Next Article in Journal
Topology Optimization Design for Broadband Water-Based Electromagnetic Metamaterial Absorber with High Absorption Rate
Previous Article in Journal
Characterization of Nanocrystals of Eu-Doped GaN Powders Obtained via Pyrolysis, Followed by Their Nitridation
 
 
Font Type:
Arial Georgia Verdana
Font Size:
Aa Aa Aa
Line Spacing:
Column Width:
Background:
Article

Kilowatt-Level EUV Regenerative Amplifier Free-Electron Laser Enabled by Transverse Gradient Undulator in a Storage Ring

1
Shanghai Institute of Applied Physics, Chinese Academy of Sciences, Shanghai 201800, China
2
University of Chinese Academy of Sciences, Beijing 100049, China
3
Shanghai Advanced Research Institute, Chinese Academy of Sciences, Shanghai 201210, China
*
Authors to whom correspondence should be addressed.
Photonics 2025, 12(10), 983; https://doi.org/10.3390/photonics12100983
Submission received: 7 September 2025 / Revised: 28 September 2025 / Accepted: 30 September 2025 / Published: 2 October 2025
(This article belongs to the Special Issue Next-Generation X-Ray Optical Technologies and Applications)

Abstract

High-average-power extreme ultraviolet (EUV) sources are essential for large-scale nanoscale chip manufacturing, yet commercially available laser-produced plasma sources face challenges in scaling to the kilowatt level. We propose a novel scheme that combines the high repetition rate of a diffraction-limited storage ring with a regenerative amplifier free-electron laser (RAFEL) employing a transverse gradient undulator (TGU). By introducing dispersion in the storage ring, electrons of different energies are directed into corresponding magnetic field strengths of the TGU, thereby satisfying the resonance condition under a large energy spread and increasing the FEL gain. Simulations show that at equilibrium, the average EUV power exceeds 1 kW, with an output pulse energy reaching ∼2.86 μJ, while the energy spread stabilizes at ∼0.45%. These results demonstrate the feasibility of ring-based RAFEL with TGU as a promising route toward kilowatt-level EUV sources.

1. Introduction

Laser-produced plasma sources have been successfully applied in extreme ultraviolet (EUV) lithography in recent years [1]. However, achieving kilowatt-level power to support the large-scale manufacturing of nanoscale chips remains a major challenge. Advanced electron accelerator-driven light sources have emerged as a promising pathway for EUV lithography. Owing to the high lasing efficiency of free-electron lasers (FELs) driven by linear accelerators [2], a straightforward strategy is to increase the repetition rate of linear accelerators. With the worldwide development of megahertz X-ray FEL facilities driven by superconducting linear accelerators [3,4,5], the key technologies for multi-kilowatt EUV FELs for lithography have matured progressively [6,7,8]. To achieve an even higher-power EUV light source, e.g., exceeding 10 kW, the use of energy recovery linear accelerators becomes imperative [9,10,11].
Compared with linear accelerators, storage rings are an alternative candidate for generating stable EUV sources for lithography applications, as extensively studied in prior studies [12,13,14]. However, electron beams in storage rings exhibit a low peak current and high energy spread, which pose significant challenges for high-power EUV light generation. To address these limitations, several techniques have been developed to improve the wall-plug efficiency of storage ring-based EUV sources. One promising strategy involves the formation of microbunching structures at the EUV wavelength scale, enabling the production of coherent EUV radiation with kilowatt-level average power [15,16,17]. Nevertheless, the underlying physical mechanisms, such as steady-state microbunching and angular-dispersion-induced microbunching, still require experimental validation through proof-of-principle studies. Another method is to achieve high-gain FEL lasing in a storage ring, by operating with a long undulator, high electron beam energy, and a high peak current [18,19]. However, the demands for a lengthy undulator and high beam energy substantially increase the costs.
In this paper, we propose a regenerative amplifier free-electron laser (RAFEL) scheme [20] on the basis of a diffraction-limited storage ring to generate high-average-power EUV light, as illustrated in Figure 1. In this scheme, most of the EUV light is extracted to the fab factory, while only a fraction is reflected back through the mirrors as a seed of another fresh electron beam, thereby reducing the required undulator length. Furthermore, a transverse gradient undulator (TGU) [21,22] is used to enhance the FEL gain and mitigate the large-energy-spread effects of the electron beam. The structure of this article is as follows: Section 2 introduces the scheme design and fundamental theories, including FEL physics with TGU, radiation damping and equilibrium in the storage ring, and cavity design. Section 3 presents the main parameters and process of numerical simulation, as well as the simulation results, where a pulse energy of ∼2.86 μJ is generated, corresponding to an average power exceeding 1 kW. Section 4 discusses the influence of different initial energy spreads, and additional simulations based on the self-amplified spontaneous emission (SASE) mode are performed under the same electron beam parameters. Finally, Section 5 summarizes the simulation results.

2. Methods

2.1. Fel Physics with TGU

The FEL resonance condition for a planar undulator is given by
λ s = λ u 1 + K 2 / 2 2 γ 2 ,
where λ s is the resonant wavelength, K is the undulator strength parameter, λ u is the undulator period length, and γ is the electron energy normalized to the rest mass energy m 0 c 2 . The quality of the electron beam, particularly its emittance and energy spread, plays a crucial role in achieving the ideal FEL radiation output. A large energy spread broadens the bandwidth of the resonance wavelength, as indicated by the resonance condition, and simultaneously reduces the FEL gain.
The concept of the TGU was originally proposed to mitigate the adverse effects of large energy spread and has been considered for enhancing the FEL performance in laser–plasma accelerators [23], storage rings [24,25], and advanced seeded FELs [26]. In a TGU, the undulator strength parameter K varies with the transverse position, as shown in Figure 2. In storage rings, the vertical (y) emittance is significantly smaller than the horizontal (x) emittance. Therefore, dispersion is introduced in the vertical direction:
y j = D η j + y p j ,
where y j is the electron position after introducing dispersion, D is the dispersion parameter, η j ( γ j γ 0 ) / γ 0 is the relative deviation of the electron energy γ j from the average energy γ 0 , and y p j is the original orbital position of the electron.
By introducing dispersion, electrons with different energies are directed into distinct orbits that correspond to different magnetic field strengths. The field strength can then be expressed as an approximately linear function of y:
K ( y ) K 0 ( 1 + α y ) ,
where α is the TGU gradient parameter, and K 0 is the undulator parameter corresponding to γ 0 .
By substituting Equations (2) and (3) into Equation (1), the relationship between α and the dispersion parameter D is obtained when the influence of energy spread is effectively reduced:
α D = 2 + K 0 2 K 0 2
The transverse size of the electron beam after introducing dispersion is given by [27]
σ y T = σ y 2 + D 2 η j 2 .
σ y is the transverse beam size before introducing dispersion, and the increase in transverse beam size after dispersion can adversely affect the FEL performance. To mitigate this effect, the beam size should be minimized, requiring a small dispersion parameter D and a sufficiently large undulator gradient parameter α . However, practical engineering constraints limit the achievable α . Therefore, the careful selection of both D and α is essential for optimizing the FEL gain.

2.2. Radiation Damping and Beam Equilibrium in Storage Rings

After FEL emission, the electron beam energy spread increases significantly, while the emittance remains nearly unchanged. Therefore, a variation in energy spread is the primary concern. The energy spread decreases mainly due to radiation damping and reaches an equilibrium determined by the combined effects of radiation damping, quantum excitation, and the FEL interaction. At equilibrium, the increase in the energy spread caused by the FEL emission is balanced by the reduction owing to damping in the storage ring, as expressed by [25,28]
Δ ( σ 2 ) FEL = 2 T 0 τ S ( σ e 2 σ η 2 ) ,
where Δ ( σ 2 ) FEL represents the increase in the square of the relative energy spread due to the FEL interaction, T 0 is the revolution time, τ s is the longitudinal damping time, σ e is the equilibrium energy spread, and σ η is the relative energy spread in the absence of the FEL emission.
The power of FEL radiation is related to the energy spread [28,29]:
P = k out ρ P beam 2 Δ ( σ 2 ) FEL ,
where P beam is the energy of the electron beam, ρ is the Pierce parameter representing the FEL gain, and k out is the output coupling factor of the hole on the downstream mirror. By substituting Equation (6) into Equation (7), the relationship between the output radiation power and the equilibrium energy spread is obtained:
P = k out ρ P beam T 0 τ s ( σ e 2 σ η 2 )
To achieve a high FEL power, it is necessary to control the equilibrium energy spread, which can be reduced in a storage ring using damping wigglers. However, the energy spread must remain smaller than the Pierce parameter in a planar undulator to maintain effective FEL interaction. The TGU mitigates the adverse effects of a large energy spread by aligning electrons of different energies with the corresponding magnetic field strength. As a result, the FEL can operate normally even when the electron beam exhibits a relatively large energy spread.

2.3. Cavity Design

The Mo/Si multilayer film is chosen as the mirror coating, offering a reflective bandwidth of approximately 2% at 13.5 nm. Its reflectivity can reach up to 70% under a near-normal incidence of EUV radiation [30]. In this design, two Mo/Si multilayer mirrors are employed, with the 13.5 nm EUV radiation incident nearly normal to the surfaces. A near-hemispherical cavity configuration is adopted to ensure the stability of the optical field between the mirrors.
The EUV radiation generated by the undulator is coupled out through a small hole on the downstream mirror. At the same time, the maximum power density on the mirror must remain below the damage threshold, which will be discussed in more detail in the RAFEL performance section. Once the optical field inside the cavity reaches a steady state, the following equilibrium condition holds:
g · k ref · ( 1 k out ) · ( 1 k d ) = 1 ,
where g is the FEL gain of the EUV radiation, k ref is the reflectivity of the two cavity mirrors, and k d represents the diffraction loss of the optical field during propagation.
When the electron beam reaches the entrance of the TGU, it must overlap and interact with the reflected EUV radiation. To achieve this, the electron beam repetition rate f rep must be synchronized with the cavity length L cavity , satisfying the following condition: L cavity = N c 2 f rep . Here, c is the speed of light, N is an integer, and L cavity must be longer than the undulator length.

3. Numerical Simulation and Results

3.1. Parameters

The numerical simulation is divided into three stages. In the first stage, the electron beam, after introducing dispersion, interacts with the radiation field in the TGU to generate EUV radiation. This process is simulated using Genesis [31,32], modified for TGU applications. The second stage models the propagation of EUV radiation within the cavity, including reflection from the mirrors and out-coupling through a small hole, using the Optical Propagation Code [33]. The third stage accounts for the reduction of energy spread by damping in the storage ring. Since emittance growth during FEL emission is negligible, the dominant effect is the evolution of the energy spread, which becomes the primary parameter of interest. For simplicity, the bunching induced by the FEL emission is assumed to be washed out in the ring. The damped electron beam, calculated from Equation (6), is then re-injected into the TGU after introducing dispersion.
The parameters used in the numerical simulations are summarized in Table 1 and Table 2, while the storage ring parameters are derived from Ref. [16]. A 600 MeV electron beam introduced dispersion D using a dogleg configuration formed by two bending magnets, directing electrons of different energies into orbits matched to the TGU gradient parameter α . The distributions of electron beam energy γ and the position in the vertical (y) direction are illustrated in Figure 3. Figure 3a shows the initial y γ distribution of the beam, while Figure 3b presents the distribution after introducing the dispersion. According to Equation (5), lower dispersion permits a higher TGU gradient parameter α , thereby reducing beam-size broadening and improving the FEL gain, as shown in Figure 4a. The achievable TGU gradient is constrained by engineering constraints limitations; thus, a gradient of α = 110 m−1, with a corresponding introduced dispersion D = 13.3 mm, is adopted in this work to balance practical feasibility with performance optimization.
The FEL configuration consists of two TGU segments, each with 220 periods. To compensate for the natural focusing characteristics of the undulator, quadrupole magnets with an alternating focusing/defocusing-configuration lattice are placed between the segments. Figure 4b shows that the growth of the FEL power varies with different undulator segment lengths, ranging from 2 m to 4 m. A relatively long undulator section provides a better gain performance because the electron beam quality in a storage ring is generally inferior to that in a linear accelerator, leading to a longer FEL gain length. In contrast, a short undulator section interrupts the FEL gain process and reduces efficiency. Furthermore, using too many undulator segments can disrupt the introduced dispersion and compromise the resonance condition in the TGU. Therefore, in this study, two TGU segments with 4 m undulators are employed.

3.2. Simulation

The FEL emission starts from noise. As the electron beam passes through the undulator, it interacts with the radiation field to generate EUV light. A portion of this radiation is extracted through the hole on the downstream cavity mirror, while the remainder is reflected by the two cavity mirrors and re-enters the undulator to interact with subsequent electron bunches. Through repeated interactions, the EUV field builds up round by round. In a RAFEL, the hole size is a key parameter, as it directly determines the power extraction efficiency. If the hole is too small, only a limited fraction of light is coupled out, leaving most of the radiation confined within the cavity. However, with mirror reflectivity limited to about 70%, this stored radiation is rapidly attenuated between two cavity mirrors, resulting in wasting. Conversely, if the hole is too large, excessive light is extracted, and once the total cavity losses exceed the FEL gain, the optical field cannot be sustained.
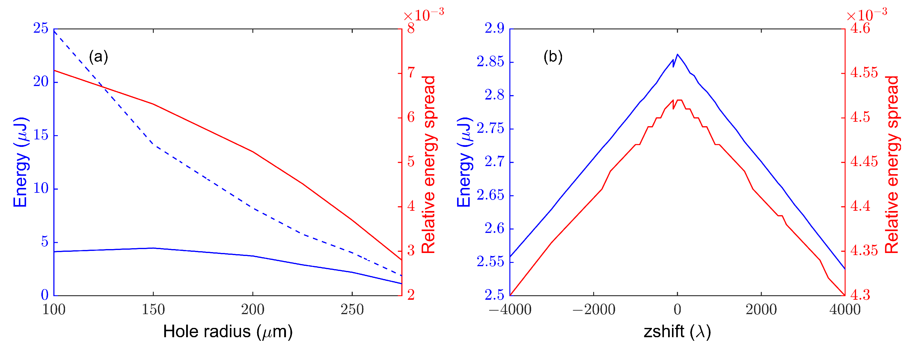
Figure 5a illustrates the dependence of EUV light pulse energy and the equilibrium electron beam energy spread on the hole radius size of the cavity mirror. The blue dashed line corresponds to the EUV energy at the undulator exit, while the blue solid line represents the coupled output energy through the hole. As the hole radius size increases, the energy at the undulator exit decreases monotonically, leading to a reduction in the equilibrium energy spread, whereas the coupled output energy first rises and then falls, reflecting the increasing coupling efficiency of the hole. Furthermore, an excessively large equilibrium energy spread can compromise the stability of the electron beam in the storage ring. To balance the high average power output with beam stability, a pinhole size of 225 μm is adopted in this study for the simulation.
Because the electron velocity is slightly less than the speed of light, the electrons fall behind the radiation field as they travel through the undulator, resulting in a slippage length. In a high-gain RAFEL, the effective slippage length is given by l slip = N u λ / 3 , where N u is the total number of undulator periods [34]. Figure 5b shows the dependence of the hole-coupled output energy and the relative energy spread on cavity detuning. Since the electron bunch length in the storage ring is much longer than the slippage length, noticeable changes in the output power require substantial cavity detuning. The output energy is directly correlated to the equilibrium-relative energy spread, with both reaching their maximum values when the cavity detuning approaches zero.

3.3. RAFEL Performance

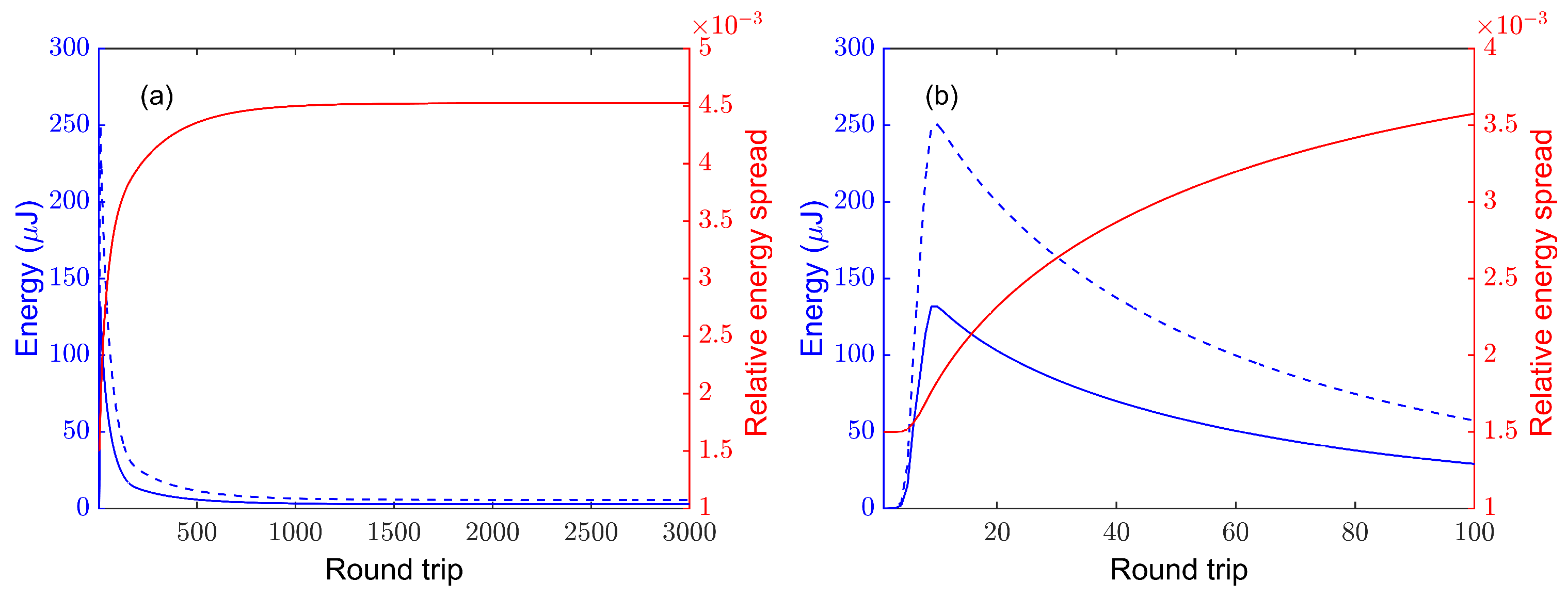
The variations in the output energy and energy spread with round trips are shown in Figure 6a when the initial energy spread of is 0.15%. Since the curves change most noticeably during the first 100 round trips, this region is enlarged and presented separately in Figure 6b. The FEL emission starts from noise, and as the number of round trips increases, the output energy rises steadily, accompanied by a corresponding increase in the energy spread. At the 10th round, the output power reaches its maximum of ∼131.69 μJ, and at this point, the energy spread shows its steepest growth, as the slope of the red curve in Figure 6b is the largest. The growth of energy spread lengthens the FEL gain length and reduces the single-pass gain in the undulator.
Figure 7 shows the evolution of the gain g of the optical field during the FEL emission and the cavity loss parameter 1 / k with a round trip. Here, k = k ref · ( 1 k out ) · ( 1 k d ) accounts for reflection losses, hole–output coupling, and diffraction losses, seen in Equation (9). When g > 1 / k , the output energy continues to increase; when g < 1 / k , the output energy will decrease. Once g = 1 / k , the output energy stops growing and decreases, reaching a turning point or equilibrium state. The output energy is positively correlated with the increase in relative energy spread, and when the output energy reaches its maximum, the slope of the energy spread curve also reaches the maximum at the 10th round. After 1000 round trips, both the output energy and the relative energy spread converge to be stable, where the FEL-induced energy spread growth is balanced by the damping in the storage ring. In this scheme, the gain g during the first ten round trips is relatively large, exhibiting the characteristics of a high-gain mode. However, as the number of round trips increases, the energy spread of the electron beam progressively grows, leading to a steady reduction in the single-pass gain. At equilibrium, the gain stabilizes below 5, positioning the system in an intermediate regime between a high-gain RAFEL and a low-gain oscillator.
At equilibrium, the relative energy spread stabilizes at ∼0.45%, and the output energy coupled through the hole is ∼2.86 μJ. With a 500 MHz RF cavity and a bucket-filling ratio of 0.8, a repetition rate of 400 MHz can be achieved, corresponding to an average output power of 1144 W. The equilibrium power density distributions are shown in Figure 8a,b, where the maximum power density on the cavity mirror is ∼0.87 mJ/cm2, and the maximum power density of the output light spot is ∼2.88 mJ/cm2, with a spot size of roughly 0.2 mm at the exit. At the 10th round, when the output power reaches its maximum, the corresponding power density distributions are illustrated in Figure 8c,d. At this point, the maximum power density on the cavity mirror is ∼38.74 mJ/cm2, which is substantially higher than the equilibrium value but still below the reported damage threshold of 83 mJ/cm2 for Mo/Si multilayer film [11,35]. After the 10th round, the output energy gradually decreases, and the maximum mirror power density declines until it stabilizes at ∼0.87 mJ/cm2 in equilibrium. These results indicate that thermal loading on the cavity mirror remains within controllable limits.

4. Discussion

The output pulse energy curves for different initial relative energy spreads σ 0 of 0.1%, 0.15%, 0.2%, 0.25%, and 0.3% are shown in Figure 9. As the number of round trips increases, the output energy first rises, then decreases, and eventually stabilizes at the equilibrium state. This behavior demonstrates that the final equilibrium state is independent of the initial energy spread. However, beams with smaller initial relative energy spreads exhibit higher peak output energy, which corresponds to higher power densities on the cavity mirrors and may increase the risk of mirror damage. Conversely, beams with excessively large initial relative energy spread shows slower growth in output pulse energy and lower peak energy due to a lower FEL gain, even though the TGU helps mitigate the effects of the large energy spread. Moreover, such a large initial relative energy spread is a challenge in a storage ring. Therefore, an electron beam with a relatively large but still feasible initial energy spread is most advantageous for stable device operation.
The equilibrium-relative energy spread of the electron beam is ∼0.45%, which presents a significant challenge for the ring lattice design and may exacerbate the instability. According to Equation (8), achieving a high output power while simultaneously reducing the equilibrium energy spread requires careful adjustment for the storage ring parameters. The most direct approach is to increase the electron beam energy; however, this approach also raises the overall construction cost of the facility. Therefore, future designs must balance lattice design constraints with economic considerations. Under the condition that the lattice design permits a maximum equilibrium energy spread, the electron beam energy should be minimized to the lowest feasible value.
The FEL gain length of a normal planar undulator is much longer than that of a TGU, which means that a RAFEL with a planar undulator cannot operate at 13.5 nm under identical electron-beam parameters and undulator length. The SASE mode with a planar undulator, as listed in Table 3, is simulated, and the results are shown in Figure 10. The storage ring parameters are the same as those in Table 1, and the facility consists of 16 undulator sections, each containing 166 periods with a period length of 1.8 cm. The length of a single undulator section is approximately 3 m, giving a total undulator length of 48 m, while the RAFEL mode based on the TGU employs two undulator sections of about 4 m each, with a total length of only 8 m. Thus, the SASE mode scheme requires significantly longer undulators than the TGU-based RAFEL. Since the initial relative energy spread of the electron beam (0.15%) is larger than the equilibrium value, the damping-induced reduction in the energy spread dominates the FEL-induced broadening, leading to a gradual decrease in the energy spread with successive round trips. This reduction shortens the gain length, thereby enhancing the output energy until equilibrium is established. In the SASE mode, the entire generated EUV pulse is extracted as output, while only a part is coupled out through a hole in the RAFEL. At equilibrium, the relative energy spread of the electron beam is 0.117%, the output pulse energy is 0.95 μJ, and the corresponding average output power is 380 W. The output energy of the SASE mode is much lower than the RAFEL mode, which reaches ∼2.86 μJ. Achieving a higher average power in the SASE mode would require increasing both the electron beam energy and total number of undulator segments, substantially raising the facility’s construction cost.

5. Conclusions

In this study, we propose a TGU-based RAFEL driven by a diffraction-limited storage ring, achieving high average EUV output power exceeding 1 kW. By introducing vertical dispersion into the storage ring, electrons with different energies are directed into the corresponding magnetic field strengths of the TGU, thereby satisfying the resonance condition for lasing. The TGU effectively mitigates the adverse effect of the large energy spread and reduces the FEL gain length. During the FEL emission, the energy spread of the beams increases, while it is reduced by radiation damping in the storage ring, and it will stay in an equilibrium state when the energy spread no longer varies under the combined effects of radiation damping, quantum excitation, and FEL emission. As a result, the output pulse energy is ∼2.86 μJ, and the relative energy spread is ∼0.45% at equilibrium. This equilibrium state is independent of the initial energy spread. However, an equilibrium energy spread of ∼0.45% also presents a significant challenge for lattice design in storage ring. Therefore, in further work, it is necessary to comprehensively consider the lattice design and storage ring parameters while achieving high average power.

Author Contributions

Conceptualization, H.D., C.H., N.H. and B.L.; methodology, C.H., H.D., N.H. and C.L.; software, N.H., C.H. and T.L.; validation, H.D., C.H., N.H. and B.L.; writing—original draft preparation, C.H.; writing–review and editing, H.D., C.H., N.H. and B.L. All authors have read and agreed to the published version of the manuscript.

Funding

This work was supported by the National Key Research and Development Program of China (2024YFA1612101, 2024YFA1612104), the National Natural Science Foundation of China (12125508), the CAS Project for Young Scientists in Basic Research (YSBR-042), and Shanghai Pilot Program for Basic Research—Chinese Academy of Sciences, Shanghai Branch (JCYJ-SHFY-2021-010).

Institutional Review Board Statement

Not applicable.

Informed Consent Statement

Not applicable.

Data Availability Statement

Data are contained within the article, as shown in the figures and associated descriptions.

Conflicts of Interest

The authors declare no conflicts of interest.

References

  1. Fomenkov, I. EUV source for lithography in HVM: Performance and prospects. In Proceedings of the Source Workshop, Amsterdam, The Netherlands, 5 November 2019; pp. 1–71. Available online: https://euvlitho.com/2019/S1.pdf (accessed on 1 May 2025).
  2. Huang, N.; Deng, H.; Liu, B.; Wang, D.; Zhao, Z. Features and futures of X-ray free-electron lasers. Innovation 2021, 2, 100097. [Google Scholar] [CrossRef] [PubMed]
  3. Zhou, F.; Adolphsen, C.; Benwell, A.; Brown, G.; Dowell, D.; Dunning, M.; Gilevich, S.; Grouev, K.; Huang, G.; Jacobson, B.; et al. Commissioning of the SLAC linac coherent light source II electron source. Phys. Rev. Accel. Beams 2021, 24, 073401. [Google Scholar] [CrossRef]
  4. Decking, W.; Abeghyan, S.; Abramian, P.; Abramsky, A.; Aguirre, A.; Albrecht, C.; Alou, P.; Altarelli, M.; Altmann, P.; Amyan, K.; et al. A MHz-repetition-rate hard X-ray free-electron laser driven by a superconducting linear accelerator. Nat. Photonics 2020, 14, 391–397. [Google Scholar] [CrossRef]
  5. Huang, N.S.; Liu, Z.P.; Deng, B.J.; Zhu, Z.H.; Li, S.H.; Liu, T.; Qi, Z.; Yan, J.W.; Zhang, W.; Xiang, S.W.; et al. The MING proposal at SHINE: Megahertz cavity enhanced X-ray generation. Nucl. Sci. Tech. 2023, 34, 6. [Google Scholar] [CrossRef]
  6. Wang, X.H.; Shu, G.; Qian, H.J.; Li, X.D.; Liu, Z.P.; Jiang, Z.G.; Meng, H.; Xing, C.C.; Zhou, Q.; Deng, H.X. Experimental demonstration of dark current mitigation by an over-inserted plug in a normal conducting very-high-frequency gun. Phys. Rev. Accel. Beams 2025, 28, 043401. [Google Scholar] [CrossRef]
  7. Huang, X.; Wu, X.; Chen, J.; Zong, Y.; Wang, Z.; Xing, S.; Wu, J.; He, X.; Ma, Z.; Zhao, S.; et al. Fabrication and test of the 1.3 GHz 3-cell superconducting cavities for high-current application. Nucl. Instruments Methods Phys. Res. Sect. A Accel. Spectrometers Detect. Assoc. Equip. 2025, 1082, 170910. [Google Scholar] [CrossRef]
  8. Chen, J.F.; Zong, Y.; Pu, X.Y.; Xiang, S.W.; Xing, S.; Li, Z.; Liu, X.M.; Zhai, Y.F.; Wu, X.W.; He, Y.Z.; et al. Ultra-high quality factor and ultra-high accelerating gradient achievements in a 1.3 GHz continuous wave cryomodule. Nucl. Sci. Tech. 2025, 36, 25. [Google Scholar] [CrossRef]
  9. Nakamura, N.; Kato, R.; Sakai, H.; Tsuchiya, K.; Tanimoto, Y.; Honda, Y.; Miyajima, T.; Shimada, M.; Tanikawa, T.; Tanaka, O.A.; et al. High-power EUV free-electron laser for future lithography. Jpn. J. Appl. Phys. 2023, 62, SG0809. [Google Scholar] [CrossRef]
  10. He, C.; Yang, H.; Huang, N.; Liu, B.; Deng, H. Cavity-based compact light source for extreme ultraviolet lithography. Phys. Rev. Accel. Beams 2025, 28, 030702. [Google Scholar] [CrossRef]
  11. Freund, H.P.; van der Slot, P.J.; O’Shea, P.G. Efficiency enhancement in regenerative amplifier free-electron lasers using a tapered undulator. J. Appl. Phys. 2025, 138, 043104. [Google Scholar] [CrossRef]
  12. Dattoli, G.; Doria, A.; Gallerano, G.P.; Giannessi, L.; Hesch, K.; Moser, H.O.; Ottaviani, P.L.; Pellegrin, E.; Rossmanith, R.; Steininger, R.; et al. Extreme ultraviolet (EUV) sources for lithography based on synchrotron radiation. Nucl. Instruments Methods Phys. Res. Sect. A Accel. Spectrometers Detect. Assoc. Equip. 2001, 474, 259–272. [Google Scholar] [CrossRef]
  13. Murphy, J.B.; White, D.; MacDowell, A.A.; Wood, O.R. Synchrotron radiation sources and condensers for projection X-ray lithography. Appl. Opt. 1993, 32, 6920–6929. [Google Scholar] [CrossRef] [PubMed]
  14. Murphy, J.B.; Pellegrini, C. Free electron lasers for the XUV spectral region. Nucl. Instruments Methods Phys. Res. Sect. A Accel. Spectrometers Detect. Assoc. Equip. 1985, 237, 159–167. [Google Scholar] [CrossRef]
  15. Jiang, B.; Feng, C.; Li, C.; Bai, Z.; Wan, W.; Xiang, D.; Gu, Q.; Wang, K.; Zhang, Q.; Huang, D.; et al. A synchrotron-based kilowatt-level radiation source for EUV lithography. Sci. Rep. 2022, 12, 3325. [Google Scholar] [CrossRef]
  16. Li, C.; Jiang, B.; Feng, C.; Gu, Q.; Bai, Z.; Wan, W.; Zhang, Q.; Wang, K. Toward a storage ring coherent light source based on an angular dispersion-induced microbunching scheme. Synchrotron Radiat. 2025, 32, 82–89. [Google Scholar] [CrossRef]
  17. Deng, X.; Chao, A.; Feikes, J.; Hoehl, A.; Huang, W.; Klein, R.; Kruschinski, A.; Li, J.; Matveenko, A.; Petenev, Y.; et al. Experimental demonstration of the mechanism of steady-state microbunching. Nature 2021, 590, 576–579. [Google Scholar] [CrossRef]
  18. Lee, J.; Jang, G.; Kim, J.; Oh, B.; Kim, D.E.; Lee, S.S.; Kim, J.H.; Ko, J.; Min, C.; Shin, S. Demonstration of a ring-FEL as an EUV lithography tool. Synchrotron Radiat. 2020, 27, 864–869. [Google Scholar] [CrossRef]
  19. Zhou, K.; Li, R.; Bai, Z. Sustainable early-stage lasing in a low-emittance electron storage ring. Appl. Phys. Lett. 2023, 123, 241106. [Google Scholar] [CrossRef]
  20. Freund, H.P.; van der Slot, P.J.; Shvyd’ko, Y. An X-ray regenerative amplifier free-electron laser using diamond pinhole mirrors. New J. Phys. 2019, 21, 093028. [Google Scholar] [CrossRef]
  21. Smith, T.; Madey, J.M.; Elias, L.; Deacon, D.A. Reducing the sensitivity of a free-electron laser to electron energy. J. Appl. Phys. 1979, 50, 4580–4583. [Google Scholar] [CrossRef]
  22. Kroll, N.M.; Morton, P.; Rosenbluth, M.N. Theory of the transverse gradient wiggler. IEEE J. Quantum Electron. 1980, 17, 1496–1507. [Google Scholar] [CrossRef]
  23. Huang, Z.; Ding, Y.; Schroeder, C.B. Compact X-ray Free-Electron Laser from a Laser-Plasma Accelerator Using a Transverse-Gradient Undulator. Phys. Rev. Lett. 2012, 109, 204801. [Google Scholar] [CrossRef]
  24. Baxevanis, P.; Ding, Y.; Huang, Z.; Ruth, R. 3D theory of a high-gain free-electron laser based on a transverse gradient undulator. Phys. Rev. Spec. Top.-Accel. Beams 2014, 17, 020701. [Google Scholar] [CrossRef]
  25. Li, Y.; Lindberg, R.; Kim, K.J. Transverse gradient undulator in a storage ring X-ray free electron laser oscillator. Phys. Rev. Accel. Beams 2023, 26, 030702. [Google Scholar] [CrossRef]
  26. Deng, H.; Feng, C. Using Off-Resonance Laser Modulation for Beam-Energy-Spread Cooling in Generation of Short-Wavelength Radiation. Phys. Rev. Lett. 2013, 111, 084801. [Google Scholar] [CrossRef]
  27. Baxevanis, P.; Huang, Z.; Ruth, R.; Schroeder, C.B. Eigenmode analysis of a high-gain free-electron laser based on a transverse gradient undulator. Phys. Rev. Spec. Top.-Accel. Beams 2015, 18, 010701. [Google Scholar] [CrossRef]
  28. Huang, Z.; Bane, K.; Cai, Y.; Chao, A.; Hettel, R.; Pellegrini, C. Steady-state analysis of short-wavelength, high-gain FELs in a large storage ring. Nucl. Instruments Methods Phys. Res. Sect. A Accel. Spectrometers Detect. Assoc. Equip. 2008, 593, 120–124. [Google Scholar] [CrossRef]
  29. Loewen, R. Compact Storage Ring FEL: A kW-scale EUV lithography source. In Proceedings of the 5th EUV-FEL Workshop, Online, 10 June 2021; Available online: https://www.euvlitho.com/2021/P48.pdf (accessed on 1 May 2025).
  30. Braun, S.; Mai, H.; Moss, M.; Scholz, R.; Leson, A. Mo/Si multilayers with different barrier layers for applications as extreme ultraviolet mirrors. Jpn. J. Appl. Phys. 2002, 41, 4074. [Google Scholar] [CrossRef]
  31. Reiche, S. GENESIS 1.3: A fully 3D time-dependent FEL simulation code. Nucl. Instruments Methods Phys. Res. Sect. A Accel. Spectrometers Detect. Assoc. Equip. 1999, 429, 243–248. [Google Scholar] [CrossRef]
  32. Liu, T.; Qin, W.; Ding, Y.; Wang, D.; Huang, Z. Beam Dynamics Studies of the Transverse Gradient Undulator and Its Application to Suppression of Microbunching Instability. In Proceedings of the 8th International Particle Accelerator Conference (IPAC’17), Copenhagen, Denmark, 14–19 May 2017; JACOW: Geneva, Switzerland, 2017; pp. 3895–3898. Available online: https://s3.cern.ch/inspire-prod-files-c/c1a4ddf593ce6f39e39cdc8036939eab (accessed on 1 May 2025).
  33. Karssenberg, J.; van der Slot, P.J.; Volokhine, I.; Verschuur, J.W.; Boller, K.J. Modeling paraxial wave propagation in free-electron laser oscillators. J. Appl. Phys. 2006, 100, 093106. [Google Scholar] [CrossRef]
  34. Freund, H.; Nguyen, D.; Sprangle, P.; van der Slot, P.J. Three-dimensional, time-dependent simulation of a regenerative amplifier free-electron laser. Phys. Rev. Spec. Top. Beams 2013, 16, 010707. [Google Scholar] [CrossRef]
  35. Makhotkin, I.A.; Sobierajski, R.; Chalupskỳ, J.; Tiedtke, K.; de Vries, G.; Störmer, M.; Scholze, F.; Siewert, F.; Van De Kruijs, R.W.; Milov, I.; et al. Experimental study of EUV mirror radiation damage resistance under long-term free-electron laser exposures below the single-shot damage threshold. Synchrotron Radiat. 2018, 25, 77–84. [Google Scholar] [CrossRef] [PubMed]
Figure 1. Schematic illustration of the ring-FEL configuration.
Figure 1. Schematic illustration of the ring-FEL configuration.
Photonics 12 00983 g001
Figure 2. Cross-sectional schematic of the transverse gradient undulator.
Figure 2. Cross-sectional schematic of the transverse gradient undulator.
Photonics 12 00983 g002
Figure 3. The distributions of electron beam energy γ and the position in the vertical (y) direction (a) before introducing dispersion and (b) after introducing dispersion.
Figure 3. The distributions of electron beam energy γ and the position in the vertical (y) direction (a) before introducing dispersion and (b) after introducing dispersion.
Photonics 12 00983 g003
Figure 4. (a) The growth of FEL power varies with different TGU gradient parameter α . (b) The growth of FEL power varies with different undulator segment lengths, ranging from 2 m to 4 m.
Figure 4. (a) The growth of FEL power varies with different TGU gradient parameter α . (b) The growth of FEL power varies with different undulator segment lengths, ranging from 2 m to 4 m.
Photonics 12 00983 g004
Figure 5. Pulse energy and equilibrium-relative energy spread with (a) hole radius and (b) cavity detuning. The blue dashed line corresponds to the EUV energy at the undulator exit, while the blue solid line represents the coupled output energy through the hole.
Figure 5. Pulse energy and equilibrium-relative energy spread with (a) hole radius and (b) cavity detuning. The blue dashed line corresponds to the EUV energy at the undulator exit, while the blue solid line represents the coupled output energy through the hole.
Photonics 12 00983 g005
Figure 6. The output pulse energy and relative energy spread evolution (a) from 0th to 3000th round, and (b) from 0th to 100th round. The blue dashed line corresponds to the EUV energy at the undulator exit, while the blue solid line represents the coupled output energy through the hole.
Figure 6. The output pulse energy and relative energy spread evolution (a) from 0th to 3000th round, and (b) from 0th to 100th round. The blue dashed line corresponds to the EUV energy at the undulator exit, while the blue solid line represents the coupled output energy through the hole.
Photonics 12 00983 g006
Figure 7. The evolution of the gain g of the optical field in the FEL emission and the loss parameter 1 / k (a) from 0th to 3000th round, and (b) from 0th to 100th round.
Figure 7. The evolution of the gain g of the optical field in the FEL emission and the loss parameter 1 / k (a) from 0th to 3000th round, and (b) from 0th to 100th round.
Photonics 12 00983 g007
Figure 8. The power density distributions of (a) pulse on the downstream mirror and (b) output pulse coupled through the hole at the equilibrium. The power density distributions of (c) pulse on the downstream mirror and (d) output pulse at the round trip 10.
Figure 8. The power density distributions of (a) pulse on the downstream mirror and (b) output pulse coupled through the hole at the equilibrium. The power density distributions of (c) pulse on the downstream mirror and (d) output pulse at the round trip 10.
Photonics 12 00983 g008
Figure 9. The evolution curve of output pulse energy with different initial relative energy spread.
Figure 9. The evolution curve of output pulse energy with different initial relative energy spread.
Photonics 12 00983 g009
Figure 10. The energy and energy spread curve at the SASE mode.
Figure 10. The energy and energy spread curve at the SASE mode.
Photonics 12 00983 g010
Table 1. Electron beam parameters of storage ring.
Table 1. Electron beam parameters of storage ring.
ParameterValuesUnit
Beam energy600MeV
Geometric emittance (x/y)498/5.5pm.rad
Circumference168m
Damping time ( τ x / τ y / τ s )8.09/8.31/4.22ms
Relative energy spread without FEL emission0.05%
Bunch length (RMS)1.37mm
Peak current100A
Table 2. TGU and cavity parameters.
Table 2. TGU and cavity parameters.
ParameterValuesUnit
Wavelength13.5nm
Undulator period1.8cm
Number of periods220
Total number of undulator segments2
Undulator parameter K1.4614
TGU gradient parameter α 110m−1
Reflectivity of mirror70%
Cavity length19.5m
Table 3. The planar undulator parameters in SASE mode.
Table 3. The planar undulator parameters in SASE mode.
ParameterValuesUnit
Wavelength13.5nm
Undulator period1.8cm
Number of periods166
Undulator parameter K1.4614
Total number of undulator segments16
Disclaimer/Publisher’s Note: The statements, opinions and data contained in all publications are solely those of the individual author(s) and contributor(s) and not of MDPI and/or the editor(s). MDPI and/or the editor(s) disclaim responsibility for any injury to people or property resulting from any ideas, methods, instructions or products referred to in the content.

Share and Cite

MDPI and ACS Style

He, C.; Huang, N.; Liu, T.; Li, C.; Liu, B.; Deng, H. Kilowatt-Level EUV Regenerative Amplifier Free-Electron Laser Enabled by Transverse Gradient Undulator in a Storage Ring. Photonics 2025, 12, 983. https://doi.org/10.3390/photonics12100983

AMA Style

He C, Huang N, Liu T, Li C, Liu B, Deng H. Kilowatt-Level EUV Regenerative Amplifier Free-Electron Laser Enabled by Transverse Gradient Undulator in a Storage Ring. Photonics. 2025; 12(10):983. https://doi.org/10.3390/photonics12100983

Chicago/Turabian Style

He, Changchao, Nanshun Huang, Tao Liu, Changliang Li, Bo Liu, and Haixiao Deng. 2025. "Kilowatt-Level EUV Regenerative Amplifier Free-Electron Laser Enabled by Transverse Gradient Undulator in a Storage Ring" Photonics 12, no. 10: 983. https://doi.org/10.3390/photonics12100983

APA Style

He, C., Huang, N., Liu, T., Li, C., Liu, B., & Deng, H. (2025). Kilowatt-Level EUV Regenerative Amplifier Free-Electron Laser Enabled by Transverse Gradient Undulator in a Storage Ring. Photonics, 12(10), 983. https://doi.org/10.3390/photonics12100983

Note that from the first issue of 2016, this journal uses article numbers instead of page numbers. See further details here.

Article Metrics

Back to TopTop