Next Article in Journal
An Off-Axis Catadioptric Division of Aperture Optical System for Multi-Channel Infrared Imaging
Previous Article in Journal
Analytical Design of Optically Transparent, Wideband, and Tunable Microwave Absorber Based on Graphene Spiral Resonator Metasurface
Previous Article in Special Issue
Recent Advancements in Optical Fiber Sensors for Non-Invasive Arterial Pulse Waveform Monitoring Applications: A Review
 
 
Font Type:
Arial Georgia Verdana
Font Size:
Aa Aa Aa
Line Spacing:
Column Width:
Background:
Article

Simultaneous Inclination and Azimuth Sensing Based on a Multi-Core Fiber Fabry–Perot Interferometer with Vernier Effect

1
School of Physics, Northwest University, Xi’an 710127, China
2
Xi’an Key Laboratory of Optical Fiber Sensing Technology for Underground Resources, Xi’an 710127, China
3
Twelfth Oil Production Plant, Changqing Oil Field Company of PetroChina, Qingyang 745400, China
*
Author to whom correspondence should be addressed.
Photonics 2025, 12(10), 1007; https://doi.org/10.3390/photonics12101007
Submission received: 29 August 2025 / Revised: 24 September 2025 / Accepted: 11 October 2025 / Published: 13 October 2025
(This article belongs to the Special Issue Novel Advances in Optical Fiber Gratings)

Abstract

Azimuth sensing plays a vital role in numerous industrial applications where tilt angle serves as a key parameter. To address the demand for accurate and reliable measurements, we propose an all-fiber two-dimensional inclinometer based on the Vernier effect in a multi-core fiber Fabry–Perot interferometer. The sensor is capable of simultaneously measuring both inclination and azimuth angles with high accuracy. A cascaded Fabry–Perot interferometer was inscribed in a seven-core fiber using a femtosecond laser plane-by-plane direct writing technique. By monitoring the wavelength shifts in two peripheral cores, we demonstrated the feasibility and performance of the proposed sensor. The experimental results showed that the inclinometer exhibited high sensitivity, with maximum values of −0.5272 nm/° for azimuth measurement (maximum measurement error: 7.33°) and −0.5557 nm/° for inclination measurement (maximum measurement error: 5.97°). The measurement ranges extended from 0° to 360° for azimuth and from –90° to 90° for inclination. Owing to its wide measurement range, compact structure, and high sensitivity, the proposed all-fiber two-dimensional inclinometer holds significant potential for practical applications.

1. Introduction

Azimuth sensing is essential in a wide range of industrial applications, including robotics and automation [1], oil and gas drilling [2], and autonomous vehicles [3]. Tilt angle is a fundamental parameter in azimuth measurement, making accurate determination of both inclination and azimuth angles essential. Currently, inclinometers are commonly based on mechanical, micro-electromechanical systems (MEMS), and inertial measurement unit (IMU) methods; however, each approach has inherent limitations. Mechanical inclinometers are cost-effective and durable but are highly susceptible to external disturbances such as vibration and impact [4]; MEMS-based inclinometers can be significantly downsized, but due to the brittleness of the materials, sensors are prone to fracture during practical use [5]; IMU-based inclinometers offer high precision and adaptability to dynamic environments but are vulnerable to noise, particularly at high frequencies [6]. These limitations highlight the urgent need for inclinometers with enhanced performance and higher sensitivity.
Fiber-optic inclinometers have attracted considerable research interest and have found broad applications due to their inherent advantages, including high precision, corrosion resistance, long service life, and capability for distributed sensing [7,8,9]. Fiber-optic inclinometers are intrinsically safe and passive, are immune to electromagnetic interference, exhibit high accuracy and sensitivity, are capable of multiplexing and distributed sensing, exhibit durability, long-term stability, and remote sensing characteristics, and are suitable for operation in harsh environments. As a result, fiber-optic inclinometers hold an irreplaceable position in such fields as aerospace, energy and power, oil and gas, civil engineering, structural health monitoring, biomedicine, defense and security, and industrial process control [10]. Depending on their functionality, fiber-optic inclinometers can be categorized into one-dimensional (1-D), two-dimensional (2-D), and three-dimensional (3-D) types. One-dimensional inclinometers are only sensitive to inclination. For instance, Canthadai et al. reported a simple low-cost portable tilt sensor using plastic optical fiber which achieved a sensitivity of 97 mV/° for a 100 gm weight attached to the cantilever [11]. However, such configurations cannot provide azimuth information. Two-dimensional inclinometers, in contrast, enable simultaneous measurement of inclination and azimuth. Chang et al. proposed a novel 2-D fiber-optic inclinometer using two orthogonally arranged etched chirped fiber Bragg gratings (CFBGs), achieving high sensitivity with an inclination resolution of 0.003° [12]. Nevertheless, yaw information remains unavailable with this design. More advanced 3-D inclinometers are capable of measuring pitch, roll, and yaw simultaneously. Pei et al. demonstrated a novel distributed inclinometer based on optical frequency domain reflectometry (OFDR) technology, employing the Frenet–Serret equation to reconstruct displacement with a maximum per-unit-length error below 0.45% [13].
Because yaw data are often unnecessary in applications such as geothermal drilling and aerospace, and because having fewer sensing dimensions simplifies maintenance, improves calibration efficiency, and enhances interference immunity [14,15], this study focuses on 2-D fiber-optic inclinometers. Despite progress, existing 2-D fiber-optic tilt sensors still face the critical challenges of limited sensitivity and insufficient sensor stability under practical conditions [16].
In this paper, we propose a novel inclinometer based on a multi-core fiber Fabry–Perot interferometer (FPI), employing the Vernier effect to overcome the issue of limited sensitivity. A cascaded FPI was inscribed in a seven-core fiber (SCF) using a femtosecond laser plane-by-plane direct writing technique. Owing to the Vernier effect, both sensitivity and resolution were significantly enhanced. The device exhibited a maximum sensitivity of −0.5272 nm/° for azimuthal angle measurement (maximum measurement error: 7.33°) and −0.5557 nm/° for inclination angle measurement (maximum measurement error: 5.97°). The measurement ranged from 0° to 360° for azimuth and −90° to 90° for inclination. The proposed all-fiber 2-D inclinometer is compact, offers a wide measurement range and high resolution, and demonstrates strong potential for practical applications in harsh environments.

2. Fabrication and Principle

To ensure measurement isotropy, a multi-core fiber is employed. The SCF is selected due to its typical space-division multiplexing (SDM) structure in optical communication, mature fabrication process, and low inter-core crosstalk [17]. As shown in Figure 1a, the fiber comprises seven cores arranged in a hexagonal pattern within a common cladding. The cladding diameter D is 150 μm, each core has a diameter of 8 μm, and the core-to-core pitch d is 42 μm. Each core supports independent optical transmission while maintaining near-identical single-mode characteristics. The symmetric arrangement not only increases spatial density and transmission capacity, but also minimizes inter-core crosstalk through optimized spacing. The material of the coating layer of the SCF is acrylic resin with a core diameter of 8 μm. The short-term bending radius is not less than 7.5 mm, the long-term bending radius is not less than 15 mm, and the screening strength is not less than 50 kpsi. When a cascaded FPI is inscribed into different peripheral cores for tilt sensing, the sensing FPIs experience distinct strain responses under external perturbations, leading to measurable wavelength shifts, as schematically shown in Figure 1b.
In this work, a femtosecond laser plane-by-plane direct writing method was used to inscribe cascaded Fabry–Perot interferometers (FPIs). This method generates periodic refractive index modulation points within the fiber core as the laser beam is precisely translated along the fiber axis. By adjusting the translation velocity along the y-axis, the periodicity of the refractive index modulation can be flexibly controlled. Compared with conventional phase mask techniques, this approach offers greater flexibility, enabling direct inscription into various types of fibers, including standard single-mode and dispersion-shifted fibers. The fabricated gratings exhibit high thermal stability, strong resistance to erasure at elevated temperatures, and compatibility with fiber coatings, which makes the method widely applicable to fiber lasers and advanced photonic devices.
For a single FPI inscribed within a fiber core, the free spectral range (FSR) of the reflection spectrum can be expressed as:
F S R   =   λ 2 2 n L
where λ is the operating wavelength, n is the effective refractive index of the fiber core, and L is the cavity length of the FPI.
According to the Vernier effect, when two FPIs with slightly different FSRs are cascaded, their superimposed spectra generate a periodic envelope with a much larger effective FSR, as illustrated in Figure 2. For a cascaded FPI system consisting of a sensing FPI and a reference FPI, the FSR of the Vernier envelope formed is:
F S R e   =   F S R s × F S R r F S R s F S R r
where F S R s = λ 2 2 n L s and F S R r = λ 2 2 n L r correspond to the FSRs of the sensing and reference FPIs, respectively.
The associated wavelength shift amplification factor M introduced by the Vernier effect is given by:
M   =   F S R r F S R s F S R r = L s L r L s
This amplification significantly enhances the effective sensitivity of the cascaded interferometer system, providing a powerful mechanism for high-sensitivity angle measurement.
Figure 2 illustrates the scenario under ideal conditions. Figure 2a,b represent single sinusoidal reflection spectra signals corresponding to the output of individual F-P cavities, whereas Figure 2c depicts the sinusoidal product reflection spectrum signal modulated by the coupling of the F-P cavities from Figure 2a,b. However, actual FPI reflection spectra typically exhibit amplitude variations and spectral asymmetries. In this work, cascaded FPIs were inscribed within the peripheral cores of the SCF. The reference cavity was designed with a length of 1020 μm, the sensing cavity had a length of 1000 μm, and the spacing between the two cavities was set to d F P = 10 cm. Based on these parameters, the wavelength shift amplification factor M was calculated to be approximately 50, indicating that this scheme can achieve high sensitivity.
Figure 3a depicts the schematic of the FBG inscription system developed in our laboratory. The setup consists of a femtosecond laser system, a micro-machining stage, a real-time FBG monitoring system, and a positioning assistance system. Using this system, femtosecond laser plane-by-plane direct writing was employed to selectively inscribe FPIs into two chosen peripheral cores. In this study, core 3 and core 7 were selected as the sensing channels.
The schematic configuration of the fabricated FPI is illustrated in Figure 3b. The left FPI serves as the reference cavity, which is not affected by external factors; thus, its cavity length and refractive index are constant, producing a stable reflection spectrum. The reference cavity needs to remain fixed during experimental measurements, so a longer spacing is necessary to avoid unexpectedly small movements of the reference cavity during the experiment [18]. In contrast, the right FPI serves as the sensing cavity, where external forces induce variations in cavity length and changes in refractive index, leading to measurable shifts in the reflection spectrum. Therefore, the cascaded reference and sensing cavities form a Vernier effect, producing a higher-resolution envelope spectrum, thus achieving a significant improvement in sensitivity. The reflection spectrum of the cascaded FPI based on the Vernier effect is shown in Figure 4.
The schematic configuration of the inclinometer with cascaded FPIs inscribed in the SCF is shown in Figure 5b. When subjected to tilting, the device deviates from its vertical axis, and the resulting offset angle can be decomposed into two components: inclination θ and azimuth φ . Inclination is defined as the angle between the tilt direction and the reference 0° tilt plane, while azimuth is defined as the angle between the tilt direction and the vertical reference axis, as illustrated in Figure 5a,c.
To quantitatively describe the sensor response, it is necessary to establish the relationship between the wavelength shift λ and the two angular components φ and θ .
When an external force is applied to the experimental structure, the cavity length of the sensing FPI L s changes, and the phase difference is an integer multiple (m) of the period. Accordingly, the wavelength of the sensing FPI λ s is:
λ s   =   4 π n L s 2 m π   =   2 n L s m
Taking the first-order interference enhancement with m = 1, and assuming that the effective refractive index remains unchanged during the process and that the strain experienced by a single FPI ε is L s L s , the stress difference between two cores ε is d R sin ( φ + φ i ) . Performing a variation on both sides of Equation (4), and taking into account geometric and optical effects, the sensing FPI wavelength shift of any peripheral core i is obtained as follows:
λ i = 2 λ i n L s · d R sin ( φ + φ i )
In the above, the refractive index of the core n is 1.468, the pitch d is defined as the distance between two adjacent cores, R is the tilt-induced bending radius.
Due to the application of the Vernier effect, the shift of the envelope wavelength has an amplification factor M = 50. Considering the amplification factor M introduced by the application of the Vernier effect, and multiplying M directly into Equation (5), the sensing FPI wavelength shift of any peripheral core i is obtained as follows:
λ i   =   100 λ i n L s · d R sin ( φ + φ i )
When the fiber is tilted, one end of the free fiber (including the sensing FPI) moves away from the vertical direction, while the other end remains fixed. At this time, the tilt-induced bending radius R consists of two parts, with the mass-induced R Mass and the free-fiber-induced R Fiber calculated as follows:
R Mass = E I m g   sin θ · x g L
R Fiber = E I w · L x g 1 2 x g 2 1 2 L 2
In the above, the Young’s modulus of the fiber E is 7.35   ×   10 10 Pa, the second moment of the cross-sectional area I is 1.56   ×   10 19   m 4 , the weight of the mass m is 1.10   ×   10 4 kg, the gravitational acceleration g is 9.81   m / s 2 , the distance between the FPI and the fixed point x g is 3   ×   10 3 m, the length of the free fiber L is 5.6   ×   10 2 m, and the fiber weight per unit length w is 7.3   ×   10 6 kg/m. Observing the theoretical equation, it is found that R Fiber is determined solely by the parameter and is a constant value, while R Mass is determined by the inclination angle.
By substituting R Mass and R Fiber into the theoretical Equation (6), the FPI wavelength shift of any two peripheral cores i and j can be obtained:
λ i   =   100 λ i n L s · ( d R Fiber + d R Mass ) sin ( φ   +   φ i )
λ j = 100 λ j n L s · ( d R Fiber + d R Mass ) sin ( φ +   φ i )
By combining theoretical Equations (9) and (10) and eliminating the common term R Mass , the azimuth angle φ can be obtained:
φ =   tan 1 ( λ i λ i sin φ j λ j λ j sin φ i λ j λ j cos φ i λ i λ i cos φ j )
Observing the theoretical equation for azimuth angle φ , it can be seen that φ is only related to λ i and λ j .
By substituting the theoretical Equation (11) into Equation (6), the inclination angle θ can be obtained:
θ =   sin 1 λ i λ i 1 2 M n L s 1 sin φ + φ i d R Fiber E I d m g x g L
Observing the theoretical equation for inclination angle θ , it can be seen that θ is related to λ i and azimuth angle φ .
Therefore, under an arbitrary tilt condition, simultaneous measurement of both the azimuth and inclination angle can be achieved by detecting the wavelength shifts of the FPIs inscribed in two peripheral cores. This demonstrates that the proposed inclinometer is capable of resolving 2-D tilt angles with high accuracy [19,20].

3. Simulation of Inclinometer

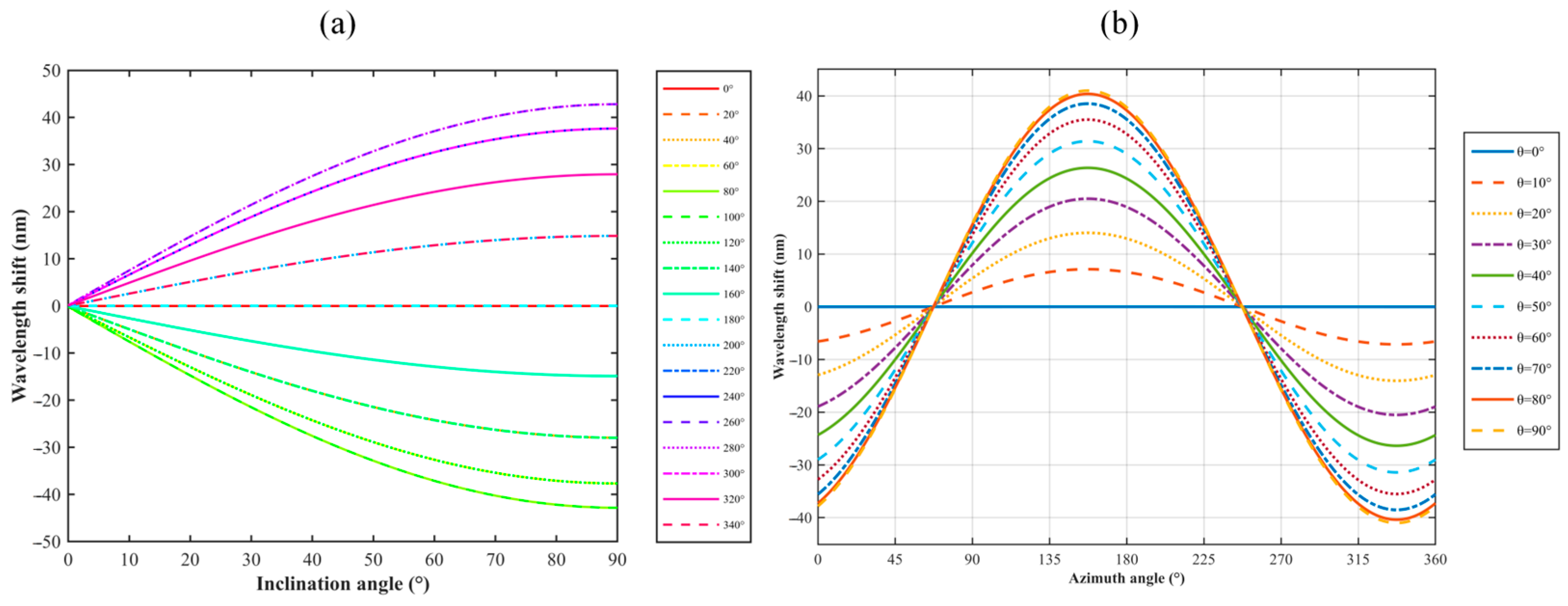
Numerical simulations were carried out in MATLAB (MATLAB R2023a) for the theoretical models described in Equation (9), and the results are presented in Figure 6. Based on the model established from Equation (9), numerical simulations were performed in MATLAB.
λ i = 2 n M L s sin φ + φ i λ i ( d R Fiber + d m g x g L E I sin θ )
Regarding subplot (a), first, by fixing the azimuth angle in Equation (13), simulations were conducted for the inclination angle and wavelength shift with a step size of 0.09° over the range of 0° to 90°. Subsequently, simulations were carried out for different azimuth angles with a step size of 20° over the range of 0° to 360°, examining the relationship between the inclination angle and wavelength shift under various azimuth conditions. Regarding subplot (b), first, by fixing the inclination angle in Equation (13), simulations were conducted for the azimuth angle and wavelength shift with a step size of 0.36° over the range of 0° to 360°. Subsequently, simulations were performed for different inclination angles with a step size of 10° over the range of 0° to 90°, examining the relationship between the azimuth angle and wavelength shift under various inclination conditions.
The following parameter values were used: the pitch d was 42 μm, the Young’s modulus of the fiber E was 7.35   ×   10 10 Pa, the second moment of the cross-sectional area I was 1.56   ×   10 19   m 4 , the weight of the mass m was 1.10   ×   10 4 kg, the gravitational acceleration g was 9.81   m / s 2 , the distance between the FPI and the fixed point x g was 3   ×   10 3 m, the length of the free fiber L was 5.6   ×   10 2 m, the fiber weight per unit length w was 7.3   ×   10 6 kg/m, the refractive index of the core n was 1.468, the cavity length of the sensing FPI L s was 1000 μm, and the initial wavelength λ 0 was 1552.77658 nm. In the experimental environment at that time, due to the change in the cavity length of the F-P cavity, the amplification factor M was actually 43.
By selecting specific inclination and azimuth values, the corresponding theoretical wavelength shift could be obtained directly from the simulation, thereby offering predictive guidance for subsequent experimental calibration and analysis.

4. Experimental Results and Discussion

The experimental setup is shown in Figure 7. The inclinometer was fixed on the fiber- optic rotator, the multi-core fiber was connected to a fan-out device, and the SMF outputs of cores 3 and 7 were connected to the optical sensing interrogator (Luna, Si 255, Roanoke, VA, USA). Using the Enlight app, reflection spectra data corresponding to each core under various tilt conditions were recorded and processed on a computer.
In this experiment, the fiber length was set to L = 56 mm, the distance between the FPI and the fixed point was x g = 3 mm, and the attached mass was m = 0.110 g. Tilt measurements were performed by varying inclination and azimuth angles systematically. The azimuth angle was swept from 0° to 360° in steps of 20°, while the inclination angle was varied from −90° to 90° in steps of 10°. The relationships between the wavelength shift λ and the inclination angles θ and azimuth angles φ were obtained as shown in Figure 8.
The observed curves reveal that the experimental dependence of λ on θ and φ is consistent with the simulation results in Figure 6, confirming strong agreement between theoretical predictions and experimental measurements. Curve fitting yielded a maximum sensitivity of −0.5272 nm/° for azimuth measurements, with a fitting range of 0°~360°, and the correlation coefficient R 2 was 0.987; for inclination measurements, the maximum sensitivity was −0.5557 nm/°, with a fitting range of −90°~ 90° and an R 2 value of 0.975.
By substituting the experimentally obtained wavelength shift into the theoretical models of Equations (11) and (12), the corresponding theoretical azimuth and inclination angles were calculated. Therefore, using the wavelength shift as an intermediary variable, the experimental angles were compared with their theoretical counterparts, as shown in Figure 9.
Although the comparison curves generally followed the expected trends, they did not perfectly align with the ideal y = x line, suggesting the presence of systematic errors in angle determination. To further analyze these deviations, the differences between theoretical and experimental values were computed and plotted as wavelength shift errors, as shown in Figure 10.
The error analysis shows that the azimuth maximum measurement error is 7.33° and the inclination maximum measurement error is 5.97°.

5. Conclusions

We proposed and demonstrated a 2-D inclinometer based on a multi-core fiber FPI utilizing the Vernier effect. The device was implemented by inscribing cascaded Fabry–Perot cavities into a seven-core fiber with a spacing of d F P = 10 cm, combined with a free-fiber end mass acting as the sensing element. Experimental validation confirmed that the proposed sensor provided a wide inclination measurement range of −90° to 90° and a full azimuthal range of 0° to 360°. The inclinometer exhibited excellent performance, achieving a maximum azimuthal sensitivity of −0.5272 nm/° with a maximum measurement error of 7.33°, and a maximum inclination sensitivity of −0.5557 nm/° with a maximum measurement error of 5.97°. These results demonstrate that the Vernier effect-enhanced multi-core fiber design significantly improves sensitivity while maintaining a compact and robust structure. With its broad measurement range, high accuracy, and flexible all-fiber configuration, the proposed inclinometer holds strong promise for practical deployment in industrial applications, particularly in challenging environments such as geothermal drilling and aerospace engineering.

Author Contributions

Conceptualization, R.Z.; methodology, R.L. and J.L.; validation, J.L. and X.Y.; formal analysis, X.Y.; investigation, D.S.; resources, X.Q. and D.S.; data curation, J.L. and X.Y.; writing—original draft preparation, J.L. and X.Y.; writing—review and editing, R.Z.; funding acquisition, R.Z. and X.Q. All authors have read and agreed to the published version of the manuscript.

Funding

This research was funded by National Natural Science Foundation of China (Nos. 62105261, 61927812), the Yulin City Science and Technology Plan Project (Grant No. 2024-CXY-175).

Institutional Review Board Statement

Not applicable.

Informed Consent Statement

Not applicable.

Data Availability Statement

All data that supports the findings of this study are included within the article.

Conflicts of Interest

Author Dengwang Shi was employed by the company Twelfth Oil Production Plant, Changqing Oil Field Company of PetroChina. The remaining authors declare that the research was conducted in the absence of any commercial or financial relationships that could be construed as a potential conflict of interest.

References

  1. Barczyk, M.; Lynch, A.F. Integration of a Triaxial Magnetometer into a Helicopter UAV GPS-Aided INS. IEEE Trans. Aerosp. Electron. Syst. 2012, 48, 2947–2960. [Google Scholar] [CrossRef]
  2. Bell, C.; Hampson, J.; Eadsforth, P.; Chemali, R.; Helgesen, T.; Meyer, H.; Peveto, C.; Poppitt, A.; Randall, R.; Signorelli, J.; et al. Navigating and imaging in complex geology with azimuthal propagation resistivity while drilling. In Proceedings of the SPE Annual Technical Conference and Exhibition, San Antonio, TX, USA, 24–27 September 2006. SPE-102637-MS. [Google Scholar] [CrossRef]
  3. Sun, S.; Zhang, Y.D. 4D automotive radar sensing for autonomous vehicles: A sparsity-oriented approach. IEEE J. Sel. Top. Signal Process. 2021, 15, 879–891. [Google Scholar] [CrossRef]
  4. Li, H.X.; Pan, M.H.; Wang, L.; Zhu, G.L. Research of vibration error compensation for inclinometers. Adv. Mater. Res. 2012, 590, 377–384. [Google Scholar] [CrossRef]
  5. Zhai, J.; Lu, P. A Fiber Optic Acceleration Sensor Based on Metal Etching. Laser Optoelectron. Prog. 2025, 62, 1306003. [Google Scholar]
  6. Xu, Y. The Two-Wheeled Self-Balance Patrol Robot Based on Kalman Filter and LQR. Master’s Thesis, Nanchang University, Nanchang, China, 2015. [Google Scholar]
  7. Li, H.-N.; Li, D.-S.; Song, G.-B. Recent applications of fiber optic sensors to health monitoring in civil engineering. Eng. Struct. 2004, 26, 1647–1657. [Google Scholar] [CrossRef]
  8. Lopez-Higuera, J.M.; Rodriguez Cobo, L.; Quintela Incera, A.; Cobo, A. Fiber Optic Sensors in Structural Health Monitoring. J. Light. Technol. 2011, 29, 587–608. [Google Scholar] [CrossRef]
  9. Bao, X.; Chen, L. Recent progress in distributed fiber optic sensors. Sensors 2012, 12, 8601–8639. [Google Scholar] [CrossRef]
  10. Udd, E.; Spillman, W.B., Jr. (Eds.) Fiber Optic Sensors: An Introduction for Engineers and Scientists; John Wiley & Sons: Hoboken, NJ, USA, 2024. [Google Scholar]
  11. Canthadai, B.V.; Sengupta, D.; Pachava, V.; Kishore, P. Intensity insensitive one-dimensional optical fiber tilt sensor. In Fiber Optic Sensors and Applications XI; SPIE: Bellingham, WA, USA, 2014; Volume 9098, pp. 192–198. [Google Scholar]
  12. Chang, H.-Y.; Chang, Y.-C.; Liu, W.-F. A highly sensitive two-dimensional inclinometer based on two etched chirped-fiber-grating arrays. Sensors 2017, 17, 2922. [Google Scholar] [CrossRef]
  13. Pei, H.; Zhang, F.; Zhu, H.; Liu, J.; Ning, F.; Chen, W. Development of a distributed three-dimensional inclinometer based on OFDR technology and the Frenet-Serret equations. Measurement 2023, 223, 113769. [Google Scholar] [CrossRef]
  14. Burak, T.; Akin, S. Estimation of Downhole Inclination in Directionally Drilled Geothermal Wells. In Proceedings of the World Geothermal Congress, Reykjavik, Iceland, 24–27 October 2021; pp. 1–10. [Google Scholar]
  15. Galatis, G.; Guo, J.; Buursink, J. Development of a solar array drive mechanism for micro-satellite platforms. Acta Astronaut. 2017, 139, 407–418. [Google Scholar] [CrossRef]
  16. Antunes, P.F.C.; Marques, C.A.; Varum, H.; Andre, P.S. Biaxial optical accelerometer and high-angle inclinometer with temperature and cross-axis insensitivity. IEEE Sens. J. 2012, 12, 2399–2406. [Google Scholar] [CrossRef]
  17. Zhou, R.; Chen, F.; Li, S.; Wang, R.; Qiao, X. Three-dimensional vector accelerometer using a multicore fiber inscribed with three FBGs. J. Lightwave Technol. 2021, 39, 3244–3250. [Google Scholar] [CrossRef]
  18. Yang, A.; Bao, W.; Chen, F.; Li, X.; Wang, R.; Wang, Y.; Qiao, X. Two-dimensional displacement (bending) sensor based on cascaded Fabry–Perot interferometers fabricated in a seven-core fiber. Opt. Express 2023, 31, 7753–7763. [Google Scholar] [PubMed]
  19. Cui, J.; Gunawardena, D.S.; Liu, Z.; Zhao, Z.; Tam, H.-Y. All-Fiber Two-Dimensional Inclinometer Based on Bragg Gratings Inscribed in a Seven-Core Multi-Core Fiber. J. Light. Technol. 2020, 38, 2516–2522. [Google Scholar] [CrossRef]
  20. Zhou, R. Research on Detection Technology of Three-Dimensional Vector Seismic Wave in Borehole Based on Multi-Core Fiber Bragg Gratings. Ph.D. Thesis, Northwest University, Xi’an, China, 2021. [Google Scholar]
Figure 1. (a) Geometric parameter definition of SCF. The blue dashed line represents the neutral plane, the green dashed line is perpendicular to the blue dashed line, the arrow direction of the green dashed line indicates the bending direction, and the red dashed line represents the initial horizontal plane. (b) Schematic of the cascaded fiber FPI.
Figure 1. (a) Geometric parameter definition of SCF. The blue dashed line represents the neutral plane, the green dashed line is perpendicular to the blue dashed line, the arrow direction of the green dashed line indicates the bending direction, and the red dashed line represents the initial horizontal plane. (b) Schematic of the cascaded fiber FPI.
Photonics 12 01007 g001
Figure 2. Reflection spectrum illustrating the Vernier effect in an FPI. (a,b) The sinusoidal reflection spectrum signals with a certain phase difference output by a single F-P cavity. (c) The sinusoidal reflection spectrum signal after coupling modulation by the cascaded F-P cavities.
Figure 2. Reflection spectrum illustrating the Vernier effect in an FPI. (a,b) The sinusoidal reflection spectrum signals with a certain phase difference output by a single F-P cavity. (c) The sinusoidal reflection spectrum signal after coupling modulation by the cascaded F-P cavities.
Photonics 12 01007 g002
Figure 3. (a) Schematic diagram of the FBG inscription system. (b) Schematic of fiber FPI.
Figure 3. (a) Schematic diagram of the FBG inscription system. (b) Schematic of fiber FPI.
Photonics 12 01007 g003
Figure 4. Reflection spectrum of the cascaded FPI (a) in core 3 and (b) in core 7.
Figure 4. Reflection spectrum of the cascaded FPI (a) in core 3 and (b) in core 7.
Photonics 12 01007 g004
Figure 5. (a,c) Definition of inclination and azimuth angles. (b) Schematic of the inclinometer with cascaded FPI in SCF.
Figure 5. (a,c) Definition of inclination and azimuth angles. (b) Schematic of the inclinometer with cascaded FPI in SCF.
Photonics 12 01007 g005
Figure 6. (a) Simulated wavelength shifts versus azimuth angle φ . (b) Simulated wavelength shifts versus inclination angle θ .
Figure 6. (a) Simulated wavelength shifts versus azimuth angle φ . (b) Simulated wavelength shifts versus inclination angle θ .
Photonics 12 01007 g006
Figure 7. Schematic of experimental setup for tilt angle measurement.
Figure 7. Schematic of experimental setup for tilt angle measurement.
Photonics 12 01007 g007
Figure 8. (a,b) Wavelength shift versus θ for core_3 and core_7 at various φ . (c,d) Wavelength shift versus φ for core_3 and core_7 at various θ .
Figure 8. (a,b) Wavelength shift versus θ for core_3 and core_7 at various φ . (c,d) Wavelength shift versus φ for core_3 and core_7 at various θ .
Photonics 12 01007 g008
Figure 9. (a) Experimental versus theoretical azimuth angle. (b) Experimental versus theoretical inclination angle.
Figure 9. (a) Experimental versus theoretical azimuth angle. (b) Experimental versus theoretical inclination angle.
Photonics 12 01007 g009
Figure 10. (a) Wavelength shift error for azimuth. (b) Wavelength shift error for inclination.
Figure 10. (a) Wavelength shift error for azimuth. (b) Wavelength shift error for inclination.
Photonics 12 01007 g010
Disclaimer/Publisher’s Note: The statements, opinions and data contained in all publications are solely those of the individual author(s) and contributor(s) and not of MDPI and/or the editor(s). MDPI and/or the editor(s) disclaim responsibility for any injury to people or property resulting from any ideas, methods, instructions or products referred to in the content.

Share and Cite

MDPI and ACS Style

Liu, J.; You, X.; Liu, R.; Shi, D.; Zhou, R.; Qiao, X. Simultaneous Inclination and Azimuth Sensing Based on a Multi-Core Fiber Fabry–Perot Interferometer with Vernier Effect. Photonics 2025, 12, 1007. https://doi.org/10.3390/photonics12101007

AMA Style

Liu J, You X, Liu R, Shi D, Zhou R, Qiao X. Simultaneous Inclination and Azimuth Sensing Based on a Multi-Core Fiber Fabry–Perot Interferometer with Vernier Effect. Photonics. 2025; 12(10):1007. https://doi.org/10.3390/photonics12101007

Chicago/Turabian Style

Liu, Jiayu, Xianrui You, Rongsheng Liu, Dengwang Shi, Rui Zhou, and Xueguang Qiao. 2025. "Simultaneous Inclination and Azimuth Sensing Based on a Multi-Core Fiber Fabry–Perot Interferometer with Vernier Effect" Photonics 12, no. 10: 1007. https://doi.org/10.3390/photonics12101007

APA Style

Liu, J., You, X., Liu, R., Shi, D., Zhou, R., & Qiao, X. (2025). Simultaneous Inclination and Azimuth Sensing Based on a Multi-Core Fiber Fabry–Perot Interferometer with Vernier Effect. Photonics, 12(10), 1007. https://doi.org/10.3390/photonics12101007

Note that from the first issue of 2016, this journal uses article numbers instead of page numbers. See further details here.

Article Metrics

Back to TopTop