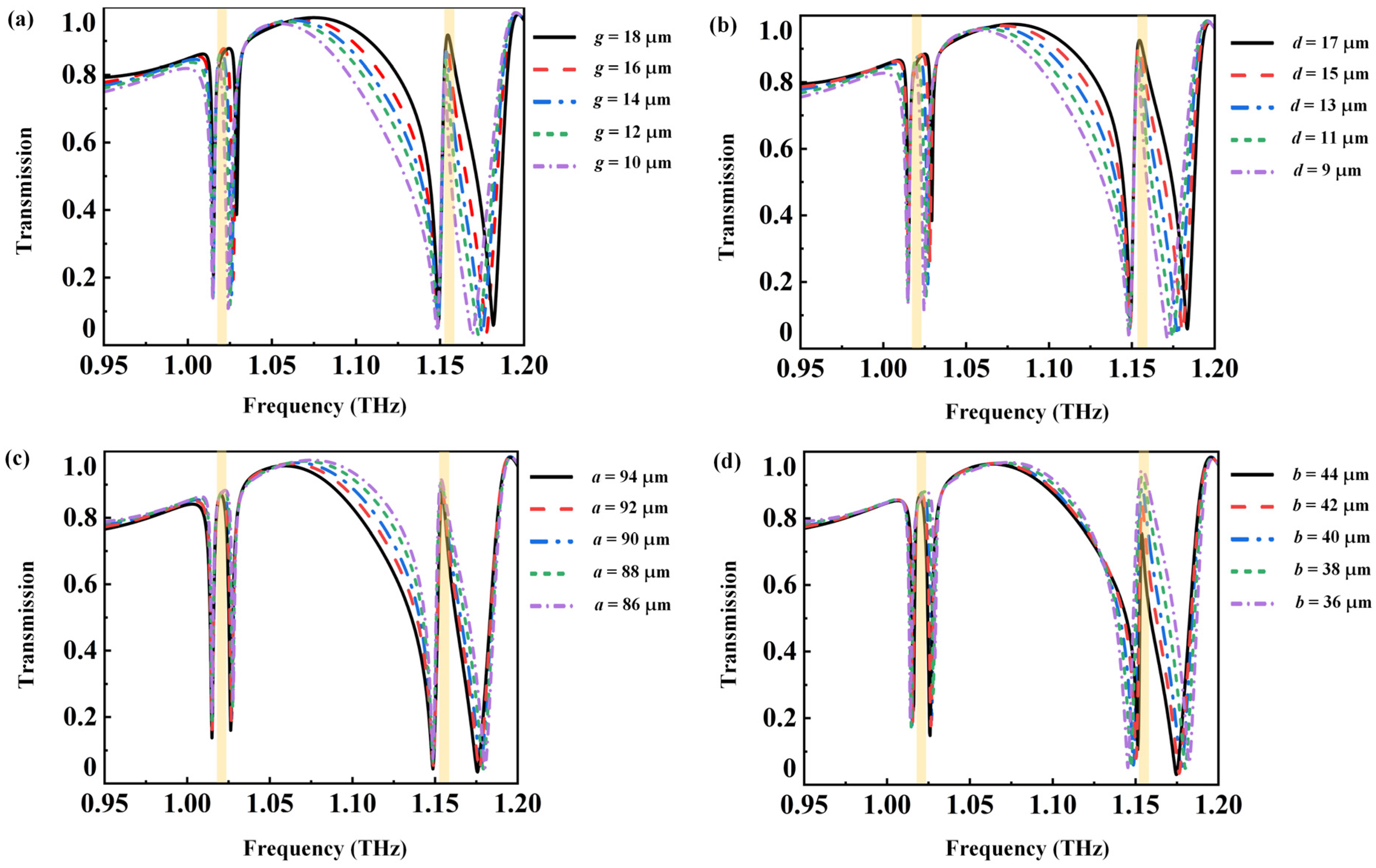
The EIT effect in metamaterials is influenced by geometric parameters. To optimize the performance of the EIT metamaterial, we systematically simulated and analyzed the impact of various structural parameters (g, d, a, b) on performance, and ultimately determined the optimal parameter combination. As shown in Figure 4a, when g increases from 10 μm to 18 μm, the transmission amplitudes at both transparency windows exhibit slight enhancements, while their resonant frequencies remain nearly constant. Similarly, as d increases from 9 μm to 13 μm, the resonant frequency of the two transparent windows shows no significant change, and the transmission amplitude only slightly increases, as shown in Figure 4b. Furthermore, the first resonance dip frequency is almost unaffected, while the second resonance dip displays a blue shift. Figure 4c shows the changes in the two transparent windows when a increases from 86 μm to 94 μm. The results reveal that neither the transmission amplitude nor the resonant frequency of the two transparent windows exhibits significant changes. When the structural parameter b increases from 36 μm to 44 μm, the changes in the transmission amplitude and resonant frequency of the first transparent window can be ignored. However, the second transparent window shows a significant reduction in the transmission amplitude, accompanied by a distinct redshift of the resonant dip frequency, as shown in Figure 4c. To sum up, the change in the structural parameters has a certain influence on the transmission spectra of the two transparent windows. It may even lead to the case that the resonant valley cannot be completely and accurately reproduced at 1.02 THz and 1.15 THz during the simulation process. However, this deviation is almost negligible and has a negligible impact on the final result.

3.3. Dynamic Regulation of VO2

The tunable EIT effect has broad applications in modulators, filters, sensing, slow light, and other fields [23]. To achieve the tunable EIT effect, VO2 is incorporated into the bottom layer of the metamaterial structure, enabling dynamic regulation of the EIT effect by modulating the conductivity of VO2. Figure 5 displays the transmission spectra of the hybrid structure across a range of conductivity of VO2. It is observed that as the conductivity of VO2 increases from 10 S/m to 200,000 S/m, the resonance frequencies associated with the two transparency windows are nearly unchanged. However, notable variations are observed in the resonance strengths of the EIT effects. As conductivity increases from 10 S/m to 200,000 S/m, the strengths of the EIT effects gradually decrease and eventually disappear. This is attributed to a reduction in the destructive interference between the bright and dark modes as the conductivity of VO2 increases. Furthermore, the terahertz metasurface based on VO2 proposed by Chen et al. can increase the electrical conductivity of VO2 from 0.02 S/m to 250,000 S/m by raising the temperature from 40 °C to approximately 110 °C [24], further verifying the feasibility of thermal tuning for the regulation of VO2 within the terahertz range. The modulation depth of the transparency window is determined using the formula ρT = (Ton − Toff)/Ton. Ton represents transmission when VO2 is insulating (10 S/m), while Toff denotes transmission in the metallic state (200,000 S/m) of VO2. Although our modulation depth has not yet reached the theoretical limit, it is already at higher levels of 70% and 75%.
To highlight the modulation depth of the introduced metamaterial, the modulation properties of various tunable metamaterials are compared, as shown in Table 1. Chen et al. proposed a VO2-based terahertz metamaterial with dual-band EIT properties, achieving modulation depths of 46% and 45% for the two transparency windows [25]. They also presented an EIT metamaterial that exhibits multi-resonance, polarization insensitivity, and dynamic adjustability, with modulation depths of 62.5% and 65% for the two transparency windows [26]. Xu et al. introduced a terahertz metamaterial based on MoTe2, which achieves a modulation depth of 77% at the transparency window but supports only a single band of EIT effect [27]. Wang et al. realized an EIT effect, achieving a maximum modulation depth of 80% and a Q factor of 544 in a single band by adjusting the Fermi level of graphene [28]. Although the EIT modulation depth of graphene and MoTe2 is slightly higher than in this study, their single-band EIT effect limits their application in multi-frequency communication systems. Moreover, MoTe2 has a limited conductivity tuning range, restricting modulation depth enhancement. While graphene offers strong tunability, it requires complex electrocontrol to adjust the Fermi level, increasing the complexity and cost. In contrast, the proposed dual-band EIT metamaterial not only enhances flexibility for multi-frequency applications but also achieves efficient and rapid modulation through a broad conductivity tuning range and the fast phase transition properties of VO2

3.4. The ”Two-Particle” Model

The “two-particle” model serves as a classical framework to characterize the EIT effect and quantitatively analyze its occurrence in metamaterials [29]. To clarify the coupling mechanism underlying the EIT effect in the metamaterial system, the “two-particle” model was employed. In this model, the bright mode structure and the dark mode structure are represented as two particles, and the system of coupled particles satisfies the following coupling equation [29]
x ¨ 1 ( t ) + γ 1 x ˙ 1 ( t ) + ω 0 2 x 1 ( t ) + k 2 x 2 ( t ) = q E 0 x ¨ 2 ( t ) + γ 2 x ˙ 2 ( t ) + ( ω 0 + δ ) 2 x 2 ( t ) + k 2 x 1 ( t ) = 0
where x1 and γ1 denote the amplitude and loss of the bright particle, respectively; x2 and γ2 denote those of the dark particle, respectively; δ is the detuning of the resonance frequencies between particles; k characterizes the coupling strength between the bright and the dark particles; and q represents the coupling intensity between the bright particle and the incident field. On the basis of Equation (3), the transmission coefficient for the EIT metamaterial can be determined in the following manner
T = 4 x e f f + 1 ( x e f f + 1 + 1 ) 2 e j 2 π d λ 0 x e f f + 1 ( x e f f + 1 1 ) 2 e j 2 π d λ 0 x e f f + 1
where d represents the metamaterial’s thickness, λ0 represents the vacuum wavelength, and xeff denotes the equivalent magnetic susceptibility of metamaterial, which can be evaluated with the following formula [29]:
x e f f = p ε 0 E 0 = q 2 ε 0 ω 2 ( ω 0 + δ ) 2 + i γ 2 ω k 4 ω 2 ( ω 0 + δ ) 2 i γ 2 ω ( ω 2 ω 0 2 + i γ 1 ω )
On the basis of the previous discussion, the theoretical results of the EIT effect with different VO2 conductivities in the metamaterial are calculated, which are basically consistent with the simulation results. To further analyze the relationship between the fitting parameters and the conductivity, Figure 6 presents the fitting parameters (γ1, γ2, k) of different conductivities for the first transparent window. Among them, γ1 and γ2 are the losses of the bright mode and the dark mode, respectively, and k represents the coupling strength between the bright mode and the dark mode. Since the bright mode can be directly excited by the incident wave, its loss γ1 is relatively large and remains almost unchanged with the increase in the electrical conductivity. However, the dark mode cannot be directly excited by the incident wave, the loss γ2 is relatively small, and it will slightly increase with the increase in electrical conductivity. Meanwhile, with the increase in conductivity, the coupling strength k remains almost constant. In conclusion, as the conductivity increases from 10 S/m to 200,000 S/m, γ1 remains almost unchanged, while γ2 gradually increases. This indicates that the conductivity mainly affects the value of γ1.

3.5. Slow Light Effect

The pronounced phase dispersion in the transparency window is a prominent characteristic of the EIT effect. To calculate the group delay and analyze the characteristics of the EIT transparent window in this metamaterial, we adopted the following formula [30]
t g = d ψ d ω
where the phase shift of the transparent window is represented by ψ, and the resonant frequency is represented by ω.
Figure 7 illustrates the relationship between the conductivity of VO2 and the group delay at 1.02 THz and 1.15 THz. Specifically, the group delays at both transparent windows exhibit a pronounced decrease as the conductivity of VO2 rises from 10 S/m to 50,000 S/m, thereby gradually weakening the slow light effect. When the conductivity of VO2 increases from 50,000 S/m to 200,000 S/m, the group delay only shows a slight increase. Obviously, the maximum group delay occurred at the two transparent windows of the EIT effect, reaching 51 ps and 74 ps. Compared with Refs. [31,32,33], the metamaterial designed in this work achieves higher group delays at both transparency windows simultaneously, with values surpassing those in Ref. [31] (9.98 ps and 6.23 ps), and Ref. [32] (0.34 ps and 0.62 ps). Although the group delay of the metamaterial presented here is lower than that in Ref. [33] (117.21 ps), it enables the dual-band slow light effect, which holds promise for multi-band or broad-band slow light applications. Moreover, modifying the conductivity of VO2 allows for the active adjustment of the group delay. As the conductivity increases, the slow light effect gradually diminishes. Thus, the presented EIT metamaterial provides a new method for designing flexible and tunable slow light devices, opening up exciting possibilities for future applications.

4. Discussion

Owing to the experimental constraints, we have currently verified the feasibility of dual-band tunable EIT metamaterials based on VO2 through simulation. If possible, in the future, the processing and manufacturing of this metamaterial will be carried out in accordance with the following steps. Firstly, a gold film is deposited on the SiO2 dielectric substrate using radio frequency sputtering. Secondly, the photoresist film is spin-coated and the top layer of the metal structure is patterned using ultraviolet lithography technology. Thirdly, the VO2 film is deposited at the bottom layer by the pulsed laser deposition method, and the same method is used for spin-coating and patterning. Finally, the VO2 film is etched by the reactive ion etching method to form two rectangular split ring structures at the bottom layer [34]. However, in actual manufacturing and testing, the manufacturing tolerances of the terahertz structure’s nanolithography [35], the uniformity of the VO2 film’s deposition [36], the accuracy of electrical conductivity regulation [37], the loss of the SiO2 substrate [38], and the non-ideality of the VO2 phase transition’s sharpness [39] may affect the performance of metamaterials. In addition, the influence of the loss of the SiO2 substrate on the transmission peak, Q factor, and modulation depth cannot be ignored.
To further optimize the material design, on the one hand, in the future, we plan to introduce advanced computing technologies such as artificial intelligence and machine learning to predict the interplay under different combinations of geometry and tunable material properties [40,41]. Meanwhile, we will explore methods for optimizing the phase transition characteristics of VO2 to improve the design’s efficiency. On the other hand, the modulation depth of the metamaterials can be further enhanced through a multi-layer structure [42], material optimization [43], and dynamic tuning [44].
According to the discussion above, the dual-band EIT metamaterial based on VO2 that we propose, with its tunability, high Q factor, high modulation depth, and slow light characteristics, holds substantial application prospects for fields like terahertz communication, high-precision sensing, and intelligent cloaking. It can achieve functions such as multi-band signal control, high-sensitivity parameter detection, and targeted interference shielding. Among them, the EIT effect limits the light field by enhancing light–matter interaction, improving the sensors’ sensitivity and spectral clarity, offering a unique advantage in high-precision sensing. In comparison, although other nanoplasmonic or resonant sensors are applied in biological field, such as the infrared photodetector combining PbS quantum dots with silver nanoparticles proposed by Izadpour et al. [45], and the PIN photodetector based on plasmonic nanostructures designed by Lotfiani et al. [46], they are still inferior to EIT-based sensors in terms of spectral resolution and sensitivity to environmental changes.

5. Conclusions

In summary, a dual-band tunable EIT metamaterial based on VO2 is designed in this paper. The top layer structure of the designed metamaterial consists of rectangular split rings and metallic strips, with the dual-band EIT effect is generated through the coupling of bright modes (rectangular split rings) and dark modes (metallic strips). By introducing VO2 into the bottom layer of the metamaterial structure and tuning its conductivity, dynamic regulation of the dual-band EIT effect is manifested. The maximum modulation depths of 70% and 75% are achieved at 1.02 THz and 1.15 THz, along with higher Q values of 102 and 80. The two-particle model further analyzed the physical and modulation mechanisms of the designed metamaterials. The good fit between the calculated and simulated transmission spectra verified the reliability of the proposed metamaterial. Furthermore, by taking advantage of the tunability of VO2, the slow light effect is dynamically controlled at two frequency bands to achieve group delays of 41 ps and 74 ps. Therefore, the designed dual-band tunable EIT metamaterials have significant potential in the progress of modulators and slow light devices with a high modulation depth.

Author Contributions

Conceptualization, L.Z.; software, H.L.; validation, Y.W. (Yiya Wang); formal analysis, Y.W. (Yiya Wang); investigation, Y.W. (Yiya Wang); writing—original draft preparation, S.W. and Y.W. (Yun Wang); writing—review and editing, L.Z. and L.D.; supervision, L.Z., L.D. and X.D.; project administration, L.Z.; funding acquisition, L.Z. and X.D. All authors have read and agreed to the published version of the manuscript.

Funding

This work was supported by the Fundamental Research Funds of Heilongjiang Provincial Universities of China (Grant No. 145409208), the Natural Science Foundation of Heilongjiang Province (Grant No. LH2022F053), the National Natural Science Foundation of China (Grant No. 62275063, 62171153), and the Postdoctoral Research Fund Project of Heilongjiang Province of China (Grant No. LBH-Q21195).

Institutional Review Board Statement

Not applicable.

Informed Consent Statement

Not applicable.

Data Availability Statement

The original contributions presented in this study are included in the article. Further inquiries can be directed to the corresponding author.

Conflicts of Interest

The authors declare no conflicts of interest.

Abbreviations

The following abbreviations are used in this manuscript.
EITElectromagnetically induced transparency
VO2Vanadium dioxide
QQuality
GMRGuided mode resonance
FWHMFull width at half maximum

References

  1. Liu, S.B.; Ning, R.X.; Zhu, J.L.; Zhang, Y.F. Multiband electromagnetically induced transparency-like on metamaterials. Opt. Commun. 2025, 574, 131065. [Google Scholar] [CrossRef]
  2. Zhang, X.L.; Zhao, Z.Y.; Ako, R.T.; Sriram, S.; Zhao, X.; Liu, H.X.; Bu, H.J. Moire photonic superlattice-induced transparency at commensurate angle in a terahertz metasurface composed of triple layer square lattices. Appl. Phys. Lett. 2024, 125, 141701. [Google Scholar] [CrossRef]
  3. Zhang, B.H.; Dong, A.L.; Wang, J.R.; Qin, M.; Liu, J.Q.; Huang, W.; Xiao, S.Y.; Li, H.J. Strong coupling and electromagnetically induced transparency in multiple-BIC-driven metasurfaces. Nano Lett. 2025, 25, 4568–4575. [Google Scholar] [CrossRef] [PubMed]
  4. Cai, W.J.; Xiao, B.G.; Yu, J.B.; Xiao, L.H. A compact graphene metamaterial based on electromagnetically induced transparency effect. Opt. Commun. 2020, 475, 126266. [Google Scholar] [CrossRef]
  5. Zhu, J.; Xiong, J.Y. Tunable terahertz graphene metamaterial optical switches and sensors based on plasma-induced transparency. Measurement 2023, 220, 113302. [Google Scholar] [CrossRef]
  6. Wang, J.Q.; Sun, J.Y.; Mei, Y.W. Electric field dropping effect enhanced extraordinary sensitivity of THz electromagnetically induced transparency metamaterial. IEEE Sens. J. 2024, 24, 7807–7815. [Google Scholar]
  7. Vaswani, L.K.; Chouhan, B.S.; Panwar, A.; Kumar, G. Electromagnetically induced transparency in a strongly coupled orthogonal polarization-insensitive planar terahertz metamaterial. J. Phys. D Appl. Phys. 2024, 57, 075103. [Google Scholar] [CrossRef]
  8. Chen, M.M.; Yang, X.X. Frequency shift in tunable electromagnetically induced transparency-like metamaterials. Plasmonics 2024, 19, 1487–1498. [Google Scholar] [CrossRef]
  9. Zhao, S.X.; Gao, L.; Zhang, W. Chirality-selective electromagnetically induced transparency in a dielectric metasurface based on chirality transfer between bright and dark modes. Appl. Phys. Lett. 2023, 123, 151701. [Google Scholar] [CrossRef]
  10. Shu, C.; Mei, J.S.; Sun, H.Y.; Chen, L.Y.; Sun, Y. Tunable electromagnetically induced transparency metamaterial utilizing bright-dark mode coupling between electric and toroidal resonances. Opt. Quant. Electron. 2024, 56, 43. [Google Scholar] [CrossRef]
  11. Zhu, L.; Dong, L. Electromagnetically induced transparency metamaterials: Theories, designs and applications. J. Phys. D Appl. Phys. 2022, 55, 263003. [Google Scholar] [CrossRef]
  12. Zhu, L.; Li, H.; Dong, L.; Zhou, W.J.; Rong, M.X.; Zhang, X.Z.; Guo, J. Dual-band electromagnetically induced transparency (EIT) terahertz metamaterial sensor. Opt. Mater. Express 2021, 11, 2109. [Google Scholar] [CrossRef]
  13. Long, L.S.; Taylor, S.; Wang, L.P. Enhanced infrared emission by thermally switching the excitation of magnetic polariton with scalable microstructured VO2 metasurfaces. ACS Photoincs 2020, 7, 2219–2227. [Google Scholar] [CrossRef]
  14. Wang, T.L.; Zhang, H.Y.; Zhang, Y.; Zhang, Y.P.; Cao, M.Y. Tunable bifunctional terahertz metamaterial device based on Dirac semimetals and vanadium dioxide. Opt. Express 2020, 28, 17434–17448. [Google Scholar] [CrossRef] [PubMed]
  15. Ning, R.X.; Xiao, Z.Q.; Chen, Z.H.; Huang, W. Temperature tunable like-electromagnetically induced transparency in metasurface with vanadium dioxide. Eur. Phys. J. Plus 2021, 136, 751. [Google Scholar] [CrossRef]
  16. Chen, M.M.; Yang, X.X.; Shu, F.Z. Dual-band tunable electromagnetically induced transparency in vanadium dioxide-based miniaturized terahertz metasurfaces. Mater. Res. Bull. 2024, 180, 113000. [Google Scholar] [CrossRef]
  17. Salama, N.A.; Alexeree, S.M.; Obayya, S.S.A.; Swillam, M.A. Silicon-based double fano resonances photonic integrated gas sensor. Sci. Rep. 2024, 14, 24811. [Google Scholar] [CrossRef] [PubMed]
  18. Hossain, N.I.; Nayemuzzaman, S.; Tabassum, S. Dual localized surface plasmon resonance sensors on a single optical fiber. IEEE Sens. Lett. 2023, 7, 9. [Google Scholar] [CrossRef]
  19. Lotfiani, A.; Jahromi, H.D. Guided-mode resonance enhanced Ge-on-Si self-powered surface illuminated photodetector for ultrahigh-speed optical communication systems. IEEE Sens. J. 2024, 24, 40669–40677. [Google Scholar] [CrossRef]
  20. Yang, T.; Liu, X.M.; Zhou, J. Terahertz polarization conversion in an electromagnetically induced transparency (EIT)-like metamaterial. Ann. Phys. 2021, 533, 2000528. [Google Scholar] [CrossRef]
  21. Cheng, Y.; Cai, S.J.; Li, J.J.; Gong, H.Y.; Liu, Z.Q.; Chen, J.; Fu, G.L.; Liu, X.S.; Pan, P.P.; Liu, G.Q. High Q transparency, strong third harmonic generation, and giant nonlinear chirality driven by toroidal dipole-quasi-BIC. Appl. Phys. Lett. 2024, 125, 181702. [Google Scholar] [CrossRef]
  22. Hu, J.; Lang, T.; Hong, Z.; Shen, C.Y.; Shi, G.H. Comparison of electromagnetically induced transparency performance in metallic and all-dielectric metamaterials. J. Lightwave Technol. 2018, 10, 1109. [Google Scholar] [CrossRef]
  23. Makhloufi, M.; Salah, H. Graphite based metamaterial for high frequency applications. J. Magn. Magn. Mater. 2022, 557, 169410. [Google Scholar] [CrossRef]
  24. Chen, M.M.; Yang, X.X. Polarization-insensitive electromagnetically induced transparency and its sensing performance based on spoof localized surface plasmons in vanadium dioxide-based terahertz metasurfaces. Phys. Chem. Chem. Phys. 2023, 25, 21074–21081. [Google Scholar] [CrossRef]
  25. Chen, M.M.; Xiao, Z.Y.; Lv, F.; Cui, Z.T.; Xu, Q.D. Dynamically tunable dual-band electromagnetically induced transparency-like in terahertz metamaterial. Opt. Mater. 2020, 107, 110060. [Google Scholar] [CrossRef]
  26. Chen, M.M.; Xiao, Z.Y.; Lu, X.J.; Lv, F.; Cui, Z.T. Dynamically tunable multi-resonance and polarization-insensitive electromagnetically induced transparency-like based on vanadium dioxide film. Opt. Mater. 2020, 102, 109811. [Google Scholar] [CrossRef]
  27. Xu, X.; Lou, J.; Gao, M.X.; Wu, S.Y.; Fang, G.Y.; Huang, Y.D. Ultrafast modulation of THz waves based on MoTe2-covered metasurface. Sensors 2023, 23, 1174. [Google Scholar] [CrossRef]
  28. Wang, Z.C.; Huang, H.H.; Zhang, H.; Zhao, W.R. Controllable dual resonances of Fano and EIT in a graphene-loaded all-dielectric GaAs metasurface and its sensing and slow-light applications. J. Phys. D Appl. Phys. 2024, 48, 485101. [Google Scholar] [CrossRef]
  29. Zhu, L.; Zhang, C.; Dong, L.; Rong, M.X.; Gong, J.Y.; Meng, F.Y. Inverse design of electromagnetically induced transparency (EIT) metasurface based on deep convolutional generative adversarial network. Phys. Scr. 2023, 10, 105501. [Google Scholar] [CrossRef]
  30. Meng, Y.W.; Wang, Z.B.; Fang, S.J.; Liu, H.M. Reconfigurable negative group delay circuit with tunable group delay flatness. Int. J. RF Microw. Comput. Aided Eng. 2022, 32, e23159. [Google Scholar] [CrossRef]
  31. Sun, Z.S.; Wang, X.; Wang, J.L.; Fan, B.; Zhang, Y.; Feng, Y. Sensing and slow light properties of dual-band terahertz metamaterials based on electromagnetically induced transparency-like. Acta. Phys. Sinch. Ed. 2022, 71, 138101. [Google Scholar] [CrossRef]
  32. Zhong, X.; Wu, T.S.; Liu, Z.H.; Yang, D.; Yang, Z.N.; Liu, R.; Liu, Y.; Wang, J.Y. Dual tunable electromagnetically induced transparency based on a grating-assisted double-layer graphene hybrid structure at terahertz frequencies. Nanomaterials 2022, 12, 3853. [Google Scholar] [CrossRef]
  33. Cui, Y.; Wang, X.S.; Ren, B.; Jiang, Y.Y. Polarization-controlled electromagnetically induced transparency analogue based on multipolar resonances. Opt. Mater. Express 2022, 12, 3738–3748. [Google Scholar] [CrossRef]
  34. Chen, B.W.; Yang, S.X.; Chen, J.; Wu, J.B.; Chen, K.; Li, W.L.; Tan, Y.H.; Wang, Z.S.; Qiu, H.S.; Fan, K.B.; et al. Directional terahertz holography with thermally active Janus metasurface. Light Sci. Appl. 2023, 12, 136. [Google Scholar] [CrossRef]
  35. Chen, Z.; Li, Y.; Man, Z.W.; Tang, A.W. Research progress of quantum dot photolithography patterning and direct photolithography application. Nano Res. 2024, 17, 10386–10411. [Google Scholar] [CrossRef]
  36. Zhou, X.C.; Wu, Y.; Yan, F.B.; Zhang, T.Z.; Ke, X.Y.; Meng, K.K.; Xu, X.G.; Li, Z.P.; Miao, J.; Chen, J.K.; et al. Revealing the high sensitivity in the metal toinsulator transition properties of the pulsed laser deposited VO2 thin films. Ceram. Int. 2021, 47, 25574–25579. [Google Scholar] [CrossRef]
  37. Lian, H.C.; Qi, L.H.; Luo, J.; Zhang, R.R. Drop-on-demand printing of edge-enhanced and conductive graphene twin-lines by coalescence regulation and multi-layers overwriting. 2D Mater. 2021, 8, 035004. [Google Scholar] [CrossRef]
  38. Luo, K.; Wang, H.; Li, E.Z.; Tang, B.; Yuan, Y. Polyphenylene oxide/SiO2 composites: Towards ultra-low dielectric loss and high thermal conductivity of microwave substrates. Appl. Surf. Sci. 2024, 672, 160809. [Google Scholar] [CrossRef]
  39. Hong, S.C.; Lee, M.; Lee, M.W.; Kim, D. Sharp phase transition by the enhanced lattice stability of low-temperature phase of Cr-doped VO2. Bull. Korean Chem. Soc. 2021, 42, 1232–1238. [Google Scholar] [CrossRef]
  40. Jahromi, H.D.; Hamedi, S. Artiffcial intelligence approach for calculating electronic and optical properties of nanocomposites. Mater. Res. Bull. 2021, 141, 111371. [Google Scholar] [CrossRef]
  41. Hamedi, S.; Jahromi, H.D.; Lotfiani, A. Artificial intelligence-aided nanoplasmonic biosensor modeling. Eng. Appl. Artif. Intel. 2023, 118, 105646. [Google Scholar] [CrossRef]
  42. Liu, C.J.; Sang, C.L.; Wu, X.S.; Cai, J.L.; Wang, J.W. Grating double-slot micro-ring resonator for sensing. Opt. Commun. 2021, 499, 127280. [Google Scholar] [CrossRef]
  43. Esmail, B.A.F.; Koziel, S.; Szczepanski, S.; Majid, H.A. Overview of approaches for compensating inherent metamaterials losses. IEEE Access 2022, 10, 67058–67080. [Google Scholar] [CrossRef]
  44. Guo, Y.Y.; Huo, Y.P.; Niu, Q.Q.; He, Q.; Hao, X.X. Band-stop filter based on tunable Fano resonance and electromagnetically induced transparency in metal-dielectric-metal waveguide coupling systems. Phys. Scripta 2021, 96, 015507. [Google Scholar] [CrossRef]
  45. Izadpour, A.R.; Jahromi, H.D.; Sheikhi, M.H. Plasmonic enhancement of colloidal quantum dot infrared photodetector photosensitivity. IEEE J. Quantum Electron. 2018, 3, 1–7. [Google Scholar] [CrossRef]
  46. Lotfiani, A.; Jahromi, H.D.; Samaneh, H. Silicon-Based Photovoltaic-nanoplasmonic biosensor with enhanced limit of detection and minimum detectable power. J. Lightwave Technol. 2022, 4, 1231–1237. [Google Scholar] [CrossRef]
Figure 1. (a) Three-dimensional view of the EIT metamaterial array; (b) top and (c) back view of the EIT metamaterial structure unit.
Figure 1. (a) Three-dimensional view of the EIT metamaterial array; (b) top and (c) back view of the EIT metamaterial structure unit.
Photonics 12 00463 g001
Figure 2. Transmission spectra of (a) the two substructures and (b) the overall structure of the EIT metamaterial. The yellow shadows represent the resonant regions of 1.02 THz and 1.15 THz.
Figure 2. Transmission spectra of (a) the two substructures and (b) the overall structure of the EIT metamaterial. The yellow shadows represent the resonant regions of 1.02 THz and 1.15 THz.
Photonics 12 00463 g002
Figure 3. The current and electric field distributions of the EIT metamaterial at (a,d) 1.015 THz, (b,e) 1.02 THz, and (c,f) 1.03 THz. The big red arrow represents the overall trend of the current flow direction.
Figure 3. The current and electric field distributions of the EIT metamaterial at (a,d) 1.015 THz, (b,e) 1.02 THz, and (c,f) 1.03 THz. The big red arrow represents the overall trend of the current flow direction.
Photonics 12 00463 g003
Figure 4. Transmission spectra of EIT metamaterial structures with different values of (a) g, (b) d, (c) a, and (d) b.
Figure 4. Transmission spectra of EIT metamaterial structures with different values of (a) g, (b) d, (c) a, and (d) b.
Photonics 12 00463 g004
Figure 5. Transmission spectra of EIT metamaterial structures with different levels conductivity of VO2.
Figure 5. Transmission spectra of EIT metamaterial structures with different levels conductivity of VO2.
Photonics 12 00463 g005
Figure 6. The relationship graph between γ1, γ2, and k and the conductivity of VO2 at (a) 1.02 THz and (b) 1.15 THz.
Figure 6. The relationship graph between γ1, γ2, and k and the conductivity of VO2 at (a) 1.02 THz and (b) 1.15 THz.
Photonics 12 00463 g006
Figure 7. Relationship graph between the conductivity of VO2 and group delay at 1.02 and 1.15 THz.
Figure 7. Relationship graph between the conductivity of VO2 and group delay at 1.02 and 1.15 THz.
Photonics 12 00463 g007
Table 1. Comparisons of the properties of different tunable metamaterials.
Table 1. Comparisons of the properties of different tunable metamaterials.
ReferenceActive MaterialCenter Frequency of the EIT WindowModulation Depth
Ref. [25]VO21.23 THz, 1.41 THz46%, 45%
Ref. [26]VO20.90 THz, 1.06 THz62.5%, 65%
Ref. [27]MoTe21.23 THz77%
Ref. [28]Graphene220.6 THz80%
Proposed structureVO21.02 THz, 1.15 THz75%, 70%
Disclaimer/Publisher’s Note: The statements, opinions and data contained in all publications are solely those of the individual author(s) and contributor(s) and not of MDPI and/or the editor(s). MDPI and/or the editor(s) disclaim responsibility for any injury to people or property resulting from any ideas, methods, instructions or products referred to in the content.

Share and Cite

MDPI and ACS Style

Zhu, L.; Wang, S.; Wang, Y.; Dong, L.; Li, H.; Wang, Y.; Ding, X. A Dual-Band Tunable Electromagnetically Induced Transparency (EIT) Metamaterial Based on Vanadium Dioxide. Photonics 2025, 12, 463. https://doi.org/10.3390/photonics12050463

AMA Style

Zhu L, Wang S, Wang Y, Dong L, Li H, Wang Y, Ding X. A Dual-Band Tunable Electromagnetically Induced Transparency (EIT) Metamaterial Based on Vanadium Dioxide. Photonics. 2025; 12(5):463. https://doi.org/10.3390/photonics12050463

Chicago/Turabian Style

Zhu, Lei, Shujie Wang, Yun Wang, Liang Dong, Hailong Li, Yiya Wang, and Xumin Ding. 2025. "A Dual-Band Tunable Electromagnetically Induced Transparency (EIT) Metamaterial Based on Vanadium Dioxide" Photonics 12, no. 5: 463. https://doi.org/10.3390/photonics12050463

APA Style

Zhu, L., Wang, S., Wang, Y., Dong, L., Li, H., Wang, Y., & Ding, X. (2025). A Dual-Band Tunable Electromagnetically Induced Transparency (EIT) Metamaterial Based on Vanadium Dioxide. Photonics, 12(5), 463. https://doi.org/10.3390/photonics12050463

Note that from the first issue of 2016, this journal uses article numbers instead of page numbers. See further details here.

Article Metrics

Back to TopTop