Kilowatt-Level EUV Regenerative Amplifier Free-Electron Laser Enabled by Transverse Gradient Undulator in a Storage Ring
Abstract
1. Introduction
2. Methods
2.1. Fel Physics with TGU
2.2. Radiation Damping and Beam Equilibrium in Storage Rings
2.3. Cavity Design
3. Numerical Simulation and Results
3.1. Parameters
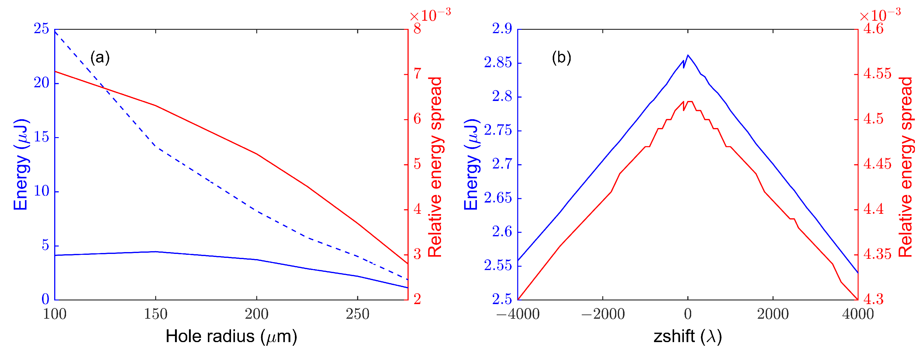
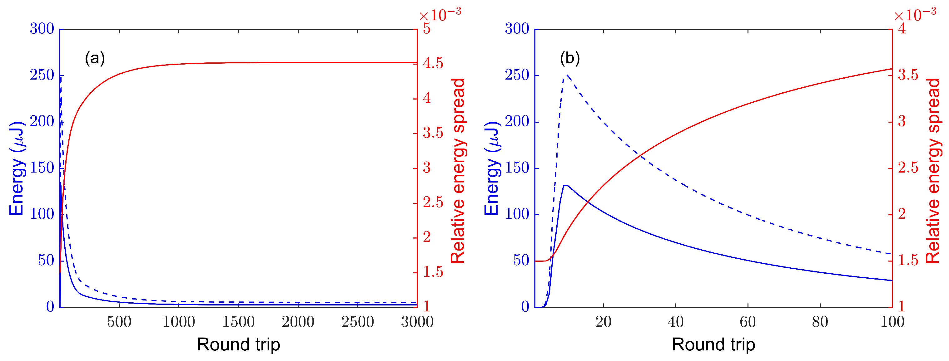
3.2. Simulation
3.3. RAFEL Performance
4. Discussion
5. Conclusions
Author Contributions
Funding
Institutional Review Board Statement
Informed Consent Statement
Data Availability Statement
Conflicts of Interest
References
- Fomenkov, I. EUV source for lithography in HVM: Performance and prospects. In Proceedings of the Source Workshop, Amsterdam, The Netherlands, 5 November 2019; pp. 1–71. Available online: https://euvlitho.com/2019/S1.pdf (accessed on 1 May 2025).
- Huang, N.; Deng, H.; Liu, B.; Wang, D.; Zhao, Z. Features and futures of X-ray free-electron lasers. Innovation 2021, 2, 100097. [Google Scholar] [CrossRef] [PubMed]
- Zhou, F.; Adolphsen, C.; Benwell, A.; Brown, G.; Dowell, D.; Dunning, M.; Gilevich, S.; Grouev, K.; Huang, G.; Jacobson, B.; et al. Commissioning of the SLAC linac coherent light source II electron source. Phys. Rev. Accel. Beams 2021, 24, 073401. [Google Scholar] [CrossRef]
- Decking, W.; Abeghyan, S.; Abramian, P.; Abramsky, A.; Aguirre, A.; Albrecht, C.; Alou, P.; Altarelli, M.; Altmann, P.; Amyan, K.; et al. A MHz-repetition-rate hard X-ray free-electron laser driven by a superconducting linear accelerator. Nat. Photonics 2020, 14, 391–397. [Google Scholar] [CrossRef]
- Huang, N.S.; Liu, Z.P.; Deng, B.J.; Zhu, Z.H.; Li, S.H.; Liu, T.; Qi, Z.; Yan, J.W.; Zhang, W.; Xiang, S.W.; et al. The MING proposal at SHINE: Megahertz cavity enhanced X-ray generation. Nucl. Sci. Tech. 2023, 34, 6. [Google Scholar] [CrossRef]
- Wang, X.H.; Shu, G.; Qian, H.J.; Li, X.D.; Liu, Z.P.; Jiang, Z.G.; Meng, H.; Xing, C.C.; Zhou, Q.; Deng, H.X. Experimental demonstration of dark current mitigation by an over-inserted plug in a normal conducting very-high-frequency gun. Phys. Rev. Accel. Beams 2025, 28, 043401. [Google Scholar] [CrossRef]
- Huang, X.; Wu, X.; Chen, J.; Zong, Y.; Wang, Z.; Xing, S.; Wu, J.; He, X.; Ma, Z.; Zhao, S.; et al. Fabrication and test of the 1.3 GHz 3-cell superconducting cavities for high-current application. Nucl. Instruments Methods Phys. Res. Sect. A Accel. Spectrometers Detect. Assoc. Equip. 2025, 1082, 170910. [Google Scholar] [CrossRef]
- Chen, J.F.; Zong, Y.; Pu, X.Y.; Xiang, S.W.; Xing, S.; Li, Z.; Liu, X.M.; Zhai, Y.F.; Wu, X.W.; He, Y.Z.; et al. Ultra-high quality factor and ultra-high accelerating gradient achievements in a 1.3 GHz continuous wave cryomodule. Nucl. Sci. Tech. 2025, 36, 25. [Google Scholar] [CrossRef]
- Nakamura, N.; Kato, R.; Sakai, H.; Tsuchiya, K.; Tanimoto, Y.; Honda, Y.; Miyajima, T.; Shimada, M.; Tanikawa, T.; Tanaka, O.A.; et al. High-power EUV free-electron laser for future lithography. Jpn. J. Appl. Phys. 2023, 62, SG0809. [Google Scholar] [CrossRef]
- He, C.; Yang, H.; Huang, N.; Liu, B.; Deng, H. Cavity-based compact light source for extreme ultraviolet lithography. Phys. Rev. Accel. Beams 2025, 28, 030702. [Google Scholar] [CrossRef]
- Freund, H.P.; van der Slot, P.J.; O’Shea, P.G. Efficiency enhancement in regenerative amplifier free-electron lasers using a tapered undulator. J. Appl. Phys. 2025, 138, 043104. [Google Scholar] [CrossRef]
- Dattoli, G.; Doria, A.; Gallerano, G.P.; Giannessi, L.; Hesch, K.; Moser, H.O.; Ottaviani, P.L.; Pellegrin, E.; Rossmanith, R.; Steininger, R.; et al. Extreme ultraviolet (EUV) sources for lithography based on synchrotron radiation. Nucl. Instruments Methods Phys. Res. Sect. A Accel. Spectrometers Detect. Assoc. Equip. 2001, 474, 259–272. [Google Scholar] [CrossRef]
- Murphy, J.B.; White, D.; MacDowell, A.A.; Wood, O.R. Synchrotron radiation sources and condensers for projection X-ray lithography. Appl. Opt. 1993, 32, 6920–6929. [Google Scholar] [CrossRef] [PubMed]
- Murphy, J.B.; Pellegrini, C. Free electron lasers for the XUV spectral region. Nucl. Instruments Methods Phys. Res. Sect. A Accel. Spectrometers Detect. Assoc. Equip. 1985, 237, 159–167. [Google Scholar] [CrossRef][Green Version]
- Jiang, B.; Feng, C.; Li, C.; Bai, Z.; Wan, W.; Xiang, D.; Gu, Q.; Wang, K.; Zhang, Q.; Huang, D.; et al. A synchrotron-based kilowatt-level radiation source for EUV lithography. Sci. Rep. 2022, 12, 3325. [Google Scholar] [CrossRef]
- Li, C.; Jiang, B.; Feng, C.; Gu, Q.; Bai, Z.; Wan, W.; Zhang, Q.; Wang, K. Toward a storage ring coherent light source based on an angular dispersion-induced microbunching scheme. Synchrotron Radiat. 2025, 32, 82–89. [Google Scholar] [CrossRef]
- Deng, X.; Chao, A.; Feikes, J.; Hoehl, A.; Huang, W.; Klein, R.; Kruschinski, A.; Li, J.; Matveenko, A.; Petenev, Y.; et al. Experimental demonstration of the mechanism of steady-state microbunching. Nature 2021, 590, 576–579. [Google Scholar] [CrossRef]
- Lee, J.; Jang, G.; Kim, J.; Oh, B.; Kim, D.E.; Lee, S.S.; Kim, J.H.; Ko, J.; Min, C.; Shin, S. Demonstration of a ring-FEL as an EUV lithography tool. Synchrotron Radiat. 2020, 27, 864–869. [Google Scholar] [CrossRef]
- Zhou, K.; Li, R.; Bai, Z. Sustainable early-stage lasing in a low-emittance electron storage ring. Appl. Phys. Lett. 2023, 123, 241106. [Google Scholar] [CrossRef]
- Freund, H.P.; van der Slot, P.J.; Shvyd’ko, Y. An X-ray regenerative amplifier free-electron laser using diamond pinhole mirrors. New J. Phys. 2019, 21, 093028. [Google Scholar] [CrossRef]
- Smith, T.; Madey, J.M.; Elias, L.; Deacon, D.A. Reducing the sensitivity of a free-electron laser to electron energy. J. Appl. Phys. 1979, 50, 4580–4583. [Google Scholar] [CrossRef]
- Kroll, N.M.; Morton, P.; Rosenbluth, M.N. Theory of the transverse gradient wiggler. IEEE J. Quantum Electron. 1980, 17, 1496–1507. [Google Scholar] [CrossRef]
- Huang, Z.; Ding, Y.; Schroeder, C.B. Compact X-ray Free-Electron Laser from a Laser-Plasma Accelerator Using a Transverse-Gradient Undulator. Phys. Rev. Lett. 2012, 109, 204801. [Google Scholar] [CrossRef]
- Baxevanis, P.; Ding, Y.; Huang, Z.; Ruth, R. 3D theory of a high-gain free-electron laser based on a transverse gradient undulator. Phys. Rev. Spec. Top.-Accel. Beams 2014, 17, 020701. [Google Scholar] [CrossRef]
- Li, Y.; Lindberg, R.; Kim, K.J. Transverse gradient undulator in a storage ring X-ray free electron laser oscillator. Phys. Rev. Accel. Beams 2023, 26, 030702. [Google Scholar] [CrossRef]
- Deng, H.; Feng, C. Using Off-Resonance Laser Modulation for Beam-Energy-Spread Cooling in Generation of Short-Wavelength Radiation. Phys. Rev. Lett. 2013, 111, 084801. [Google Scholar] [CrossRef]
- Baxevanis, P.; Huang, Z.; Ruth, R.; Schroeder, C.B. Eigenmode analysis of a high-gain free-electron laser based on a transverse gradient undulator. Phys. Rev. Spec. Top.-Accel. Beams 2015, 18, 010701. [Google Scholar] [CrossRef]
- Huang, Z.; Bane, K.; Cai, Y.; Chao, A.; Hettel, R.; Pellegrini, C. Steady-state analysis of short-wavelength, high-gain FELs in a large storage ring. Nucl. Instruments Methods Phys. Res. Sect. A Accel. Spectrometers Detect. Assoc. Equip. 2008, 593, 120–124. [Google Scholar] [CrossRef]
- Loewen, R. Compact Storage Ring FEL: A kW-scale EUV lithography source. In Proceedings of the 5th EUV-FEL Workshop, Online, 10 June 2021; Available online: https://www.euvlitho.com/2021/P48.pdf (accessed on 1 May 2025).
- Braun, S.; Mai, H.; Moss, M.; Scholz, R.; Leson, A. Mo/Si multilayers with different barrier layers for applications as extreme ultraviolet mirrors. Jpn. J. Appl. Phys. 2002, 41, 4074. [Google Scholar] [CrossRef]
- Reiche, S. GENESIS 1.3: A fully 3D time-dependent FEL simulation code. Nucl. Instruments Methods Phys. Res. Sect. A Accel. Spectrometers Detect. Assoc. Equip. 1999, 429, 243–248. [Google Scholar] [CrossRef]
- Liu, T.; Qin, W.; Ding, Y.; Wang, D.; Huang, Z. Beam Dynamics Studies of the Transverse Gradient Undulator and Its Application to Suppression of Microbunching Instability. In Proceedings of the 8th International Particle Accelerator Conference (IPAC’17), Copenhagen, Denmark, 14–19 May 2017; JACOW: Geneva, Switzerland, 2017; pp. 3895–3898. Available online: https://s3.cern.ch/inspire-prod-files-c/c1a4ddf593ce6f39e39cdc8036939eab (accessed on 1 May 2025).
- Karssenberg, J.; van der Slot, P.J.; Volokhine, I.; Verschuur, J.W.; Boller, K.J. Modeling paraxial wave propagation in free-electron laser oscillators. J. Appl. Phys. 2006, 100, 093106. [Google Scholar] [CrossRef]
- Freund, H.; Nguyen, D.; Sprangle, P.; van der Slot, P.J. Three-dimensional, time-dependent simulation of a regenerative amplifier free-electron laser. Phys. Rev. Spec. Top. Beams 2013, 16, 010707. [Google Scholar] [CrossRef]
- Makhotkin, I.A.; Sobierajski, R.; Chalupskỳ, J.; Tiedtke, K.; de Vries, G.; Störmer, M.; Scholze, F.; Siewert, F.; Van De Kruijs, R.W.; Milov, I.; et al. Experimental study of EUV mirror radiation damage resistance under long-term free-electron laser exposures below the single-shot damage threshold. Synchrotron Radiat. 2018, 25, 77–84. [Google Scholar] [CrossRef] [PubMed]










| Parameter | Values | Unit |
|---|---|---|
| Beam energy | 600 | MeV |
| Geometric emittance (x/y) | 498/5.5 | pm.rad |
| Circumference | 168 | m |
| Damping time (//) | 8.09/8.31/4.22 | ms |
| Relative energy spread without FEL emission | 0.05% | |
| Bunch length (RMS) | 1.37 | mm |
| Peak current | 100 | A |
| Parameter | Values | Unit |
|---|---|---|
| Wavelength | 13.5 | nm |
| Undulator period | 1.8 | cm |
| Number of periods | 220 | |
| Total number of undulator segments | 2 | |
| Undulator parameter K | 1.4614 | |
| TGU gradient parameter | 110 | m−1 |
| Reflectivity of mirror | 70% | |
| Cavity length | 19.5 | m |
| Parameter | Values | Unit |
|---|---|---|
| Wavelength | 13.5 | nm |
| Undulator period | 1.8 | cm |
| Number of periods | 166 | |
| Undulator parameter K | 1.4614 | |
| Total number of undulator segments | 16 |
Disclaimer/Publisher’s Note: The statements, opinions and data contained in all publications are solely those of the individual author(s) and contributor(s) and not of MDPI and/or the editor(s). MDPI and/or the editor(s) disclaim responsibility for any injury to people or property resulting from any ideas, methods, instructions or products referred to in the content. |
© 2025 by the authors. Licensee MDPI, Basel, Switzerland. This article is an open access article distributed under the terms and conditions of the Creative Commons Attribution (CC BY) license (https://creativecommons.org/licenses/by/4.0/).
Share and Cite
He, C.; Huang, N.; Liu, T.; Li, C.; Liu, B.; Deng, H. Kilowatt-Level EUV Regenerative Amplifier Free-Electron Laser Enabled by Transverse Gradient Undulator in a Storage Ring. Photonics 2025, 12, 983. https://doi.org/10.3390/photonics12100983
He C, Huang N, Liu T, Li C, Liu B, Deng H. Kilowatt-Level EUV Regenerative Amplifier Free-Electron Laser Enabled by Transverse Gradient Undulator in a Storage Ring. Photonics. 2025; 12(10):983. https://doi.org/10.3390/photonics12100983
Chicago/Turabian StyleHe, Changchao, Nanshun Huang, Tao Liu, Changliang Li, Bo Liu, and Haixiao Deng. 2025. "Kilowatt-Level EUV Regenerative Amplifier Free-Electron Laser Enabled by Transverse Gradient Undulator in a Storage Ring" Photonics 12, no. 10: 983. https://doi.org/10.3390/photonics12100983
APA StyleHe, C., Huang, N., Liu, T., Li, C., Liu, B., & Deng, H. (2025). Kilowatt-Level EUV Regenerative Amplifier Free-Electron Laser Enabled by Transverse Gradient Undulator in a Storage Ring. Photonics, 12(10), 983. https://doi.org/10.3390/photonics12100983

