Next Article in Journal
Room-Temperature Fiber-Coupled Single-Photon Source from CdTeSeS Core Quantum Dots
Next Article in Special Issue
Temperature Control Performance Improvement of High-Power Laser Diode with Assistance of Machine Learning
Previous Article in Journal
Tunable Ultraviolet Pulse Generation from a High-Power Self-Similar-Amplification Yb-Fiber Laser
Previous Article in Special Issue
Ultrafast Airy Beam Generation with a Mode-Locked Fiber Laser
 
 
Font Type:
Arial Georgia Verdana
Font Size:
Aa Aa Aa
Line Spacing:
Column Width:
Background:
Article

λ ∼ 4.7 μm Quantum Cascade Distributed-Feedback Lasers for Free-Space Communications †

1
Department of Electrical and Computer Engineering, University of Wisconsin-Madison, Madison, WI 53706, USA
2
Intraband, LLC, Madison, WI 53726, USA
3
DRS Daylight Solutions, Madison, WI 53704, USA
*
Author to whom correspondence should be addressed.
This paper is an extended version of our paper published in at the 2022 IEEE Photonics Conference (IPC), Vancouver, BC, Canada, 13–17 November 2022.
Photonics 2025, 12(1), 51; https://doi.org/10.3390/photonics12010051
Submission received: 22 November 2024 / Revised: 27 December 2024 / Accepted: 7 January 2025 / Published: 8 January 2025
(This article belongs to the Special Issue Laser Technology and Applications)

Abstract

Quantum cascade lasers (QCLs) have emerged as promising candidate sources for free-space communications. High optical power densities, short photon lifetimes, and low internal capacitance are important factors influencing the transmission bandwidth. We report the design and fabrication of 4.7 μ m emitting, 1.5 mm cavity length, single-mode distributed-feedback QCLs, with a CW front-facet output power of 165 mW and a calculated photon lifetime of 11.6 ps, resulting in an electrically limited CW modulation with a 3 dB cutoff at 850 MHz.

1. Introduction

Quantum cascade lasers (QCLs) have gained significant attention as sources for free-space communication links in recent years due to their ability to emit in the 3–5 μ m and 8–12 μ m transmission windows of the atmosphere [1]. Generally, a narrow-linewidth source and a frequency-selective filter at the detector end are required to minimize background interference in such links. We report on the design, fabrication, and properties of QCLs employing distributed-feedback (DFB) gratings to achieve single-frequency operation at relatively high CW output powers (165 mW) for devices commensurate with short photon lifetimes. Metal–semiconductor gratings, which are fabricated in the upper cladding of the waveguide, have been shown to be effective for achieving single-frequency operation [2,3].
Metal–semiconductor grating devices have shown high CW output powers, but only from long-cavity-length QCLs [4], which are not suitable for achieving high modulation bandwidths. On the other hand, conventional DFB QCLs utilizing relatively short cavity lengths < 2 mm have struggled to surpass a 100 mW front-facet power under CW operation at room temperature [5,6]. In the absence of thermal effects, the maximum output power for a QCL is limited by the maximum current density, J max , and the volume of the active region. Beyond J max , carrier injection into the upper lasing state ceases. Therefore, for a fixed active-region thickness and buried-ridge width, a shorter-cavity-length device will have a smaller gain volume and hence a lower maximum output power. Through careful design of the waveguide at short cavity lengths, we have optimized the output power of 1.5 mm long devices and achieved CW output powers of 165 mW for a short-cavity grating-coupled QCL, with potential for GHz-range modulation bandwidths.
The first-order modes will couple to surface plasmons at the metal–semiconductor interface, under the condition that the propagation constant of the guided mode is matched to the propagation constant of the surface plasmon in the propagation direction β mode = β SPP . In a conventional DFB-coupled device, two degenerate DFB modes peak in the regions below the grating tooth and groove, respectively [2]. The tooth and the groove location are shown in Figure 1. We optimize our design so that the DFB mode which peaks under the groove is strongly coupled to the plasmon mode at the metal–semiconductor grating interface, resulting in high metal loss, while the DFB mode which peaks under the tooth remains low-loss. In this manner, a QCL is obtained with a single, low-loss DFB mode.
Standard long-cavity edge-emitting QCLs have cavity lengths typically ranging from 3 to 10 mm [7,8,9]. While a long cavity is advantageous for high output power, it is difficult to achieve GHz-range direct modulation. In addition to the higher capacitance resulting from a larger area, the cavity photon lifetime τ ph of a long-cavity QCL dominates the optical transfer function h ( ω ) and inhibits high-bandwidth modulation [10]. A short-cavity QCL, which can exhibit picosecond-scale upper-state lifetimes, is therefore a promising alternative [10,11,12,13]. To exploit this advantage, we investigate short-cavity QCLs (cavity length = 1.5 mm) with a metal–semiconductor DFB grating to provide single-mode operation. We first discuss the design of the intended device. After fabrication of the design, we then present measurements of the device’s performance and discuss its potential implications for various applications.

2. Design

We begin by performing a finite element parametric sweep of metal–semiconductor first-order grating edge-emitting DFB QCLs via COMSOL Multiphysics® 5.1, which is similar to the method employed previously for surface-emitting 2nd-order DFB/DBR QCLs [14]. We approximate an infinite-length device by modeling the longitudinal cross-section of a single grating period and calculating the modes of the structure enforcing periodic boundary conditions. A parametric sweep is performed for variations in the upper cladding thickness, the grating depth, and the grating duty cycle, where the duty cycle DC = w groove / Λ is the ratio of the groove width to the grating period Λ . Figure 1 shows the side view and cross-section of the grating-coupled QCL structure, respectively. Eigenmodes of the structure are solved for by the software, along with cavity losses and surface interactions with the grating interface.
Following the calculation of the eigenmodes of the infinite-length device, we sort the eigenmodes by their field overlap with the active region to identify the fundamental and first-order DFB modes. For these two modes, we then calculate the optical loss, the mode offset from the Bragg wavelength, and the coupling of the modes to the DFB grating. Following these calculations, a transfer matrix model is defined for the device, and this model is solved for the longitudinal modes of the finite-length device through a coupled-wave analysis in MATLAB® 9.12.0 (R2022a) [14]. Finite-length analysis accounts for both the waveguide and geometry of the active region. Mirror losses are calculated during the finite-length modeling by assuming a highly-reflective back facet and an uncoated front facet.
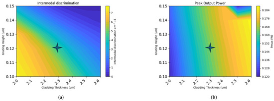
For a given grating height and upper cladding thickness, we extract the expected output power under pulsed current and CW conditions, the coupling coefficient κ , the resistance R, the expected total loss α , the threshold current density J th , the slope efficiency η , the total photon lifetime τ ph , the stimulated lifetime τ st , and the intermodal discrimination at the threshold δ th . Intermodal discrimination is defined as the difference in threshold gain δ th between the two lowest threshold modes. We additionally calculate the optical transfer function h ( ω ) for a given frequency [10]. Figure 2 shows a contour map of the calculated values of intermodal discrimination, threshold current density, maximum pulsed power, and estimated slope efficiency from the simulated design. Initially, we chose target values of 0.10 μ m for the grating height, 2.0 μ m for the cladding thickness, and 50% for the duty cycle, at a grating period of 0.748 μ m. However, the fabricated upper cladding thickness was greater than expected, resulting in a 2.3 μ m thick upper cladding. As a result, weaker intermodal discrimination and a higher threshold current density were expected. However, the increase in the upper cladding thickness reduces optical loss to the surface metal, and we found an improved slope efficiency at a 2.3 μ m upper-cladding thickness. A corresponding increase in pulsed output power was found as a result. Additionally, the actual fabricated etched grating depth was 0.12 μ m, resulting in a moderate decrease in intermodal discrimination. This design is indicated by the star in Figure 2. The simulation results are an estimated maximum output power of 165 mW under CW operation, a threshold current density of 2.494 kA/cm2, and a photon lifetime of 11.6 ps. The mode spectrum for this final design is shown in Figure 3. The intermodal discrimination for the longitudinal cavity modes is therefore 4.317 cm−1, resulting in a difference in the threshold current density of 1.185 kA/cm2 between the two modes.
The challenges of modulating devices with longer cavity lengths are apparent from the optical transfer function, which generally improves with shorter photon lifetimes and a higher photon density. The optical transfer function, given as h o ( ω ) = P ( ω ) / I ( ω ) , is defined by the amplitude of the photon flux P ( ω ) and the conduction current through the device, I ( ω ) . A simplified small-signal transfer function h o ( ω ) can be written for intersubband QCLs as follows [15]:
h o ( ω ) = s 1 s 2 ( j ω s 1 ) ( j ω s 2 ) .
s 1 , 2 = 1 2 1 τ up + 1 τ stim ± 1 4 1 τ up + 1 τ stim 2 1 τ ph τ stim .
τ stim = W · t · ( 1 R ) g c · P .
When the first term under the radical dominates, as is expected for τ up 1 ps, the pole frequencies may be further simplified [16]:
s 1 1 τ ph τ up τ up + τ st .
s 2 1 τ up 1 τ st .
The pole s 2 is so high that it may be ignored below ∼100 GHz, leaving us with a single-pole transfer function:
h o ( ω ) = 1 τ ph τ up τ up + τ st j ω + 1 τ ph τ up τ up + τ st .
Here, τ stim is the reciprocal of rate of stimulated emission, W is the active region width, t is the active region thickness, R is the effective reflectivity of the front facet, g c is the gain cross-section [11], and P is the power. The simplified single-pole form of the transfer function allows us to easily determine the relationship between h ( ω ) and τ ph ; in particular, for a constant τ up , reducing the photon lifetime will improve the frequency response of the laser. Using a simple resistor–capacitor model for the electrical transfer function, the overall transfer function may be written as h ( ω ) = h o ( ω ) h e ( ω ) = ( P ( ω ) / I ( ω ) ) ( I ( ω ) / I in ( ω ) ) , where the electrical transfer function is h e ( ω ) = 1 / ( 1 + j ω / ω c ) , and ω c = 1 / R C . Here, I in ( ω ) is the total current applied to the device, R is the small-signal resistance, and C is the small-signal capacitance at the desired operating point. The capacitance is composed of both the QCL capacitance and any electrode capacitance [10].
From Equation (6), lower photon lifetimes τ ph for a given constant upper state lifetime τ up result in a higher h o ( ω ) for a given frequency [10]. However, a trade-off exists between photon lifetime and output power, particularly when operating under single-mode conditions. This trade-off stems from the fact that the output power scales with device length, but a longer cavity length will result in a longer photon lifetime. Additionally, the cavity power density is directly related to the stimulated lifetime τ st , resulting in lower modulation speeds as the power density is reduced. Consequently, in our design process, we have attempted to optimally balance the stimulated lifetime, photon lifetime, and the output power within our target bounds to maximize the performance of our short-cavity QCLs. We choose to target a photon lifetime on the order of τ ph 10 ps, with a threshold current density of J th < 2.6 kA/cm2, an intermodal discrimination of δ g > 5 cm−1, and an expected peak CW output power over 150 mW. Throughout the design process, we use a fixed active region width of 4.3 μ m and a cavity length of 1.5 mm.

3. Experimental Results

Device edge emission was tested under pulsed and CW operation at a 20 °C heat sink temperature. Under pulsed conditions, we operate at a 0.4% duty cycle, with a frequency of 20 kHz and a pulse width of 200 ns. Front-facet emission is measured with a thermopile from the uncoated front facet of QCL. The pulsed output power vs. drive current is shown in Figure 4a. We find a wall-plug efficiency of 14% under pulsed conditions, with a rollover voltage of 14.4 V.
The devices were then tested under quasi-CW conditions at a 10% duty cycle, with a 100 μ s pulse width. Increased heating and a corresponding shift in the threshold current I th were observed. Following QCW testing, full CW operation was then measured and is shown in Figure 4b. For our short-cavity devices with L = 1.5 mm, we found peak output pulsed powers upwards of 1.5 W, with CW output powers at 165 mW. Under CW operation, the maximum wall-plug efficiency is found to be 2.5%. This is in good agreement with the expected CW output power of 165 mW. The threshold current density under pulsed operation is 3.34 kA/cm2, while the threshold current density under CW operation is 4.17 kA/cm2. The higher threshold current density compared to the simulated value of 2.494 kA/cm2 may be attributed to high scattering losses [11] at the metal–semiconductor grating interface, since we have found the regrown surface in the grating-formation region to be quite rough. The increase in threshold current density under CW operation is expected as a result of device self-heating, due to the relatively high thermal resistance of this short-cavity length device, which limits effective heat removal from the waveguide [18].
The CW spectrum is measured with a Fourier Transform (FTIR) spectrometer. Single-mode operation is observed, with a side-mode suppression ratio (SMSR) under a CW operation of 25 dB, as shown in Figure 5. We do not observe multi-mode operation at higher drive currents for this device. Wavelength-tuning spectra were also measured for this device near its peak power and are shown in Figure 6.
We conducted tests to measure the internal capacitance and resistance of the chip. For a device mounted epi-down, a capacitance of 36 pF and a resistance of 6.4 Ω were found, resulting in a calculated electrical modulation cutoff of h e ( ω ) = 0.707 at 0.7 GHz. Our design is optimized for a photon lifetime of τ p = 11.6 ps, theoretically enabling a modulation frequency in the GHz range. However, because the capacitance is as high as 36 pF and a resistance of 6.4 Ω , we expect that the primary limitation on the modulation response results from the electrical parasitics of the device. To understand the separate limitations to high-bandwidth modulation arising from the QCL itself and from electrical parasitics, we employ a rate equations model. The rate equations model we employ is a version of the model in [11] modified to include the next highest energy level above the upper laser level, in order to consider the carrier leakage current through it [8,9]. We also include the electrical cutoff in the model to account for the effects of parasitic electrical capacitance and source resistance in the QCL. Calculations were performed for cases with high parasitic capacitance, as well as without the inclusion of electrical parasitics. The measurement of the modulation response was performed under CW conditions. Figure 7 shows the detected frequency response as a function of the modulation frequency. We see a clear match between the expected modulation response with high parasitics and the performance of our device. The optical 3 dB bandwidth, where the optical power modulation response is reduced by half, was measured to be 0.85 GHz. This was due both to the high electrical parasitics in the device and insufficient output power under CW operation. While these devices were employed to achieve 5 Gb/s data transmission, we find that the electrical parasitics are a limiting factor [16].

4. Discussion

In the 3–5 μ m window, we find that, in addition to the parasitic capacitance of the n-contact across the active region, short-cavity QCLs are limited by heat removal from their active region during CW operation. Planar rectangular contacts have traditionally been implemented in epi-down device packaging in order to facilitate heat removal from the active region during intensive CW operation. The design reported here of a short-cavity ( L = 1.5 mm) first-order DFB-coupled QCL exhibits a pulsed output power upwards of 1 W, with a CW output power of over 150 mW. Due mainly to electrical parasitics, the measured bandwidth of the device was 0.85 GHz, which is below the expected bandwidth achievable if parasitics can be neglected, as shown in Figure 7. Bandwidth limitations arising from parasitic capacitance between the metallic n-contact on the sub-mount and the p-n junction formed across the active region are also seen in the 8–12 μ m window. Joharafir et al. demonstrated direct-modulated DFB QCLs emitting at ∼9.15 μ m which exhibited a 3 dB cutoff frequency around 1.2 GHz, although at relatively low optical powers, ∼30 mW, which are similarly limited by the electrical parasitics of the device [19].
One solution is to minimize the parasitic capacitance across the active region through a reduction in the area of the metallic n-contact. As an alternative to rectangular metallic contacts across the sub-mount, metal contacts with dimensions in the order of 50–100 μ m may be introduced. The requirement for uniform heat dissipation through the annealed gold–tin solder preform sets a lower limit on the contact area dimensions. A drastic reduction in the parasitic capacitance of QCL devices is expected through this implementation; however, there is a corresponding reduction in heat removal from the active region of the device, reducing device performance under CW operation [20,21]. Recently, Gao et al. exhibited remarkably high modulation bandwidths from Fabry–Perot QCLs emitting near 8.5 μ m through low-capacitance packaging techniques and presented CW bandwidths as high as 23.9 GHz for devices with 2 mm long cavities [22,23]. The utilization of aluminum nitride sub-mounts aids heat dissipation from the active region, and we expect that improved packaging techniques, optimized for sufficient heat removal, will allow for modulation bandwidths in the GHz range for DFB QCLs, with output powers greater than 100 mW seen under CW operation.

5. Conclusions

We have fabricated short-cavity QCLs with a peak pulsed output power over 1 W and CW output power over 150 mW. Through the successful implementation of a metal–semiconductor DFB grating, it has been shown that edge-emitting DFB-coupled QCLs are potential candidates for free-space communication links in the mid-infrared. Ultrashort upper state lifetimes, coupled with the low cavity photon lifetime of a short-cavity QCL, enable the direct modulation of single-mode QCLs in the GHz regime. Through the introduction of low-capacitance patterned sub-mounts, we expect the 3 dB electrical cutoff to increase significantly.

Author Contributions

Conceptualization, M.T.-H., R.M., D.B. and L.J.M.; methodology, M.T.-H., R.M. and L.J.M.; software, M.T.-H., S.J. and R.M.; validation, M.T.-H., J.H.R. and R.M.; formal analysis, M.T.-H., S.J., L.J.M., D.B. and R.M.; investigation, M.T.-H., J.H.R. and R.M.; resources, R.M., J.D.K., T.E., S.R., K.O. and B.K.; data curation, M.T.-H. and R.M.; writing—original draft preparation, M.T.-H.; writing—review and editing, R.M., D.B. and L.J.M.; visualization, M.T.-H.; supervision, D.B. and L.J.M.; project administration, L.J.M.; funding acquisition, L.J.M. All authors have read and agreed to the published version of the manuscript.

Funding

This work was supported by Army contract W911NF-21-C-0011 (M. Gerhold). The research at the University of Wisconsin-Madison reported in this paper was supported via funding provided by Intraband, LLC, with which D. Botez and L. J. Mawst have significant financial interest. Support was also provided from a UW-Madison State Economic Engagement & Development (SEED) Grant.

Institutional Review Board Statement

Not applicable.

Informed Consent Statement

Not applicable.

Data Availability Statement

The data that support the findings of this paper are available from the corresponding author upon reasonable request.

Conflicts of Interest

Robert Marsland is a founder of and has financial interests in Intraband, LLC. Dan Botez and Luke J. Mawst are founders of Intraband, LLC. The remaining authors declare no conflicts of interest. The research was conducted in the absence of any commercial or financial relationships that could be construed as a potential conflict of interest, except as stated above.

References

  1. Delga, A.; Leviandier, L. Free-space optical communications with quantum cascade lasers. In Proceedings of the SPIE Quantum Sensing and Nano Electronics and Photonics XVI, San Francisco, CA, USA, 3–7 February 2019; Volume 10926, p. 1092617. [Google Scholar] [CrossRef]
  2. Carras, M.; De Rossi, A. Photonic modes of metallodielectric periodic waveguides in the midinfrared spectral range. Phys. Rev. B 2006, 74, 235120. [Google Scholar] [CrossRef]
  3. Carras, M.; Garcia, M.; Marcadet, X.; Parillaud, O.; De Rossi, A.; Bansropun, S. Top grating index-coupled distributed feedback quantum cascade lasers. Appl. Phys. Lett. 2008, 93, 011109. [Google Scholar] [CrossRef]
  4. Lu, Q.Y.; Bai, Y.; Bandyopadhyay, N.; Slivken, S.; Razeghi, M. 2.4 W room temperature continuous wave operation of distributed feedback quantum cascade lasers. Appl. Phys. Lett. 2011, 98, 181106. [Google Scholar] [CrossRef]
  5. Bismuto, A.; Blaser, S.; Terazzi, R.; Gresch, T.; Muller, A. High performance, low dissipation quantum cascade lasers across the mid-IR range. Opt. Express 2015, 23, 5477–5484. [Google Scholar] [CrossRef] [PubMed]
  6. Briggs, R.M.; Frez, C.; Borgentun, C.E.; Forouhar, S. Regrowth-free single-mode quantum cascade lasers with power consumption below 1 W. Appl. Phys. Lett. 2014, 105, 141117. [Google Scholar] [CrossRef]
  7. Ryu, J.H.; Kirch, J.D.; Knipfer, B.; Liu, Z.; Turville-Heitz, M.; Earles, T.; Marsland, R.A.; Strömberg, A.; Omanakuttan, G.; Sun, Y.T.; et al. Beam stability of buried-heterostructure quantum cascade lasers employing HVPE regrowth. Opt. Express 2021, 29, 2819–2826. [Google Scholar] [CrossRef] [PubMed]
  8. Botez, D.; Chang, C.C.; Mawst, L.J. Temperature sensitivity of the electro-optical characteristics for mid-infrared (λ = 3–16 μm)-emitting quantum cascade lasers. J. Phys. D Appl. Phys. 2016, 49, 043001. [Google Scholar] [CrossRef]
  9. Botez, D.; Mawst, L.J. State-of-the-Art Mid-Infrared QCLs: Elastic Scattering, High CW Power, and Coherent-Power Scaling. In Mid-Infrared and Terahertz Quantum Cascade Lasers; Botez, D., Belkin, M.A., Eds.; Cambridge University Press: Cambridge, UK, 2023; pp. 41–101. [Google Scholar] [CrossRef]
  10. Hinkov, B.; Hugi, A.; Beck, M.; Faist, J. Rf-modulation of mid-infrared distributed feedback quantum cascade lasers. Opt. Express 2016, 24, 3294–3312. [Google Scholar] [CrossRef] [PubMed]
  11. Faist, J. Quantum Cascade Lasers; Oxford University Press: Oxford, UK, 2013. [Google Scholar]
  12. Paiella, R.; Martini, R.; Capasso, F.; Gmachl, C.; Hwang, H.Y.; Sivco, D.L.; Baillargeon, J.N.; Cho, A.Y.; Whittaker, E.A.; Liu, H.C. High-frequency modulation without the relaxation oscillation resonance in quantum cascade lasers. Appl. Phys. Lett. 2001, 79, 2526–2528. [Google Scholar] [CrossRef]
  13. Gellie, P.; Barbieri, S.; Lampin, J.F.; Filloux, P.; Manquest, C.; Sirtori, C.; Sagnes, I.; Khanna, S.P.; Linfield, E.H.; Davies, A.G.; et al. Injection-locking of terahertz quantum cascade lasers up to 35 GHz using RF amplitude modulation. Opt. Express 2010, 18, 20799–20816. [Google Scholar] [CrossRef]
  14. Sigler, C.; Kirch, J.D.; Earles, T.; Mawst, L.J.; Yu, Z.; Botez, D. Design for high-power, single-lobe, grating-surface-emitting quantum cascade lasers enabled by plasmon-enhanced absorption of antisymmetric modes. Appl. Phys. Lett. 2014, 104, 131108. [Google Scholar] [CrossRef]
  15. Capasso, F.; Paiella, R.; Martini, R.; Colombelli, R.; Gmachl, C.; Myers, T.; Taubman, M.; Williams, R.; Bethea, C.; Unterrainer, K.; et al. Quantum cascade lasers: Ultrahigh-speed operation, optical wireless communication, narrow linewidth, and far-infrared emission. IEEE J. Quantum Electron. 2002, 38, 511–532. [Google Scholar] [CrossRef]
  16. Marsland, R.; Jacobs, S.; Canedy, C.L.; Ellis, C.; Kim, C.S.; Jackson, E.M.; Vurgaftman, I.; Kolasa, B.; Jayaraman, V.; Turville-Heitz, M.; et al. Multi-Gb/s free-space laser communication at 4.6-μm wavelength using a high-speed, room-temperature, resonant-cavity infrared detector (RCID) and a quantum-cascade laser. Opt. Express 2024, 32, 22479–22492. [Google Scholar] [CrossRef]
  17. Turville-Heitz, M.; Ryu, J.; Kirch, J.D.; Jacobs, S.; Marsland, R.; Earles, T.; Ruder, S.; Oresick, K.; Botez, D.; Mawst, L.J. High-Power Mid-Infrared Quantum Cascade Lasers for Free-Space Communications. In Proceedings of the 2022 IEEE Photonics Conference (IPC), Vancouver, BC, Canada, 13–17 November 2022; pp. 1–2. [Google Scholar] [CrossRef]
  18. Yu, J.S.; Slivken, S.; Evans, A.; Razeghi, M. High-performance, continuous-wave quantum-cascade lasers operating up to 85 °C at λ ∼ 8.8 μm. Appl. Phys. A 2008, 93, 405–408. [Google Scholar] [CrossRef]
  19. Joharifar, M.; Dely, H.; Durupt, L.; Schatz, R.; Maisons, G.; Gacemi, D.; Ostrovskis, A.; Zhang, L.; Salgals, T.; Sun, Y.T.; et al. Exploring Mid-IR FSO Communications with Unipolar Quantum Optoelectronics. IEEE J. Light. Technol. 2024, 42, 1–11. [Google Scholar] [CrossRef]
  20. Elías Bonilla-Manrique, O.; Moreno-Oyervides, A.; Mánguez-Martín, R.; Giraud, E.; Paul Waclawek, J.; Moser, H.; Lendl, B.; Martín-Mateos, P. Direct High-Frequency Modulation of a Quantum Cascade Laser for High-Sensitivity Molecular Dispersion Spectroscopy at Ambient Pressure. IEEE Trans. Instrum. Meas. 2024, 73, 4011006. [Google Scholar] [CrossRef]
  21. Cheng, F.; Zhang, J.; Guan, Y.; Yang, P.; Zhuo, N.; Zhai, S.; Liu, J.; Wang, L.; Liu, S.; Liu, F.; et al. Ultralow power consumption of a quantum cascade laser operating in continuous-wave mode at room temperature. Opt. Express 2020, 28, 36497–36504. [Google Scholar] [CrossRef] [PubMed]
  22. Gao, X.; Yang, K.; Zhu, Y.x.; Liu, J.; Zhai, S.; Liu, S.; Zhuo, N.; Zhang, J.; Wang, L.; Liu, F.; et al. Room-temperature high-speed mid-infrared quantum cascade laser with π-shape metal contact. Electron. Lett. 2023, 59, 20230052. [Google Scholar] [CrossRef]
  23. Gao, X.; Yang, K.; Zhu, Y.; Guo, K.; Zhai, S.; Zhuo, N.; Li, Y.; Zhang, J.; Wang, L.; Liu, S.; et al. High Frequency Mid-Infrared Quantum Cascade Laser Integrated With Grounded Coplanar Waveguide Transmission Line. IEEE Electron Device Lett. 2024, 45, 649–652. [Google Scholar] [CrossRef]
Figure 1. Device structure of a DFB-coupled QCL: (a) Side-view of an edge-emitting QCL. The duty cycle is given as the ratio of the “groove” length to the DFB period. (b) Cross-section of a buried heterostructure QCL. The cross-section is used during simulation of the 2D optical confinement factor and coupling coefficient.
Figure 1. Device structure of a DFB-coupled QCL: (a) Side-view of an edge-emitting QCL. The duty cycle is given as the ratio of the “groove” length to the DFB period. (b) Cross-section of a buried heterostructure QCL. The cross-section is used during simulation of the 2D optical confinement factor and coupling coefficient.
Photonics 12 00051 g001
Figure 2. Contour maps of expected values for our simulated grating-coupled edge-emitting QCL. The star on each plot indicates the chosen design of 0.12 μ m for the grating height and 2.3 μ m for the cladding thickness: (a) intermodal discrimination between the fundamental and 1st-order mode of the QCL; (b) expected maximum power under CW operation, calculated at a current density of J = 5 kA/cm2; (c) threshold current density of the fundamental lasing mode; (d) expected photon lifetime in the cavity.
Figure 2. Contour maps of expected values for our simulated grating-coupled edge-emitting QCL. The star on each plot indicates the chosen design of 0.12 μ m for the grating height and 2.3 μ m for the cladding thickness: (a) intermodal discrimination between the fundamental and 1st-order mode of the QCL; (b) expected maximum power under CW operation, calculated at a current density of J = 5 kA/cm2; (c) threshold current density of the fundamental lasing mode; (d) expected photon lifetime in the cavity.
Photonics 12 00051 g002aPhotonics 12 00051 g002b
Figure 3. Intermodal discrimination between the fundamental DFB mode and higher order cavity modes. We calculate a 1D effective index of n eff = 3.1377 from our transverse waveguide design. We then calculate a 2D effective index of n eff = 3.1417 , which incorporates the lateral confinement of the mode. Detuning results from the difference between the 1D and 2D effective index values.
Figure 3. Intermodal discrimination between the fundamental DFB mode and higher order cavity modes. We calculate a 1D effective index of n eff = 3.1377 from our transverse waveguide design. We then calculate a 2D effective index of n eff = 3.1417 , which incorporates the lateral confinement of the mode. Detuning results from the difference between the 1D and 2D effective index values.
Photonics 12 00051 g003
Figure 4. Current–voltage, current–power, and current–wall-plug efficiency (WPE) curves for a 1.5 mm cavity length, edge-emitting DFB tested at 20 °C, with a central wavelength of λ = 4.705 μ m. The black curves show the voltage as a function of current (left y-axis), the red curves show the optical power (right y-axis in red), and the blue curves show the WPE (right y-axis in blue). (a) Short-pulsed results at a 0.4% duty cycle. (b) Continuous-wave (CW) results, with a maximum CW power of 0.165 W. (Reprinted with permission from Ref. [17]. Copyright 2022 IEEE).
Figure 4. Current–voltage, current–power, and current–wall-plug efficiency (WPE) curves for a 1.5 mm cavity length, edge-emitting DFB tested at 20 °C, with a central wavelength of λ = 4.705 μ m. The black curves show the voltage as a function of current (left y-axis), the red curves show the optical power (right y-axis in red), and the blue curves show the WPE (right y-axis in blue). (a) Short-pulsed results at a 0.4% duty cycle. (b) Continuous-wave (CW) results, with a maximum CW power of 0.165 W. (Reprinted with permission from Ref. [17]. Copyright 2022 IEEE).
Photonics 12 00051 g004
Figure 5. Measured spectra of a 4.7 μ m target short-cavity EEDFB QCL under CW operation at 20 °C near its peak power at 420 mA. (Reprinted with permission from Ref. [17]. Copyright 2022 IEEE).
Figure 5. Measured spectra of a 4.7 μ m target short-cavity EEDFB QCL under CW operation at 20 °C near its peak power at 420 mA. (Reprinted with permission from Ref. [17]. Copyright 2022 IEEE).
Photonics 12 00051 g005
Figure 6. Tuning spectra of a 4.7 μ m target short-cavity EEDFB QCL under CW operation at 20 °C at four current values near its peak power.
Figure 6. Tuning spectra of a 4.7 μ m target short-cavity EEDFB QCL under CW operation at 20 °C at four current values near its peak power.
Photonics 12 00051 g006
Figure 7. Measured optical response | h ( ω ) | (shifted vertically to align with the modeled response) as a function of modulation frequency across the GHz regime. An | h ( ω ) | value of −3 dB is observed at 0.85 GHz.
Figure 7. Measured optical response | h ( ω ) | (shifted vertically to align with the modeled response) as a function of modulation frequency across the GHz regime. An | h ( ω ) | value of −3 dB is observed at 0.85 GHz.
Photonics 12 00051 g007
Disclaimer/Publisher’s Note: The statements, opinions and data contained in all publications are solely those of the individual author(s) and contributor(s) and not of MDPI and/or the editor(s). MDPI and/or the editor(s) disclaim responsibility for any injury to people or property resulting from any ideas, methods, instructions or products referred to in the content.

Share and Cite

MDPI and ACS Style

Turville-Heitz, M.; Marsland, R.; Ryu, J.H.; Jacobs, S.A.; Kirch, J.D.; Earles, T.; Ruder, S.; Oresick, K.; Knipfer, B.; Botez, D.; et al. λ ∼ 4.7 μm Quantum Cascade Distributed-Feedback Lasers for Free-Space Communications. Photonics 2025, 12, 51. https://doi.org/10.3390/photonics12010051

AMA Style

Turville-Heitz M, Marsland R, Ryu JH, Jacobs SA, Kirch JD, Earles T, Ruder S, Oresick K, Knipfer B, Botez D, et al. λ ∼ 4.7 μm Quantum Cascade Distributed-Feedback Lasers for Free-Space Communications. Photonics. 2025; 12(1):51. https://doi.org/10.3390/photonics12010051

Chicago/Turabian Style

Turville-Heitz, Morgan, Robert Marsland, Jae Ha Ryu, Steven A. Jacobs, Jeremy D. Kirch, Tom Earles, Steven Ruder, Kevin Oresick, Benjamin Knipfer, Dan Botez, and et al. 2025. "λ ∼ 4.7 μm Quantum Cascade Distributed-Feedback Lasers for Free-Space Communications" Photonics 12, no. 1: 51. https://doi.org/10.3390/photonics12010051

APA Style

Turville-Heitz, M., Marsland, R., Ryu, J. H., Jacobs, S. A., Kirch, J. D., Earles, T., Ruder, S., Oresick, K., Knipfer, B., Botez, D., & Mawst, L. J. (2025). λ ∼ 4.7 μm Quantum Cascade Distributed-Feedback Lasers for Free-Space Communications. Photonics, 12(1), 51. https://doi.org/10.3390/photonics12010051

Note that from the first issue of 2016, this journal uses article numbers instead of page numbers. See further details here.

Article Metrics

Back to TopTop