Next Article in Journal
Adaptive Generation Method for Small Volume Easy Fabrication Freeform Unobscured Three-Mirror Systems Based on Machine Learning
Next Article in Special Issue
Synthesis, Optical, and Photocatalytic Properties of the BiVO4 Semiconductor Nanoparticles with Tetragonal Zircon-Type Structure
Previous Article in Journal
Dynamically Tunable Singular States Through Air-Slit Control in Asymmetric Resonant Metamaterials
Previous Article in Special Issue
Recent Advances in Integrated Vibration Sensing and Communication in Digital Subcarrier Multiplexing Systems
 
 
Font Type:
Arial Georgia Verdana
Font Size:
Aa Aa Aa
Line Spacing:
Column Width:
Background:
Article

Orthogonal Frequency Division Multiplexing for Visible Light Communication Based on Minimum Shift Keying Modulation

1
School of Automation and Information Engineering, Xi’an University of Technology, Xi’an 710048, China
2
Xi’an Key Laboratory of Wireless Optical Communication and Network Research, Xi’an 710048, China
*
Author to whom correspondence should be addressed.
Photonics 2025, 12(5), 404; https://doi.org/10.3390/photonics12050404
Submission received: 7 March 2025 / Revised: 10 April 2025 / Accepted: 21 April 2025 / Published: 22 April 2025
(This article belongs to the Special Issue Photonics: 10th Anniversary)

Abstract

With the rapid development of visible light communication (VLC) technology, traditional modulation schemes can no longer meet the high demands for bandwidth efficiency and signal stability in complex application scenarios. In particular, in orthogonal frequency division multiplexing (OFDM) systems, issues such as the nonlinearity of Light-Emitting Diodes (LEDs) and carrier frequency offset have worsened system performance. To address these challenges, this paper proposes an N-order Minimum Shift Keying (NMSK) OFDM system with Fast Hartley Transform (FHT) for signal mapping. Monte Carlo simulations systematically compare the performance of low-order and high-order NMSK modulations under various conditions. The results indicate that low-order NMSK exhibits superior robustness against bit errors and interference, while high-order NMSK can maintain a stable PAPR and provide higher spectral efficiency in high-bandwidth demand scenarios. Further experiments validate the stability of high-order NMSK in high-density multi-user and Industrial Internet of Things (IIoT) environments, proving its adaptability and effectiveness in such scenarios. The high-order NMSK modulation scheme provides strong support for the reliability and bandwidth efficiency of future 6G VLC networks, offering significant application prospects.

1. Introduction

Light-Emitting Diode Visible Light Communication (LED VLC) is regarded as a key 6G technology due to its abundant spectrum resources, high transmission rates, and eco-friendly security features. These advantages enable it to address the increasing demand for large-capacity, high-speed applications [1], attracting significant research interest.
The limited range of the LED working area is the main factor contributing to nonlinear effects in visible light communication [2]. On the one hand, the bit error rate increases due to signal clipping distortion and constellation point diffusion. On the other hand, the spectral efficiency is reduced due to out-of-band radiation. Li et al. [3] compensated for the distortion of LED nonlinearity by partial pre-emphasis and nonlinear pre-distortion to improve the signal transmission quality. In addition, photodetectors [4] and digital/analog and analog/digital converters [5] also have an impact on the signal. In orthogonal frequency division multiplexing (OFDM) visible light communication systems, the nonlinear characteristics of LEDs can destroy the orthogonality between subcarriers and produce frequency offsets, increasing the possibility of channel crosstalk [6]. When forming OFDM signals, Quadrature Amplitude Modulation (QAM) is often used for symbol mapping, the signal envelope fluctuates greatly, and the peak of the signal increases rapidly after the superposition of the same phase subcarriers, resulting in the phenomenon of a high peak-to-average power ratio (PAPR) [7].
Continuous Phase Modulation (CPM), such as Minimum Shift Keying (MSK), addresses these issues by maintaining phase continuity across symbols. This property suppresses PAPR growth and mitigates LED nonlinear distortion [8]. Among them, Minimum Shift Keying (MSK) not only has high spectral efficiency but also can ensure the continuity of the subcarrier phase and the stability of the dynamic range of the signal because of its continuous phase coding [9]. As a symbol mapping, it can also solve the problem of a high PAPR of an OFDM signal [10]. Han et al. [11] proposed that MSK modulation has better bandwidth efficiency than phase-shift keying, which can solve the problem of inter-symbol interference caused by underwater acoustic channels. Xu et al. [12] proposed a hybrid modulation scheme combined with MSK modulation for deep space exploration in free space optical (FSO) communication. Compared with the binary phase-shift keying (BPSK), the modulation scheme avoids a power loss of 10.2 dB at the optical wavelength of 850 nm. MSK’s real-domain processing (via Fast Hartley Transform [FHT]) aligns with LED’s non-negative drive requirements, avoiding complex conjugate symmetry operations [13]. This reduces system complexity while maintaining phase continuity.
Benefiting from the high stability and customary efficiency, MSK modulation is commonly implemented with a first-order modulation scheme for low-power, low-complexity communication system [14,15,16]. However, with the development of a VLC system, a more robust data transfer with a higher data transfer rate and high-bandwidth feasibility is essential [17]. Compared to complex system improvements, increasing the modulation order in MSK is a more cost-effective and straightforward approach. Moreover, due to the improved spectral efficiency and enhanced anti-interference, high-order MSK modulation better meets the requirements of future applications. Despite these advantages, N-order Minimum Shift Keying (NMSK) may face adverse factors such as deteriorative anti-interference and a bit error rate. Therefore, proposing an appropriate modulation order in MSK that balances efficiency and stability in data transfer is crucial for broader VLC applications.
This paper builds upon our previous work [18], which first established the N-MSK-OFDM system framework and validated the fundamental advantages of low-order NMSK in mitigating LED nonlinearity and carrier frequency offset. Building on this foundation, this study systematically extended the analysis to high-order NMSK modulations and explored their performance trade-offs with traditional schemes in terms of spectral efficiency, nonlinear distortion tolerance, and the PAPR.
We introduced the generalized N-MSK signal superposition model from our prior work and utilized the FHT for real-domain signal processing to reveal how modulation order impacts system behavior. However, while the previous study focused on basic performance verification of low-order modulations, this study established a theoretical foundation for adaptive modulation order selection by (1) conducting multi-dimensional performance comparisons between low-order and high-order NMSK, (2) proposing the first systematic trade-off methods and applicable scenarios based on modulation order, and (3) analyzing the usability of high-order NMSK in various complex scenarios.
These efforts demonstrated distinct performance differences: low-order NMSK maintained robust resilience to channel impairments, while high-order NMSK enabled significant spectral efficiency gains. By addressing the unaddressed trade-off issues and incomplete performance comparisons from prior research, we provided clear guidelines for balancing efficiency and reliability. Finally, based on these findings, we analyzed the feasibility of high-order NMSK in complex environments, laying a theoretical foundation for future high-capacity, high-speed 6G communication systems.
This paper is organized as follows: Section 2 describes the system model incorporating the Rapps nonlinearity model and phase-coding principles. Section 3 evaluates the performance of N-MSK-OFDM under realistic channel conditions through Monte Carlo simulations. Section 4 investigates the applicability of high-order N-MSK in industrial positioning and intelligent transportation systems, demonstrating its stability in dynamic multipath environments. Section 5 concludes with a discussion on integrating this architecture into future 6G networks.

2. Methods and Model

An OFDM visible light communication system model (NMSK-OFDM model) based on N-order MSK mapping is displayed in Figure 1. The system consists of three parts: transmitter, channel, and receiver, while the modulated/demodulated functions of transmitter and receiver are substituted with NMSK mapping/demapping method. The detailed NMSK signal model is shown in Figure 2.
After converting the input data γ n to serial-parallel, the data bit of the ith channel at time n is γ k , n i . The data stream will be divided into two channels after continuous phase coding, forming two related bits corresponding to the original signal ( a n ( i ) , b n ( i ) ), a n ( i ) , and b n ( i ) determine the change in the phase of the carrier together.
a n i = γ k , n i γ k , n 1 i
b n + 1 i = a n i b n i
According to Equations (1) and (2), when a n i , b n i are (0,0), (1,0), (0,1), and (1,1), respectively, the phases mapped by the continuous phase encoder U 1 , n i , U 2 , n i are (1,0), (0,1), (−1,0), (0,−1), and, then, S t , γ k , n i is
S t , γ k , n i = U 1 , n i cos 2 π f 1 t + U 2 , n i cos 2 π f 2 t g t n T
In Equation (3), the phase was multiplied by the carrier wave, the phase change was applied to the carrier phase, the two carrier frequencies of the MSK signal are f 1 = f c 1 / 4 T , f 2 = f c + 1 / 4 T , respectively, f c is the modulation frequency, and the g(t) can be expressed as
g t = 1   ,                   0 t T 0 ,                         other
The N MSK signals are superimposed to form an N-order MSK signal, and its expression is
S N M S K t , γ k , n = A i = 1 N 2 i 1 S t , γ k , n i
A = 2 E / T / i = 1 N 2 2 i 1
where E is the average energy of the signal, and T is the cell interval of the signal. S t , γ k , n i is the component of the ith MSK signal at time n. Therefore, the NMSK signal can be expressed as follows:
S N M S K t = W 1 , n cos 2 π f 1 t + W 2 , n cos 2 π f 2 t g t n T
Among them, W 1 , n , W 2 , n = A i = 1 N 2 i 1 U 1 , n i , i = 1 N 2 i 1 U 2 , n i .
Each NMSK signal was assigned to the corresponding subcarrier, and the M-point inverse Hartley transform was performed. The signal is obtained as follows:
x ( m ) = 1 M k = 0 M 1 S k , n c a s 2 π M k m , m = 0 , 1 , , M 1
In Equation (8), M is the number of IFHT/FHT operation points, k is the index number of the subcarrier, S k , n is the input signal of the kth subcarrier at time n, and the Hartley transform kernel function is
c a s 2 π M k m = cos 2 π M k m + sin 2 π M k m
After that, the drive signal was obtained by D/A conversion and the addition of a DC bias x t .
If the background noise is w(t), the signal received by the receiver is
r t = x t + w ( t )
At the receiving end, the photodetector converts the detected optical signal into an electrical signal and then transforms it by Hartley. The estimated value of the subcarrier signal of each channel of the system can be expressed as
S ^ k , n = 1 M m = 0 M 1 r m c a s 2 π M k m , k = 0 , 1 , , M 1
Combined with the maximum likelihood sequence estimation algorithm, the NMSK decision signal can be obtained Δ S k , n
Δ S k , n = S k , n 1 + S k , n S k + 1 , n 1 S k + 1 , n                     = A i = 1 N 2 i 1 U k , n 1 i + U k , n i U k + 1 , n 1 i U k + 1 , n i                   = A i = 1 N 2 i 1 C k , n i
In Equation (12), C k , n i is the 0ith0 MSK signal component in the NMSK subcarrier, and the C k , n i judgment γ k , n i rule is as follows: when C k , n i 0 , γ k , n i = 0 . On the contrary, γ k , n i = 1 . The original input data γ n can be recovered by parallel-to-serial conversion.
The Rapps model [19] embodied with following equation is commonly used to describe the nonlinear characteristics of LEDs:
i L E D ( v L E D ) = v L E D v T O V 1 + v L E D v T O V i max 2 k 1 2 k           v L E D v T O V 0                                                                                     v L E D < v T O V
where k is the knee factor depending on the type of LED and representing the nonlinear effect of LED, which reflects the smoothness of the transition from the linear region to the saturation region, vLED represents the voltage across the LED, iLED(vLED) is the current through the LED, imax is the maximum allowable AC voltage through the LED, and vTOV is the turn-on voltage of the LED. Generally, k > 0, and the larger value is related to more significant nonlinear effect.

3. Results

To discuss the ability of the MSK-OFDM visible light communication system to suppress the nonlinear effects of LEDs, the Monte Carlo method was used to simulate the case. The parameters used in simulation are shown in Table 1. The power spectral density, constellation diagram, carrier interference ratio and bit error rate of OFDM signal under three different mapping modes of MSK, BPSK, and 64QAM were compared and analyzed, and the influence of modulation order N on them is discussed.
The simulation parameters were selected to align with common practices in the VLC-OFDM literature and ensure computational tractability. Specifically, 10,000 OFDM symbols were used to ensure stable error rate statistics and reduce Monte Carlo simulation variance. The OFDM carrier-related parameters reflect typical configurations in recent VLC studies, enabling consistent performance comparisons across different modulation schemes. Rapps model parameters and thermal noise modeling are representative of practical LED nonlinearity and channel impairments in urban environments.
  • Power spectral density
The spectral density that reflects the dependence of the signal power varies with frequency. The slower attenuation of the out-of-band power spectral density, the larger out-of-band radiated power and more arresting interference hampering the signal subcarriers. If the sign interval of the OFDM signal is T, the normalized closed power spectral density expression of the MSK mapped subcarrier signal is
G N M S K f , N = cos 2 π N f f c   T 1 4 N f f c   T 2 2
where fc is the modulation frequency. The normalized power spectral density of the OFDM signal in MSK, BPSK, and 64QAM mapping modes is shown in Figure 3.
Compared with the BPSK and 64QAM mapped OFDM systems, the MSK-mapped OFDM visible light communication system has better out-of-band attenuation characteristics with higher modulated order, which can suppress the interference between subcarriers very effectively.
  • Signal constellation
LED nonlinearity can cause the signal constellation to diffuse, and the constellation diagram can visually show the mapping of signals on the complex plane. If the coordinates of the signal on the complex plane constellation are (−1,0) and (1,0), Figure 4 shows the MSK-OFDM signal constellation diagram when the knee factor k of the Rapps model is set as 2, 3, and 8. With a larger k, the greater the degree of constellation diffusion representing severer signal distortion, deteriorating the communication quality.
When k = 3, the signal constellation diagram under BPSK and MSK mapping are shown in Figure 5. The constellation point diffusion of the MSK mapping method is smaller, which indicates that the MSK-OFDM signal is less affected by the LED nonlinearity.
  • Carrier frequency offset
Figure 6 considers the influence of the nonlinear effect of LEDs on the frequency offset of the system carrier. When the k value increases, that is, when the nonlinear effect of the LED increases, the carrier frequency offset also increases because the nonlinear effect will cause the center frequency drift of the signal, resulting in the carrier frequency shift. Both MSK-OFDM and QAM-OFDM are plotted, with the latter exhibiting a slightly higher frequency offset compared to the former.
In the MSK-OFDM system, the carrier interference ratio of the kth subcarrier at time n is defined as
C I R O F D M N M S K ( F H T ) k = E Δ K k , k , n ( N M S K ) 2 l = 0 , l k M 1 E Δ K l , k , n ( N M S K ) 2
Δ K k , k , n is the autocorrelation value of the subcarrier at time n, and Δ K l , k , n ( l k ) is the cross-correlation value of two different subcarriers at time n.
The relationship between the carrier interference ratio and the normalized frequency offset is shown in Figure 7. The parameter k that characterizes the nonlinear effect of LEDs in the figure is taken as eight. Under the same frequency offset, the carrier interference ratio of the MSK-OFDM visible light communication system is the largest, and the carrier interference ratio of the 64QAM-OFDM visible light communication system is the smallest, which indicates that the mutual interference between carriers is more serious when the 64QAM mapping is adopted. The carrier interference ratio of 2MSK mapping is close to that of BPSK mapping, and the carrier interference ratio of 4MSK mapping is increased compared with 2MSK, which indicates that the modulation order will also affect the carrier interference ratio with the same MSK mapping, and the interference between carriers will also increase with the increase in modulation order.
Figure 8 shows the signal to interference ratio (SIR) of different modulations. The SIR represents the ratio of signal power to interference power, indicating the signal’s anti-interference ability. As the modulation order N increases, the SIR decreases, which is due to the higher modulation order leading to more superimposed MSK signal paths and greater interference between signals. Among these modulations, MSK-OFDM has the highest SIR, followed by 2MSK-OFDM, BPSK-OFDM, 4MSK-OFDM, QPSK-OFDM, and 8MSK-OFDM in descending order of the SIR.
  • Spectral efficiency
Spectral efficiency is the number of bits per second that can be transmitted on a transmission channel per unit of bandwidth and is used to measure the effectiveness of a system and describe how much capacity it can provide. It is defined as the ratio of the system transmission rate Rb to the bandwidth B, i.e.,
S E = R b B ( b i t / s / H z )
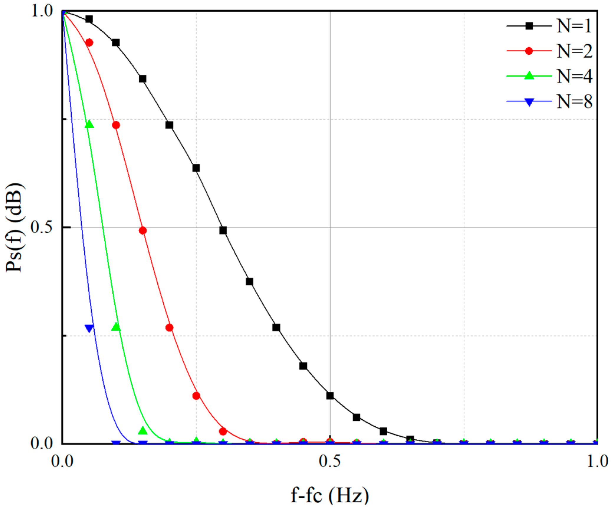
According to Equation (14), the power spectral density curve for MSK (N = 1, 2, 4, 8) is shown in Figure 9. When N = 1 and B = 0.75Rb, the spectral efficiency is about 1.33 bit/s/Hz. When N is taken as 2, 4, and 8, respectively, according to Figure 9, B is 0.38 Rb, 0.19 Rb, and 0.09 Rb, respectively, and the spectral efficiency value is about 2.63 bit/s/Hz, 5.26 bit/s/Hz, and 11.11 bit/s/Hz. Therefore, when the modulation order N value increases, the spectral efficiency also increases because multilevel modulation can improve the transmission efficiency of the channel by transmitting more information in each symbol, so the spectral efficiency is higher.
The high PAPR problem is the main drawback of visible OFDM modulation. The PAPR values are compared in the same modulation order, as shown in Figure 10. It is not difficult to see that, for MSK modulation, the modulation order N has no significant effect on the PAPR value, but the increase in the MQAM modulation order leads to the increase in the PAPR. This is because MQAM modulation increases with the modulation order, the signal points on the constellation diagram increase and are more densely distributed, and the phase and amplitude changes in the signal are more complex. However, the phase change in MSK modulation is only related to the information bit sequence, and the phase change in the signal is smooth and continuous, which reduces the probability of high peaks. According to the study of [20], QPSK and BPSK exhibit PAPR values of approximately 8.4 dB and 9.3 dB, respectively. According to the study of [21], the traditional space–time coding system achieves a PAPR of around 14.15 dB, while the NMSK-mapped OFDM system demonstrates a significantly reduced PAPR, confirming that NMSK mapping effectively suppresses OFDM’s PAPR issue.

4. Discussion

Based on the performance analysis in the previous sections, our findings reveal that lower-order NMSK (e.g., N = 1, 2) is suitable for scenarios requiring high SIR and strong resilience to LED nonlinearity, such as BER-sensitive Li-Fi connections in surgical rooms [22]. Higher-order NMSK (N ≥ 4) excels in high-capacity scenarios with strict bandwidth allocation, like real-time traffic surveillance [23]. This chapter will primarily discuss the feasibility of high-order NMSK in two key application scenarios: industrial IoT positioning and high-density multi-user communication.
Figure 11 demonstrates the relationship between modulation order and system performance. When N increases from 4 to 8, spectral efficiency significantly improves, though BER degrades by two orders of magnitude. This trade-off highlights that high-order NMSK is ideal for high-density data applications requiring maximal bandwidth utilization, such as dense VLC networks. In contrast, low-order NMSK is recommended for BER-sensitive applications to balance spectral efficiency and communication reliability.
In comparison with the results from the study of [24], NMSK shows significantly better PAPR performance. As outlined in their study, for 256 subcarrier OTFS, the PAPR values after applying PTS are 8.4 dB and, after SLM processing, are 9.7 dB, while, for 64 subcarrier OTFS, the PAPR values are 8.1 dB and 9.7 dB, respectively. In contrast, NMSK maintains a PAPR consistently below 8 dB across all modulation orders, indicating superior performance in PAPR control. This stable PAPR makes NMSK ideal for high-density multi-user communication. Lower PAPR reduces the need for an additional power amplifier dynamic range, making NMSK a more efficient and practical choice, especially in high-density multi-user environments.
NMSK’s PAPR stability presents remarkable advantages in high-density multi-user environments. In Multiple Input Multiple Output (MIMO)-VLC systems, there are multiple transmission paths [25,26]. Orthogonal Frequency Division Multiple Access (OFDMA) is typically employed to allocate frequency resources to multiple users. OFDMA is widely used in multi-user setups [27,28,29,30,31]. In contrast, NMSK’s stable PAPR plays a crucial role in ensuring uniform power amplifier efficiency even as user densities vary. By comparing key performance metrics, we can evaluate NMSK’s adaptability to high-density multi-user environments.
Figure 12 and Figure 13 illustrate the performance comparison of NMSK (N = 8) and OFDMA in an 8 × 8 MIMO-VLC system under additive white Gaussian noise (AWGN) with a noise power spectral density of 3 × 10−20 WHz. In Figure 12, as the number of active users increases from 102 to 104, NMSK (N = 8), with its phase-continuous modulation, maintains a nearly constant PAPR. This characteristic effectively suppresses distortion accumulation in the 8 × 8 MIMO-VLC system, where multiple antennas are used for spatial multiplexing. In contrast, OFDMA shows exponential PAPR growth, leading to severe clipping distortion in multi-user scenarios due to the high peak power exceeding the power amplifier’s dynamic range. Figure 13 demonstrates the spectral efficiency comparison. NMSK outperforms OFDMA across all user numbers in MIMO-VLC environment. The stable PAPR of NMSK ensures efficient power amplifier operation, and its phase-based modulation enables better bandwidth utilization. Together, these figures validate that NMSK is highly suitable for high-density multi-user communication scenarios, thanks to its stable PAPR and efficient bandwidth utilization. However, NMSK’s phase continuity may introduce higher sensitivity to phase noise compared to OFDMA, and its complex constellation design could increase receiver complexity. Therefore, practical implementations require trade-offs between PAPR control, spectral efficiency, and system complexity.
In Industrial Internet of Things (IIoT) scenarios, such as visible light positioning (VLP) systems requiring both high-speed data transmission and precise localization, large values of N introduce a unique trade-off [32,33]. While the increased compression of Euclidean distance traditionally limits BER performance, this property becomes advantageous in dual-use VLP systems [34,35]. The tightly packed constellation points allow embedding fine-grained phase metadata for millimeter-level tracking without extra hardware. Although BER increases compared to low-order NMSK, this trade-off is justified in IIoT applications needing simultaneous high-speed data transfer and sub −10 cm positioning accuracy, making high-order NMSK highly suitable for industrial IoT positioning scenarios.
Figure 14 illustrates the effect of modulation order on VLP accuracy. As N increases, the positioning error steadily reduces. This trend indicates that high-order NMSK modulation significantly enhances tracking performance in environments requiring precise localization. The decreasing error with higher N values also supports the feasibility of using NMSK for applications like indoor navigation and autonomous systems, where accurate positioning is crucial. This improvement in positioning accuracy, even with a slight BER trade-off, makes high-order NMSK a promising candidate for dynamic and dense positioning environments.
To further validate the reliability of high-order NMSK in practical scenarios, we simulated the BER performance under realistic channel impairments in Figure 15, including multipath fading and additive white Gaussian noise. The results show that higher-order NMSK maintains a reasonable error level as the SNR increases, ensuring basic communication quality. As depicted in Figure 14, despite this BER performance, the positioning error steadily reduces with increasing N. This confirms that high-order NMSK achieves a good balance between communication reliability and positioning accuracy in dynamic and dense environments, reinforcing its viability for applications like indoor navigation and autonomous systems, where accurate positioning is crucial.
The advancement of NMSK to higher modulation orders sets new benchmarks for 6G-VLC converged systems, especially in scenarios integrating ultra-reliable connectivity with next-generation wireless technologies. Our analysis shows that, under signal conditions enabled by advanced μLED technology, higher-order NMSK not only has superior spectral efficiency compared to conventional modulation schemes but also maintains strong resilience against nonlinear distortions. This unique capability overcomes the limitations of existing methods, enabling innovative applications in scenarios with coexisting bandwidth demand and environmental interference, such as immersive real-time communication in metropolitan networks and sensor-driven coordination in intelligent transportation systems.

5. Conclusions

This paper systematically evaluated the performance of N-order MSK-OFDM systems in VLC, analyzing their performance in multiple aspects. The system could overcome the issues of signal distortion caused by LED nonlinearity and frequency offset in traditional OFDM-VLC systems. BER performance and anti-interference capabilities under different modulation orders were discussed. Simulation results revealed a significant trade-off between low-order and high-order N-MSK modulations: low-order schemes exhibited stronger error resilience and anti-interference capabilities, making them suitable for high-reliability environments. High-order schemes could maintain a stable PAPR and achieve higher spectral efficiency. The effectiveness of high-order NMSK in high-density multi-user communication scenarios and IIoT applications was analyzed and validated. These results provided an effective solution for 6G VLC networks that balanced reliability and spectral efficiency, offering theoretical support for the co-design of future complex application scenarios and visible light networks, as well as the co-optimization of hardware implementations.

Author Contributions

Methodology, Y.Z.; Software, K.L.; Formal analysis, Y.Z. and Y.Y.; Investigation, Y.Y.; Resources, Y.Z.; Writing—original draft, K.L.; Writing—review & editing, K.L.; Project administration, Y.Y. All authors have read and agreed to the published version of the manuscript.

Funding

This research was supported by the National Natural Science Foundation of China (61971345) and the Key Industrial Innovation chain (Group)—Industrial Field Project of Shaanxi Province (2020ZDLGY05-02).

Institutional Review Board Statement

Not applicable.

Informed Consent Statement

Not applicable.

Data Availability Statement

Data are contained within the article.

Conflicts of Interest

The authors declare no conflicts of interest.

References

  1. Ndjiongue, R.; Ngatched, T.M.N.; Dobre, O.A.; Armada, A.G. VLC-Based Networking: Feasibility and Challenges. IEEE Netw. 2020, 34, 158–165. [Google Scholar] [CrossRef]
  2. Yang, C.; Liu, X.; Guan, Y.L.; Liu, R. Fast GAMP Algorithm for Nonlinearly Distorted OFDM Signals. IEEE Commun. Lett. 2021, 25, 1682–1686. [Google Scholar] [CrossRef]
  3. Li, X.; Cheng, C.; Wei, Z.; Fu, H.Y.; Hu, W. Net 5.75 Gbps/2 m Single-Pixel Blue Mini-LED Based Underwater Wireless Communication System Enabled by Partial Pre-Emphasis and Nonlinear Pre-Distortion. J. Light. Technol. 2022, 40, 6116–6122. [Google Scholar] [CrossRef]
  4. Minoru, T. Spectral nonlinearity of an inverse-layer-type silicon photodiode under over-filled illumination. Opt. Laser Technol. 2022, 153, 108248. [Google Scholar]
  5. Daponte, P.; De Vito, L.; Iadarola, G.; Rapuano, S. A reduced-code method for integral nonlinearity testing in DACs. Measurement 2021, 182, 109764. [Google Scholar] [CrossRef]
  6. Kalbat, F.; Al-Dweik, A.; Sharif, B.; Karagiannidis, G.K. Performance Analysis of Precoded Wireless OFDM with Carrier Frequency Offset. IEEE Syst. J. 2020, 14, 2237–2248. [Google Scholar] [CrossRef]
  7. Wu, T.; Zhang, C.; Wei, H.; Qiu, K. PAPR and security in OFDM-PON via optimum block dividing with dynamic key and 2D-LASM. Opt. Express 2019, 27, 27946–27961. [Google Scholar] [CrossRef]
  8. Srivastava, S.; Singh, H. Performance Analysis of FSO Communication System Using NRZ-MSK-PSK Hybrid Modulation Techniques. In Proceedings of the 2023 International Conference on IoT, Communication and Automation Technology (ICICAT), Gorakhpur, India, 23–24 June 2023; pp. 1–4. [Google Scholar]
  9. Sarkar, D.; Srihari, D.; Nagaraj, S. Implementation of RoF SCM with MSK modulation. AIP Conf. Proc. 2023, 2869, 050008. [Google Scholar]
  10. Wu, J.; Tu, S.; Yan, D. Performance analysis of a differential chaos-based hybrid FSO/RF satellite–terrestrial uplink. Appl. Opt. 2025, 64, 1821–1830. [Google Scholar] [CrossRef]
  11. Han, R.; Jia, N.; Huang, J.; Guo, S. Joint time-frequency domain equalization of MSK signal over underwater acoustic channel. Appl. Acoust. 2022, 189, 108597. [Google Scholar] [CrossRef]
  12. Xu, G. BER and channel capacity of a deep space FSO communication system using L-PPM-MSK-SIM scheme during superior solar conjunction. Opt. Express 2019, 27, 24610–24623. [Google Scholar] [CrossRef] [PubMed]
  13. Lian, J.; Brandt-Pearce, M. Clipping-Enhanced Optical OFDM for Visible Light Communication Systems. J. Light. Technol. 2019, 37, 3324–3332. [Google Scholar] [CrossRef]
  14. Wang, H.; Wang, Q.; Wang, Y. Research on uplink performance of MIMO terrestrial-satellite laser communication based on OSM-MBM joint modulation. J. Mod. 2022, 69, 1149–1158. [Google Scholar] [CrossRef]
  15. Wang, X.; Yu, Y.; Yu, L.; Gao, Y. Physical layer secure transmission method based on MSK modulator structure hopping. In Proceedings of the International Conference on Computer Network Security and Software Engineering (CNSSE 2024), Sanya, China, 23–25 February 2024; Volume 13175, pp. 67–75. [Google Scholar]
  16. Bharti, M. Novel technique to cancel MAI for OCDMA system. J. Opt. Commun. 2025, 45, s1791–s1798. [Google Scholar] [CrossRef]
  17. Zhang, C.; Zhu, Y.; He, B. Clone-comb-enabled high-capacity digital-analogue fronthaul with high-order modulation formats. Nat. Photonics 2023, 17, 1000–1008. [Google Scholar] [CrossRef]
  18. Zhang, Y.; Li, N. Performance of FHT—OFDM Visible Light Communication System Based on N Minimum Shift Keying Mapping. Laser Optoelectron. Prog. 2022, 59, 0506003. [Google Scholar]
  19. Hei, Y.; Liu, X.; Li, W.; Wang, S.; Huo, M. Energy- and Spectral- Efficiency Tradeoff in Nonlinear OFDM System of Visible Light Communications. J. Light. Technol. 2022, 40, 1921–1929. [Google Scholar] [CrossRef]
  20. Rony, S.K.; Mou, F.A.; Rahman, M.M. Performance analysis of OFDM signal using BPSK and QPSK modulation techniques. Amer. J. Eng. Res 2017, 6, 108–117. [Google Scholar]
  21. Aishwarya, P.; Biradar, R.L. PAPR Reduction in Space Time Coded MIMOOFDM System using SCS-SLM Technique. In Proceedings of the 2020 4th International Conference on Electronics, Communication and Aerospace Technology (ICECA), Coimbatore, India, 5–7 November 2020; pp. 538–543. [Google Scholar]
  22. Hamada, L.; Lorenz, P.; Djerouni, A. Li-Fi in medical applications. In Proceedings of the 2024 3rd International Conference on Embedded Systems and Artificial Intelligence (ESAI), Fez, Morocco, 19–20 December 2024; pp. 1–6. [Google Scholar]
  23. Vieira, M.A.; Vieira, M.; Louro, P. Adaptive traffic control using cooperative communication through visible light. SN Comput. Sci. 2024, 5, 159. [Google Scholar] [CrossRef]
  24. Kumar, A.; Gaur, N.; Chakravarty, S. Reducing the PAPR of OTFS modulation using hybrid PAPR algorithms. Wirel. Pers. Commun. 2023, 133, 2503–2523. [Google Scholar] [CrossRef]
  25. Sultana, S.F.; Dharani, G.; Anusha, U. Enhancing PAPR Reduction in MIMO-OFDM Systems through Grey Wolf Optimization and Hybrid Algorithms. In Proceedings of the 2024 5th International Conference for Emerging Technology (INCET), Belgaum, India, 24–26 May 2024; pp. 1–8. [Google Scholar]
  26. Belaoura, W.; Althunibat, S.; Hasna, M. MIMO-Aided Index Modulation-Based Orthogonal Frequency Division Multiple Access. In Proceedings of the 2024 7th International Conference on Advanced Communication Technologies and Networking (CommNet), Rabat, Morocco, 4–6 December 2024; pp. 1–5. [Google Scholar]
  27. Dong, Y.; Cao, X.; Gao, Z. Resource Allocation in Multi-user MIMO-OFDMA VLC Systems over Low-pass LED Channels. IEEE Photonics Technol. Lett. 2025. [Google Scholar] [CrossRef]
  28. Wang, X.Y.; Yang, S.; Yuan, T.H. High-performance low-complexity hierarchical frequency synchronization for distributed massive MIMO-OFDMA systems. IEEE Trans. Veh. Technol. 2023, 72, 12343–12348. [Google Scholar] [CrossRef]
  29. Gsssietw, R.; Asha, M.; Manjula, G.; Mariswamy, L.; Sindgi, A.; Amrutha, R. Comparative Analysis of 8 × 8 MIMO-OFDMA and NOMA Systems. Res. Sq. 2024. [Google Scholar] [CrossRef]
  30. Obulesu, G.; Karimullah, S.; Shaik, F. PAPR and SER Performance Analysis of OFDMA and SCFDMA. In Modern Approaches in Machine Learning and Cognitive Science: A Walkthrough; Springer International Publishing: Cham, Switzerland, 2024; Volume 4, pp. 131–140. [Google Scholar]
  31. Sharma, V.; Arya, R.K.; Kumar, S. Adaptive DFT-s-OFDM employed novel multi layered scheme for reduction of PAPR for mMTC node in 5G (NR). Phys. Commun. 2023, 60, 102134. [Google Scholar] [CrossRef]
  32. Salem, Z.; Krutzler, C.; Fragner, C. Visible light technologies for the industrial internet of things. In Proceedings of the 2023 17th International Conference on Telecommunications (ConTEL), Graz, Austria, 11–13 July 2023; pp. 1–8. [Google Scholar]
  33. Zhang, Y.; Ba, B.; Liu, S. Industrial Scene Area Positioning Technology Based on LED Endogenous Identity Characteristics. In Proceedings of the 2024 5th International Seminar on Artificial Intelligence, Networking and Information Technology (AINIT), Nanjing, China, 29–31 March 2024; pp. 211–217. [Google Scholar]
  34. Zhu, Z.; Yang, Y.; Chen, M. A survey on indoor visible light positioning systems: Fundamentals, applications, and challenges. IEEE Commun. Surv. Tutor. 2024. [Google Scholar] [CrossRef]
  35. Menéndez, J.M.; Steendam, H. Optimisation of the Transmitter Layout in a VLP System Using an Aperture-Based Receiver. Photonics 2024, 11, 517. [Google Scholar] [CrossRef]
Figure 1. NMSK-mapped OFDM visible light communication system model.
Figure 1. NMSK-mapped OFDM visible light communication system model.
Photonics 12 00404 g001
Figure 2. The NMSK signal model.
Figure 2. The NMSK signal model.
Photonics 12 00404 g002
Figure 3. Spectral density.
Figure 3. Spectral density.
Photonics 12 00404 g003
Figure 4. MSK map constellations with k value are (a) k = 2, (b) k = 3, and (c) k = 8.
Figure 4. MSK map constellations with k value are (a) k = 2, (b) k = 3, and (c) k = 8.
Photonics 12 00404 g004
Figure 5. The constellation diagram of the receiving end of the OFDM system with (a) BPSK mapping and (b) MSK mapping.
Figure 5. The constellation diagram of the receiving end of the OFDM system with (a) BPSK mapping and (b) MSK mapping.
Photonics 12 00404 g005
Figure 6. Effect of Knee factor on carrier frequency offset.
Figure 6. Effect of Knee factor on carrier frequency offset.
Photonics 12 00404 g006
Figure 7. Carrier to interference ratio performance in carrier frequency offset conditions.
Figure 7. Carrier to interference ratio performance in carrier frequency offset conditions.
Photonics 12 00404 g007
Figure 8. Signal to interference ratio of different modulations.
Figure 8. Signal to interference ratio of different modulations.
Photonics 12 00404 g008
Figure 9. NMSK spectral density.
Figure 9. NMSK spectral density.
Photonics 12 00404 g009
Figure 10. The PAPR value of NMSK-mapped and MQAM-mapped OFDM system.
Figure 10. The PAPR value of NMSK-mapped and MQAM-mapped OFDM system.
Photonics 12 00404 g010
Figure 11. Spectral efficiency vs. BER across modulation orders.
Figure 11. Spectral efficiency vs. BER across modulation orders.
Photonics 12 00404 g011
Figure 12. PAPR comparison of NMSK and OFDMA in MIMO-VLC.
Figure 12. PAPR comparison of NMSK and OFDMA in MIMO-VLC.
Photonics 12 00404 g012
Figure 13. Spectral efficiency comparison of NMSK and OFDMA in MIMO-VLC.
Figure 13. Spectral efficiency comparison of NMSK and OFDMA in MIMO-VLC.
Photonics 12 00404 g013
Figure 14. VLP accuracy vs. modulation order.
Figure 14. VLP accuracy vs. modulation order.
Photonics 12 00404 g014
Figure 15. BER performance of high-order NMSK in multipath fading and additive white gaussian noise channels.
Figure 15. BER performance of high-order NMSK in multipath fading and additive white gaussian noise channels.
Photonics 12 00404 g015
Table 1. System simulation parameters.
Table 1. System simulation parameters.
Simulation ParametersParameter Value
Number of OFDM symbols10,000
Interpolation factor2
Number of subcarriers128
Sequence length256
Loop prefix32
Conducting voltage1
Maximum allowable AC voltage2
Channel noiseThermal noise
Disclaimer/Publisher’s Note: The statements, opinions and data contained in all publications are solely those of the individual author(s) and contributor(s) and not of MDPI and/or the editor(s). MDPI and/or the editor(s) disclaim responsibility for any injury to people or property resulting from any ideas, methods, instructions or products referred to in the content.

Share and Cite

MDPI and ACS Style

Zhang, Y.; Li, K.; Yang, Y. Orthogonal Frequency Division Multiplexing for Visible Light Communication Based on Minimum Shift Keying Modulation. Photonics 2025, 12, 404. https://doi.org/10.3390/photonics12050404

AMA Style

Zhang Y, Li K, Yang Y. Orthogonal Frequency Division Multiplexing for Visible Light Communication Based on Minimum Shift Keying Modulation. Photonics. 2025; 12(5):404. https://doi.org/10.3390/photonics12050404

Chicago/Turabian Style

Zhang, Ying, Kexin Li, and Yufeng Yang. 2025. "Orthogonal Frequency Division Multiplexing for Visible Light Communication Based on Minimum Shift Keying Modulation" Photonics 12, no. 5: 404. https://doi.org/10.3390/photonics12050404

APA Style

Zhang, Y., Li, K., & Yang, Y. (2025). Orthogonal Frequency Division Multiplexing for Visible Light Communication Based on Minimum Shift Keying Modulation. Photonics, 12(5), 404. https://doi.org/10.3390/photonics12050404

Note that from the first issue of 2016, this journal uses article numbers instead of page numbers. See further details here.

Article Metrics

Back to TopTop