Abstract
The intertidal zone, as a dynamic ecosystem at the interface of land and sea, plays a critical role in environmental protection and disaster mitigation. The Ice, Cloud, and Land Elevation Satellite-2 (ICESat-2) is equipped with the Advanced Topographic Laser Altimeter System (ATLAS) with the ability to penetrate the water bodies, enabling its use for bathymetric measurements. However, the complex land cover types and frequent environmental changes in intertidal zones pose significant challenges for precise measurement and dynamic monitoring. In an effort to address the denoising challenges of ICESat-2 photon point cloud data in such complex environments, this study proposes an adaptive photon denoising method that is capable of dynamically adjusting the denoising strategy for different types of photon data. ATL03 data from four typical intertidal zones were selected for denoising experiments. The results indicated that the proposed adaptive denoising method achieved average recall, precision, and F-score values of 0.9885, 0.9927, and 0.9906, respectively, demonstrating excellent denoising performance and stability. This method provides an effective data processing approach for high-precision monitoring of intertidal zone topography.
1. Introduction
The intertidal zone, located between the mean low tide line and the mean high tide line of spring tides, undergoes periodic submersion and exposure due to tidal actions. This dynamic environment exhibits complex erosion and deposition patterns, including the formation of tidal creeks by water flow erosion and pits by wave erosion. As a critical region for ecological protection and disaster mitigation, the intertidal zone holds significant ecological and environmental value [1,2,3]. Therefore, it is of great significance to dynamically monitor the intertidal zones and timely detect their topographic changes.
Traditional single-beam or multi-beam bathymetric instruments rely on shipboard platforms. Although the operation is straightforward, they require extensive human and material resources and are susceptible to grounding in shallow waters, resulting in low measurement efficiency. Such limitations hinder their effectiveness in achieving continuous, large-scale observations in the dynamic and complex intertidal zones [4]. Airborne bathymetric light detection and ranging (LiDAR) systems provide a balance between accuracy and efficiency, but the cost of data acquisition is high and often restricted by airspace regulations. These methods are limited in remote or sensitive areas where ships and aircraft find it difficult to approach [4,5]. With the development of spaceborne remote sensing technology, various remote sensing methods have been used to obtain underwater terrain information. Optical remote sensing provides abundant data sources with wide coverage, which can periodically and widely acquire optical information about waters, such as hyperspectral and multispectral remote sensing images [6,7]. However, the measurement accuracy is relatively low due to various factors such as imaging technology and weather conditions [8]. Synthetic Aperture Radar (SAR) signals can penetrate clouds but are unable to penetrate the water bodies vertically; it can only obtain information about the underwater bottom based on surface wave patterns, restricting its bathymetric accuracy [5].In, contrast, spaceborne LiDAR offers advantages such as wide coverage, high repeat observation frequency, minimal impact from external factors, and high measurement accuracy. These advantages have made it widely applied in remote sensing studies of lakes, glaciers, and oceans [9]. ICESat-2, launched by NASA in September 2018, is a new-generation spaceborne LiDAR satellite equipped with the ATLAS sensor. ATLAS utilizes multi-beam, micropulse, and photon-counting technologies, featuring a higher pulse repetition frequency to obtain small-footprint, high-density photon point cloud data. Its maximum bathymetric capability can reach 38 m, showing great potential in the ecological environmental monitoring of intertidal zones [10,11]. However, the ATLAS system’s weak laser signals are susceptible to noise from the solar background, system characteristics, atmospheric scattering, and ground cover. These factors lead to a large amount of noise in the received data, complicating the signal extraction process [12]
As a region of frequent interaction between seawater and land, the intertidal zone contains numerous suspended particles and organisms. Photon data usually include signals reflected from various land covers such as land, water bodies, and vegetation, increasing the difficulty of noise removal. The Density-Based Spatial Clustering of Applications with Noise (DBSCAN) extracts signal photons based on the distribution density differences between signal photons and noise photons and has been widely applied in denoising various types of point cloud data [13]. However, this algorithm is highly sensitive to parameter settings, making it difficult to adapt to the complex environmental characteristics of the intertidal zone, thereby affecting denoising performance [14]. Denoising algorithms based on raster image processing require point cloud data to be rasterized, which may result in significant information loss in areas with complex land cover types, such as intertidal zones, and consequently lead to a notable reduction in denoising accuracy [15]. The statistical histogram algorithm identifies and removes noise points by calculating the local distance between each point and its neighboring points, plotting a local distance histogram, and setting thresholds. It is mainly applied in forests and mountainous areas [16]. However, in intertidal zones, the distribution characteristics of signal photons and noise photons are not as regular as those in forests or mountainous areas, and photon distribution often exhibits higher dynamics [17]. This limits the denoising capability of the statistical histogram algorithm. The ATL08 product employs the Differential, Regressive, and Gaussian Adaptive Nearest Neighbor (DRAGANN) method to denoise ATL03 data and performs well in relatively stable terrestrial areas with vegetation and minimal terrain variation [18]. However, when applied to the intertidal zone with its complex water–land transition topography and highly dynamic environment, the denoising performance of this method may decrease. Although these denoising methods have achieved some results, most of them are for a single scene and are mainly applied to land areas. When applied to complex and variable environments, they may have limitations. Research on denoising in intertidal zones with their complex and diverse land cover types is relatively scarce, which limits the capability to accurately monitor intertidal zones. Therefore, effectively removing noise in intertidal zones to obtain accurate land cover and topographic information has become a critical issue that needs to be solved urgently.
To improve the accuracy of photon denoising in intertidal zones and retain more effective land cover and topographic information, this study proposes a photon denoising method based on an adaptive strategy. By analyzing the photon distribution characteristics at the water–land boundary in intertidal zones, the method performs preliminary classification and adaptively adjusts the denoising strategy according to different land cover types, selecting the most suitable denoising algorithm for different types of photon data. The proposed method is further compared with traditional denoising algorithms, including DBSCAN, the statistical histogram algorithm, and the DRAGANN algorithm, to evaluate its denoising accuracy.
2. Study Areas and Data
ICESat-2/ATLAS operates with a 532-nanometer laser to emit pulses at a frequency of 10 kHz. Considering the satellite’s orbital altitude and velocity, the along-track photon spacing is approximately 0.7 m, forming an almost continuous profile on the Earth’s surface. As illustrated in Figure 1, each laser pulse emitted by the laser is split by optical elements into six individual pulses, arranged parallel on the ground into three pairs. Each pair of adjacent beams has a cross-track spacing of about 3.3 km. Within each pair, there are two sub-beams—namely, a strong beam and a weak beam—with an energy ratio of approximately 4:1. The strong and weak beams have a cross-track spacing of about 90 m and an along-track spacing of about 2.5 km, enhancing spatial coverage and determining local across-track slopes [19,20]. The main parameters of ICESat-2/ATLAS are given in Table 1. ICESat-2 provides four different levels of data products (L1, L2, L3A, and L3B) free to the public. The ATL03 product provides the source data for intertidal zone denoising in this study; it is a Level 2 product that records the time, latitude, longitude, and elevation of each photon event detected by ATLAS [21].
Figure 1.
ICESat-2 tracks and footprint distribution.
Table 1.
Main parameters of ICESat-2/ATLAS.
The ATL03 data used in this study are available from the National Snow and Ice Data Center (NSIDC) website (https://nsidc.org/data/icesat-2/data, accessed on 20 April 2024). Considering the impact of land cover and topographic factors on denoising effectiveness, four typical intertidal zones were selected for experiments in this study. The sandy intertidal zone is characterized by expansive sandy beaches formed by the accumulation of fine sand. The terrain is usually flat with relatively simple biological coverage (see Figure 2A). The rocky intertidal zone is typically found along coastlines composed of rocks. Due to its hard geological characteristics, this type of intertidal zone is less affected by erosion (see Figure 2B). The coral reef intertidal zone, as shown in Figure 2C, is submerged during high tide and exposed during low tide. The estuarine intertidal zone is commonly found in river estuaries (see Figure 2D). Sediments brought by rivers accumulate to form rich sandy or muddy terrains, often exhibiting high biodiversity.
Figure 2.
Laser tracks and profiles of the study areas: (A) sandy intertidal zone; (B) rocky intertidal zone; (C) coral reef intertidal zone; (D) estuarine intertidal zone, with the solid blue line as the laser track.
Detailed information on the four ATL03 data tracks used in this study is presented in Table 2, including the corresponding intertidal zone types, study areas, acquisition times, and the pulse beams used.
Table 2.
Study areas and data.
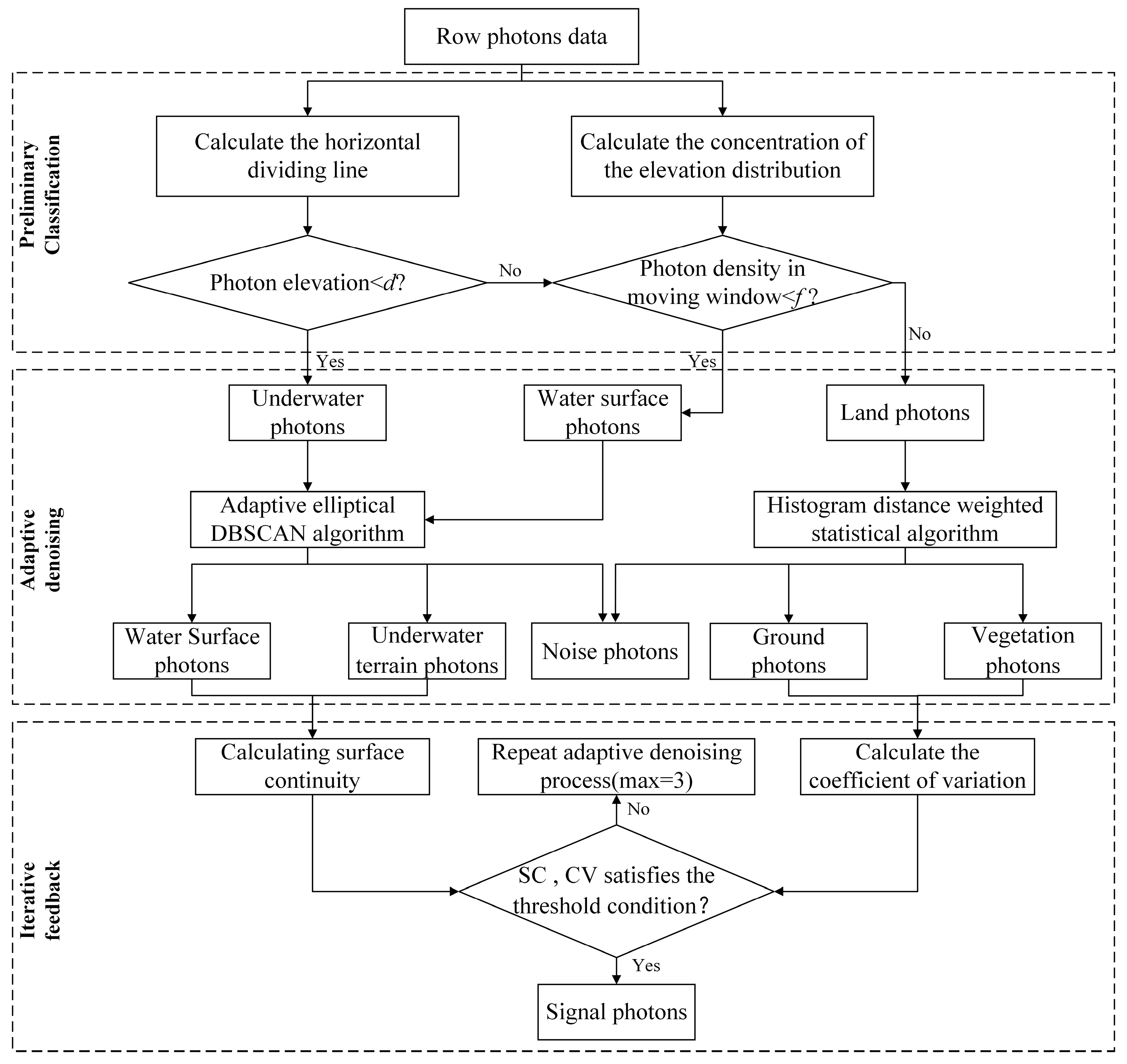
3. Methods
The intertidal zones contain various land covers such as land, water bodies, and vegetation. The interaction of laser emission signals with seawater and land results produces complex reflected signals, increasing the difficulty of distinguishing between signal and noise in photon point clouds [22]. To solve this problem, we first carried out a preliminary classification based on the distribution characteristics of photons at the water–land boundary. Subsequently, denoising algorithms were adaptively selected and applied according to the unique characteristics of different types of photons.
3.1. Preliminary Classification
In intertidal zones, the density of water surface photons is usually higher than that of exposed land and vegetated areas. This is mainly because water surface photon signals are obtained from the combined reflections of the water surface and the underwater, resulting in a larger number of water surface photons that are densely distributed [23]. In land areas close to the water surface, the reflective properties of the land surface are easily affected by factors such as vegetation coverage and surface slope, making land photons relatively sparse. Therefore, based on the non-uniformity of photon density distribution, we carried out a preliminary classification of photons at the water–land boundary. Considering the limited bathymetric capability of ICESat-2 when measuring intertidal zones, the boundary line near the shore can be approximated as a horizontal line [24]. The horizontal dividing line is calculated as follows:
where and are the mean elevation and standard deviation of the local water surface photons. was set to to ensure sufficient distinction between water surface photons and underwater photons. As illustrated in Figure 3, photons above the dividing line were classified as water surface photons, while those below were classified as underwater photons.
Figure 3.
Schematic of ATL03 raw data boundary.
At the water–land boundary, the photon density of the water surface is usually higher than that of the land. The moving window statistical method was used, setting the width of the moving window to 5 m and the length to be the difference in elevation between the photon with the highest elevation and the photon with the lowest elevation of the photon data in this track. We searched along the photon track and counted the histogram of the photon elevation frequency distribution within each window, as shown in Figure 4.
Figure 4.
(a) Solid blue line is the laser track. (b) ATL03 raw data profile with moving window in red. (c) Schematic of the moving window search. (d) Histogram of the frequency distribution of photon elevation within the yellow rectangular box. (e) Histogram of photon elevation frequency distribution in the red rectangular box.
By analyzing the photon point cloud data in Figure 4, it was found that water surface areas (the yellow rectangular box) usually exhibit a large number of photons and a concentrated elevation distribution. In contrast, land areas (the red rectangular box) have relatively fewer photons with more dispersed elevation distribution. Based on this phenomenon, the concentration of the photon elevation distribution was used as a key parameter to distinguish the water surface from the land areas. This method takes full use of the relatively flat surface of the water while the land is characterized by a large number of features and obvious changes in topography. Specifically, the concentration of photon elevation distribution is calculated as follows:
where is the standard deviation of photons detected within the moving window. The function normalizes the result to the range of (0,1], making comparisons between different regions more intuitive and consistent. An value close to 1 indicates a highly concentrated photon elevation distribution, corresponding to water surface areas; an value close to 0 indicates a highly dispersed distribution, corresponding to land areas. By setting a threshold for , we can distinguish between water surface photons and land photons.
We carried out a preliminary classification of the four types of intertidal zones: The sandy intertidal zone, as shown in Figure 5a, includes water surface photons, underwater photons, and land photons. The rocky intertidal zone, as shown in Figure 5b, includes water surface photons and land photons. The coral reef intertidal zone, as shown in Figure 5c, includes water surface photons and underwater photons. The estuarine intertidal zone is characterized by a substantial presence of suspended particles or organisms, which results in non-target reflective noise blending with photon signals from both the water surface and the underwater bottom. This phenomenon increases the photon thickness and leads to a mixture of water surface and underwater terrain photon signals. The results of the preliminary classification are presented in Figure 5d, which includes water surface photons and land photons. Each category of photons in all these intertidal zones contains both signal photons and noise photons.
Figure 5.
Preliminary classification results of photon data: (a) sandy intertidal zone; (b) rocky intertidal zone; (c) coral reef intertidal zone; (d) estuarine intertidal zone.
3.2. Adaptive Denoising
In land areas, factors such as vegetation coverage and surface slope result in a relatively sparse density of land photons. Therefore, a histogram distance-weighted statistical algorithm was utilized for denoising land photons. In contrast, in water surface regions, the photon density is higher, exhibiting pronounced variations in density in the along-track and cross-track directions. In underwater terrain regions, due to the long-term erosion by seawater, the extension of underwater terrain is relatively smooth, with fewer fluctuations compared with land. The underwater terrain photons have similar distribution characteristics to the water surface photons [25]. Therefore, an adaptive elliptical DBSCAN algorithm was used to effectively denoise water surface and underwater photons.
After one round of denoising the raw photon data, evaluation metrics, namely surface continuity (SC) and coefficient of variation (CV) for neighborhood distances, were introduced to establish an iterative feedback mechanism for assessing denoising results. This approach contributes to the continuous optimization of denoising outcomes through iterative parameter adjustment.
Under natural conditions, the variation in the elevation of water surface photons tends to be smooth and stable, and the variation in the elevation of underwater terrain photons is relatively gradual. To evaluate the elevation continuity of both water surface and underwater terrain photons, and to avoid signal fluctuations caused by residual noise, the standard deviation of photon elevation can be used as an indicator. The surface continuity () is calculated as follows:
where represents the elevation of the -th photon, is the mean elevation of all photons, and represents the total number of photons.
In contrast, the variations in the elevation of land photons are more pronounced, yet photons of the same type exhibit spatial consistency, with distances between neighboring photons oscillating within a certain range. To evaluate the spatial distribution consistency of photon data, the coefficient of variation () for neighborhood distances is calculated as follows:
where is the standard deviation of distances between neighboring photons, and is the mean distance between neighboring photons.
To define appropriate threshold ranges, 10–20 tracks of manually denoised photon point cloud data outside the study areas were selected to calculate the mean and standard deviation of and values, as shown below.
where and represent the and values of the -th track, and n is the number of point cloud tracks.
Based on the calculated mean and standard deviation, threshold ranges are defined as follows:
To more rigorously retain signal photons, three times the standard deviations and were selected.
After denoising the dataset, threshold evaluation was applied to determine whether to retain the photon as a signal photon. The criterion was as follows:
Here, if the and values satisfy the threshold conditions, the denoised data are considered to have met the retention criteria for signal photons, and the iteration stops, outputting the data as signal photons. To avoid infinite loops, the maximum number of denoising iterations was set to 3; that is, if the and values still did not reach the threshold after three iterations, the photon was considered a signal photon and output. The basic flowchart of the adaptive denoising method is shown in Figure 6.
Figure 6.
Basic flowchart of adaptive denoising method.
The histogram distance-weighted statistical algorithm distinguishes noise points from non-noise points in point cloud data based on differences in spatial distribution. Its advantage lies in its precise processing capability for low-density point cloud data. By dynamically adjusting weights and distance calculations, it can effectively distinguish between noise and signal photons, reducing the error recognition rate [26].
The Euclidean distance between each point in the point cloud and its nearest neighboring points is calculated as follows:
where and are the along-track distance and elevation of the photon point cloud.
To more accurately identify noise points, these distances were assigned weights [27]. The weight function is shown in the following equation:
where is used to adjust the attenuation rate of the weight, ensuring that the larger the distance between two points, the larger the weight; conversely, the smaller the distance, the smaller the weight.
The total weighted distance of each point to its nearest neighbors is calculated as follows:
Based on these total distances, a cumulative weighted distance frequency distribution histogram was plotted. Due to the different densities of noise points and non-noise points, the histogram exhibits two peaks, allowing for threshold setting to remove noise points.
The adaptive elliptical DBSCAN algorithm improves upon the traditional DBSCAN algorithm [28]. Its core idea is to replace the circular neighborhood in DBSCAN with an elliptical neighborhood, adaptively adjusting clustering parameters based on the local density characteristics of the data. This enhancement enables more effective handling of data with significant differences in distribution characteristics in the horizontal and vertical directions and uneven density distribution. In the traditional DBSCAN algorithm, two parameters need to be predefined: the neighborhood radius () and the minimum number of core points (). The adaptive elliptical DBSCAN algorithm adaptively adjusts the neighborhood radius () and to better accommodate variations in local photon density. When traversing the dataset, each photon is treated as a potential clustering object. If the number of photons within the given neighborhood radius is not less than the threshold , the photon is considered a core point. Subsequently, these core points and the photons in their neighborhoods are clustered based on density connectivity.
The elliptical distance between any two points and in two-dimensional space is calculated as follows:
When , point is within the neighborhood [11]. To simplify parameters, the neighborhood radius was fixed at . The size of the elliptical neighborhood was determined by the semi-major axis and the semi-minor axis .
Using the statistical characteristics of local photon data, the adaptive values of a and b are calculated as follows:
where and are the standard deviation of photons in the data segment in the horizontal and vertical directions.
The average photon density within the elliptical neighborhood is calculated as follows:
where is the total number of photons in the data segment, is the elevation range within the segment, and is the length along the track direction.
The adaptive is calculated as follows:
where , and the value of is estimated empirically so as to adaptively adjust .
For the photon point cloud data in the study areas, as long as the photon density in its neighborhood exceeds , these photons were classified as signal photons; otherwise, they were marked as noise photons. Figure 7 illustrates the denoising process of this adaptive elliptical BDSCAN algorithm.
Figure 7.
Schematic diagram of the adaptive elliptical DBSCAN algorithm.
4. Discussion
4.1. Analysis of Denoising Results
The proposed adaptive denoising method was applied to various intertidal zones, and the results are shown in Figure 8. This method effectively removes noise while preserving the integrity of signal photons. In estuarine intertidal zones, abundant sediment and vegetation are often present. By referencing classification results from ATL08 data, the denoised land photons were further classified into vegetation and ground photons.
Figure 8.
Adaptive denoising results: (a) sandy intertidal zone; (b) rocky intertidal zone; (c) coral reef intertidal zone; (d) estuarine intertidal zone.
The adaptive denoising method proposed in this paper incorporates improvements to the DBSCAN and statistical histogram algorithms, and the comparison with these two algorithms can intuitively reflect the effect of the improvements; the DRAGANN algorithm, as the official algorithm for ICESat-2 data processing, is highly representative. Therefore, the denoising results of the adaptive method were compared with those of traditional DBSCAN, statistical histogram, and DRAGANN algorithm across different types of intertidal zones. The DBSCAN algorithm, widely used for spatial clustering analysis, is particularly effective in handling noisy datasets. In the original ATL03 photon data, signal photons exhibit higher spatial density compared to noise photons. The DBSCAN algorithm uses this characteristic to cluster signal photons while identifying and removing dispersed noise photons [29]. The statistical histogram method leverages the differences in spatial distribution between signal photons and noise photons. It distinguishes signal photons from noise photons by analyzing spatial distribution differences, calculating photon distances, performing frequency analysis, and generating histograms [30]. The DRAGANN algorithm is a denoising algorithm specifically designed for the ATL08 product. It distinguishes signal photons and noise photons through adaptive nearest neighbor search and bimodal distribution analysis [14].
The denoising results of the sandy intertidal zone are shown in Figure 9. The proposed adaptive denoising method effectively removes most of the noise and better retains the underwater terrain signals. At the water–land boundary shown in Figure 9e, the adaptive denoising method has essentially removed all noise; however, with the DBSCAN algorithm, there are still scattered noises around the signal photons. The statistical histogram algorithm still retains more noise photons. The DRAGANN algorithm demonstrates good denoising performance, but may mistakenly identify underwater terrain signal photons as noise and remove them. In the red box area, the adaptive denoising method can more completely recognize underwater terrain photons; the DBSCAN algorithm identifies part of the underwater terrain photons as noise and removes them. Although the statistical histogram method can fully retain underwater terrain photons, it also retains more noise. The DRAGANN algorithm exhibits over-denoising, resulting in most of the underwater terrain signal photons being incorrectly removed.
Figure 9.
Sandy intertidal zone denoising results: (a–d) the adaptive denoising method, DBSCAN algorithm, histogram statistical algorithm, and DRAGANN algorithm in order; (e) zoomed-in comparison of the black dashed box, from left to right, the adaptive method, DBSCAN algorithm, histogram statistic algorithm, and DRAGANN algorithm.
The denoising results of the rocky intertidal zone are shown in Figure 10. When denoising water surface photons, both the proposed adaptive denoising method and the DRAGANN algorithm can effectively eliminate the vast majority of noise, while the DBSCAN algorithm and the statistical histogram algorithm retain more underwater noise (see Figure 10e). In the red box area, the adaptive denoising method, DBSCAN algorithm, and statistical histogram algorithm can all better retain land signal photons, whereas the DRAGANN algorithm has over-denoising issues, leading to most of the surface water and land signal photons being incorrectly removed. In contrast, the proposed adaptive denoising method not only effectively eliminates most of the noise but also better preserves land signal photons.
Figure 10.
Rocky intertidal zone denoising results: (a–d) the adaptive denoising method, DBSCAN algorithm, histogram statistical algorithm, and DRAGANN algorithm in order; (e) zoomed-in comparison of the black dashed box, from left to right, the adaptive method, DBSCAN algorithm, histogram statistic algorithm, and DRAGANN algorithm.
The denoising results of the coral reef intertidal zone are shown in Figure 11. A detailed analysis of the denoising performance of the four methods indicates that both the DBSCAN and DRAGANN algorithms effectively remove the majority of noise; however, a small amount of residual noise persists between the water surface and underwater terrain (Figure 11e). The statistical histogram algorithm retains a higher level of noise compared to the other methods, whereas the proposed adaptive denoising method demonstrates superior performance in eliminating noise photons in this region. In the red box area, although the DBSCAN algorithm can effectively eliminate noise, a small portion of signal photons are mistakenly identified as noise and removed. Similarly, the statistical histogram algorithm, though better at retaining underwater terrain signal photons, exhibits weaker denoising performance in areas where the underwater terrain is close to the water surface. The DRAGANN algorithm is less effective in retaining underwater terrain photons, resulting in a loss of critical signal data. In contrast, the adaptive denoising algorithm can accurately remove surrounding noise while completely preserving underwater terrain signal photons.
Figure 11.
Coral reef intertidal zone denoising results: (a–d) the adaptive denoising method, DBSCAN algorithm, histogram statistical algorithm, and DRAGANN algorithm in order; (e) zoomed-in comparison of the black dashed box, from left to right, the adaptive method, DBSCAN algorithm, histogram statistic algorithm, and DRAGANN algorithm.
The denoising results of the estuarine intertidal zone are shown in Figure 12. In this environment, the mixing of water surface photons with underwater terrain signal photons results in increased signal photon thickness. The proposed adaptive denoising method, as well as the DBSCAN and DRAGANN algorithms, effectively removes a significant portion of apparent noise, while the statistical histogram algorithm retains some scattered noise. In the red box area, both the adaptive denoising method and the DRAGANN algorithm demonstrate superior performance in noise removal. In contrast, the DBSCAN and statistical histogram algorithms retain more underwater noise, reducing the overall effectiveness. At the water–land boundary in Figure 12e, the DBSCAN algorithm and the statistical histogram algorithm retain more noise, while the adaptive denoising method and the DRAGANN algorithm can better remove the noise around the signal photons.
Figure 12.
Estuarine intertidal zone denoising results: (a–d) the adaptive denoising method, DBSCAN algorithm, histogram statistical algorithm, and DRAGANN algorithm in order; (e) zoomed-in comparison of the black dashed box, from left to right, the adaptive method, DBSCAN algorithm, histogram statistic algorithm, and DRAGANN algorithm.
In summary, across the four different types of intertidal zones, the proposed adaptive denoising method can comprehensively remove noise, clearly distinguish between signal and noise, and maintain the integrity of signal photons.
4.2. Accuracy Evaluation
This paper introduces three statistical evaluation metrics to quantitatively assess the performance of the algorithms [31]: recall (R), precision (P), and F-score (F). Recall represents the proportion of correctly extracted effective signal photons to the total number of original signal photons. Precision refers to the ratio of the number of correctly extracted effective signal photons to the total number of extracted effective signal photons. The F-score is the harmonic mean of recall and precision. The calculation formulas are shown in the following equations:
where is the number of photons identified as signal photons, which are actually signal photons; is the number of photons identified as signal photons, but they are actually noise photons; is the number of photons identified as noise photons, but they are actually signal photons.
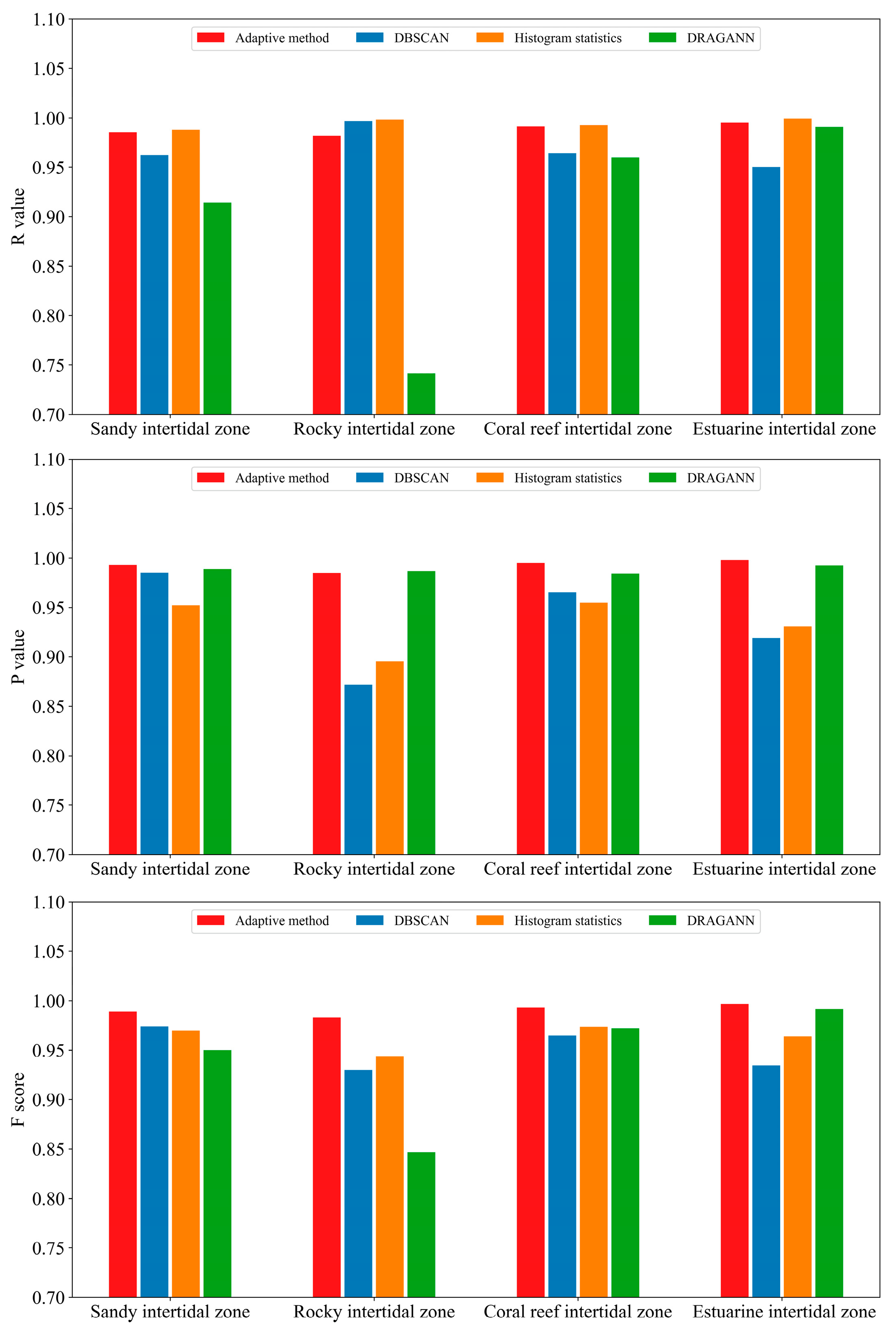
In this study, photon data from four typical intertidal zones—sandy, rocky, coral reef, and estuarine intertidal zones—were subjected to denoising processing using the adaptive denoising method, the DBSCAN algorithm, the statistical histogram algorithm, and the DRAGANN algorithm. The denoising effects were evaluated and statistically analyzed using the three metrics , , and , with the results shown in Table 3 and Figure 13.
Table 3.
Statistical table of denoising metrics.
Figure 13.
Quantitative statistical histogram of denoising performance.
Based on the statistical results, in the sandy intertidal zone, the statistical histogram algorithm achieved the highest recall rate of 0.9878, indicating that it can effectively retain signal photons. However, its precision was comparatively lower at 0.9522. In contrast, the adaptive denoising method achieved recall and precision rates of 0.9853 and 0.9930, respectively, with an F-score of 0.9891, the highest among all methods. This demonstrates the superior ability of the adaptive denoising method to balance recall and precision.
In the rocky intertidal zone, the statistical histogram algorithm once again achieved the highest recall rate of 0.9984, but its precision was relatively low at 0.8953. Similarly, the DBSCAN algorithm also had a high recall rate of 0.9968 but a low precision of 0.8716 and an F-score of 0.9300. The DRAGANN algorithm achieved the highest precision at 0.9870, but its recall rate and F-score were lower, at 0.7415 and 0.8468. The adaptive denoising method balanced recall and precision, achieving rates of 0.9818 and 0.9848, with an F-score of 0.9833, exhibiting strong adaptability and stability.
In the coral reef intertidal zone, the statistical histogram algorithm achieved a recall rate of 0.9928, a precision of 0.9548, and an F-score of 0.9734, indicating good denoising performance. The DRAGANN algorithm achieved a higher precision at 0.9841 but a lower recall rate of 0.9600 and an F-score of 0.9719. The adaptive denoising method achieved recall and precision rates of 0.9916 and 0.9949, with an F-score of 0.9932, demonstrating stronger adaptability and stability in the coral reef intertidal zone.
In the estuarine intertidal zone, the statistical histogram algorithm achieved a recall rate of 0.9994, almost retaining all signal photons, but a relatively low precision of 0.9308 and an F-score of 0.9630. The DRAGANN algorithm achieved a higher precision at 0.9925 while maintaining a high recall rate of 0.9907, resulting in an F-score of 0.9916, the best among all methods. The adaptive denoising method balanced recall and precision, achieving rates of 0.9953 and 0.9980, with an F-score of 0.9967, reflecting good denoising performance; it performed the best among all the methods. Table 4 shows the average R, P, and F of different methods across the four typical intertidal zones.
Table 4.
The average metrics.
By comprehensively comparing the denoising effects across various types of intertidal zones, it is evident that the traditional DBSCAN algorithm, the statistical histogram algorithm, and the DRAGANN algorithm can exhibit good denoising performance in specific environments, but it is difficult to maintain stability in different environments. In contrast, the adaptive denoising method demonstrates excellent performance and stability in various environments. It is able to achieve a good balance between recall and precision in most situations and maintains a high F-score. This indicates that the method can effectively adapt to the characteristics of different types of intertidal zones, achieving comprehensive and robust denoising.
5. Conclusions
This study addresses the challenges posed by the complex and diverse land cover types in intertidal zones and the difficulty in distinguishing between noise photons and signal photons. We propose a photon denoising method based on an adaptive strategy. The method’s key feature is dynamically adjusting the denoising strategy by analyzing photon distribution characteristics at the water–land boundary in intertidal zones, employing corresponding denoising algorithms for different types of photon data. We selected ATL03 photon point cloud data from four typical intertidal zones for denoising analysis and compared the results with those of the traditional DBSCAN algorithm, the statistical histogram algorithm, and the DRAGANN algorithm. The following conclusions were drawn:
- The proposed adaptive denoising method achieved excellent performance across the four typical intertidal zones, with average recall, precision, and F-score values reaching 0.9885, 0.9927, and 0.9906, respectively, demonstrating high overall accuracy. This indicates that the method can comprehensively remove noise while retaining the integrity of signal photons.
- Compared to single traditional denoising algorithms, the adaptive denoising method exhibits significant advantages in handling complex terrain features. In areas with dramatic terrain changes, such as water–land boundaries, in particular, the method can more accurately identify and retain key topographic features while efficiently removing surrounding noise points.
Author Contributions
C.W. and S.L. proposed the methodology and wrote the manuscript. L.D. contributed to improving the methodology and is the corresponding author. L.C. helped edit and improve the manuscript. C.W. contributed to methodological testing. All authors have read and agreed to the published version of the manuscript.
Funding
This research was supported by the project of the Key Laboratory of SmartEarth, China (No. KF2023YB02-03), the project of the Natural Science Foundation of Hunan Province, China (No. 2023JJ30233), and the project supported by Scientific Research Fund of Hunan Provincial Education Department (Grant No. 24B0451).
Institutional Review Board Statement
Not applicable.
Informed Consent Statement
Not applicable.
Data Availability Statement
The ATL03 and ATL08 datasets provided in the article are available at https://search.earthdata.nasa.gov/, accessed on 20 April 2024.
Acknowledgments
We would like to express appreciation to the NASA NSIDC for providing the ICESat-2 data used in the article. Moreover, we thank the reviewers and editors for their helpful comments and insightful suggestions.
Conflicts of Interest
Author Lei Ding was employed by the company Space Star Technology Co., Ltd. The remaining authors declare that the research was conducted in the absence of any commercial.
References
- Noujas, V.; Thomas, K.V.; Badarees, K.O. Shoreline management plan for a mudbank dominated coast. Ocean Eng. 2016, 112, 47–65. [Google Scholar] [CrossRef]
- Xu, N.; Ma, Y.; Yang, J.; Wang, X.H.; Wang, Y.; Xu, R. Deriving Tidal Flat Topography Using ICESat-2 Laser Altimetry and Sentinel-2 Imagery. Geophys. Res. Lett. 2022, 49, e2021GL096813. [Google Scholar] [CrossRef]
- Fitton, J.M.; Rennie, A.F.; Hansom, J.D.; Muir, F.M.E. Remotely sensed mapping of the intertidal zone: A Sentinel-2 and Google Earth Engine methodology. Remote Sens. Appl. Soc. Environ. 2021, 22, 100499. [Google Scholar] [CrossRef]
- Kim, H.; Lee, S.B.; Min, K.S. Shoreline change analysis using airborne LiDAR bathymetry for coastal monitoring. J. Coast. Res. 2017, 79, 269–273. [Google Scholar] [CrossRef]
- Renga, A.; Rufino, G.; D’Errico, M.; Moccia, A.; Boccia, V.; Graziano, M.D.; Aragno, C.; Zoffoli, S. SAR bathymetry in the Tyrrhenian Sea by COSMO-SkyMed data: A novel approach. IEEE J. Sel. Top. Appl. Earth Obs. Remote Sens. 2014, 7, 2834–2847. [Google Scholar] [CrossRef]
- Li, J.; Zheng, K.; Li, Z.; Gao, L.; Jia, X. X-shaped interactive autoencoders with cross-modality mutual learning for unsupervised hyperspectral image super-resolution. IEEE Trans. Geosci. Remote Sens. 2023, 61, 5518317. [Google Scholar] [CrossRef]
- Li, J.; Zheng, K.; Gao, L.; Ni, L.; Huang, M.; Chanussot, J. Model-informed multistage unsupervised network for hyperspectral image super-resolution. IEEE Trans. Geosci. Remote Sens. 2024, 62, 5516117. [Google Scholar] [CrossRef]
- Zhong, J.; Sun, J.; Lai, Z. ICESat-2 and Multispectral Images Based Coral Reefs Geomorphic Zone Mapping Using a Deep Learning Approach. IEEE J. Sel. Top. Appl. Earth Obs. Remote Sens. 2024, 17, 6085–6098. [Google Scholar] [CrossRef]
- Smith, B.; Fricker, H.A.; Holschuh, N.; Gardner, A.S.; Adusumilli, S.; Brunt, K.M.; Csatho, B.; Harbeck, K.; Huth, A.; Neumann, T.; et al. Land ice height-retrieval algorithm for NASA’s ICESat-2 photon-counting laser altimeter. Remote Sens. Environ. 2019, 233, 111352. [Google Scholar] [CrossRef]
- Neumann, T.A.; Martino, A.J.; Markus, T.; Bae, S.; Bock, M.R.; Brenner, A.C.; Brunt, K.M.; Cavanaugh, J.; Fernandes, S.T.; Hancock, D.W.; et al. The Ice, Cloud, and Land Elevation Satellite-2 mission: A global geolocated photon product derived from the Advanced Topographic Laser Altimeter System. Remote Sens. Environ. 2019, 233, 111325. [Google Scholar] [CrossRef]
- Parrish, C.E.; Magruder, L.A.; Neuenschwander, A.L.; Forfinski-Sarkozi, N.; Alonzo, M.; Jasinski, M. Validation of ICESat-2 ATLAS Bathymetry and Analysis of ATLAS’s Bathymetric Mapping Performance. Remote Sens. 2019, 11, 1634. [Google Scholar] [CrossRef]
- Liu, J.; Liu, J.; Xie, H.; Ye, D.; Li, P. A Multi-Level Auto-Adaptive Noise-Filtering Algorithm for Land ICESat-2 Photon-Counting Data. Remote Sens. 2023, 15, 5176. [Google Scholar] [CrossRef]
- Ester, M.; Kriegel, H.P.; Sander, J.; Xu, X. A density-based algorithm for discovering clusters in large spatial databases with noise. In Proceedings of the 2nd International Conference on Knowledge Discovery and Data Mining (KDD’96), Portland, OR, USA, 2–4 August 1996; pp. 226–231. Available online: https://dl.acm.org/doi/10.5555/3001460.3001507 (accessed on 22 May 2024).
- Kui, M.; Xu, Y.; Wang, J.; Cheng, F. Research on the Adaptability of Typical Denoising Algorithms Based on ICESat-2 Data. Remote Sens. 2023, 15, 3884. [Google Scholar] [CrossRef]
- Magruder, L.A.; Wharton, M.E.; Stout, K.D.; Neuenschwander, A.L. Noise filtering techniques for photon-counting ladar data. In Proceedings of the SPIE Defense, Security, and Sensing, Baltimore, MD, USA, 23–27 April 2012; p. 8379. [Google Scholar] [CrossRef]
- Huang, X.; Cheng, F.; Wang, J.; Duan, P.; Wang, J. Forest Canopy Height Extraction Method Based on ICESat-2/ATLAS Data. IEEE Trans. Geosci. Remote Sens. 2023, 61, 1–14. [Google Scholar] [CrossRef]
- Wang, L.; Zhang, X.; Zhang, Y.; Chen, F.; Dang, S.; Sun, T. A Density-Based Multilevel Terrain-Adaptive Noise Removal Method for ICESat-2 Photon-Counting Data. Sensors 2023, 23, 9742. [Google Scholar] [CrossRef] [PubMed]
- Neuenschwander, A.; Pitts, K. The ATL08 land and vegetation product for the ICESat-2 Mission. Remote Sens. Environ. 2019, 221, 247–259. [Google Scholar] [CrossRef]
- Leng, Z.; Zhang, J.; Ma, Y.; Zhang, J.; Zhu, H. A novel bathymetry signal photon extraction algorithm for photon-counting LiDAR based on adaptive elliptical neighborhood. Int. J. Appl. Earth Obs. Geoinf. 2022, 115, 103080. [Google Scholar] [CrossRef]
- Xie, H.; Ye, D.; Xu, Q.; Sun, Y.; Huang, P.; Tong, X.; Guo, Y.; Liu, X.; Liu, S. A density-based adaptive ground and canopy detecting method for ICESat-2 photon-counting data. IEEE Trans. Geosci. Remote Sens. 2022, 60, 4411813. [Google Scholar] [CrossRef]
- He, L.; Pang, Y.; Zhang, Z.; Liang, X.; Chen, B. ICESat-2 data classification and estimation of terrain height and canopy height. Int. J. Appl. Earth Obs. Geoinf. 2023, 118, 103233. [Google Scholar] [CrossRef]
- Wang, K.; Li, H.; Zhang, N.; Zhang, J.; Zhang, X.; Gong, Z. Study on the Erosion and Deposition Changes of Tidal Flat in Jiangsu Province Using ICESat-2 and Sentinel-2 Data. Remote Sens. 2023, 15, 3598. [Google Scholar] [CrossRef]
- Li, J.; Chu, S.; Hu, Q.; Cong, Y.; Cheng, J.; Chen, H.; Cheng, L.; Zhang, G.; Xing, S. Land-sea classification based on the fast feature detection model for ICESat-2 ATL03 datasets. Int. J. Appl. Earth Obs. Geoinf. 2024, 130, 103916. [Google Scholar] [CrossRef]
- Zhong, J.; Liu, X.; Shen, X.; Jiang, L. A Robust Algorithm for Photon Denoising and Bathymetric Estimation Based on ICESat-2 Data. Remote Sens. 2023, 15, 2051. [Google Scholar] [CrossRef]
- Wang, B.; Ma, Y.; Zhang, J.; Zhang, H.; Zhu, H.; Leng, Z.; Zhang, X.; Cui, A. A noise removal algorithm based on adaptive elevation difference thresholding for ICESat-2 photon-counting data. Int. J. Appl. Earth Obs. Geoinf. 2023, 117, 103207. [Google Scholar] [CrossRef]
- Zhang, G.; Lian, W.; Li, S.; Cui, H.; Jing, M.; Chen, Z. A Self-Adaptive Denoising Algorithm Based on Genetic Algorithm for Photon-Counting Lidar Data. IEEE Geosci. Remote Sens. Lett. 2022, 19, 3067609. [Google Scholar] [CrossRef]
- Lian, W.; Li, S.; Zhang, G.; Chen, X.; Li, Z. Denoising Algorithm Based on Local Distance Weighted Statistics for Photon Counting Lidar Point Data. In Proceedings of the IGARSS 2019–2019 IEEE International Geoscience and Remote Sensing Symposium, Yokohama, Japan, 28 July–2 August 2019; pp. 8988–8991. [Google Scholar] [CrossRef]
- Zhang, J.; Kerekes, J.; Csatho, B.; Schenk, T.; Wheelwright, R. A clustering approach for detection of ground in micropulse photon-counting lidar altimeter data. In Proceedings of the Geoscience and Remote Sensing Symposium, Quebec City, QC, Canada, 13–18 July 2014; pp. 177–180. [Google Scholar] [CrossRef]
- Zhu, X.; Nie, S.; Wang, C.; Xi, X.; Wang, J.; Li, D.; Zhou, H. A noise removal algorithm based on OPTICS for photon-counting LiDAR data. IEEE Geosci. Remote Sens. Lett. 2020, 18, 1471–1475. [Google Scholar] [CrossRef]
- Xie, J.; Zhong, J.; Mo, F.; Liu, R.; Li, X.; Yang, X.; Zeng, J. Denoising and Accuracy Evaluation of ICESat-2/ATLAS Photon Data for Nearshore Waters Based on Improved Local Distance Statistics. Remote Sens. 2023, 15, 2828. [Google Scholar] [CrossRef]
- Zheng, X.; Hou, C.; Huang, M.; Ma, D.; Li, M. A density and distance-based method for ICESat-2 photon-counting data denoising. IEEE Geosci. Remote Sens. Lett. 2023, 20, 6500405. [Google Scholar] [CrossRef]
Disclaimer/Publisher’s Note: The statements, opinions and data contained in all publications are solely those of the individual author(s) and contributor(s) and not of MDPI and/or the editor(s). MDPI and/or the editor(s) disclaim responsibility for any injury to people or property resulting from any ideas, methods, instructions or products referred to in the content. |
© 2024 by the authors. Licensee MDPI, Basel, Switzerland. This article is an open access article distributed under the terms and conditions of the Creative Commons Attribution (CC BY) license (https://creativecommons.org/licenses/by/4.0/).












