An Adaptive Denoising Method for Photon-Counting LiDAR Point Clouds: Application in Intertidal Zones
Abstract
1. Introduction
2. Study Areas and Data
3. Methods
3.1. Preliminary Classification
3.2. Adaptive Denoising
4. Discussion
4.1. Analysis of Denoising Results
4.2. Accuracy Evaluation
5. Conclusions
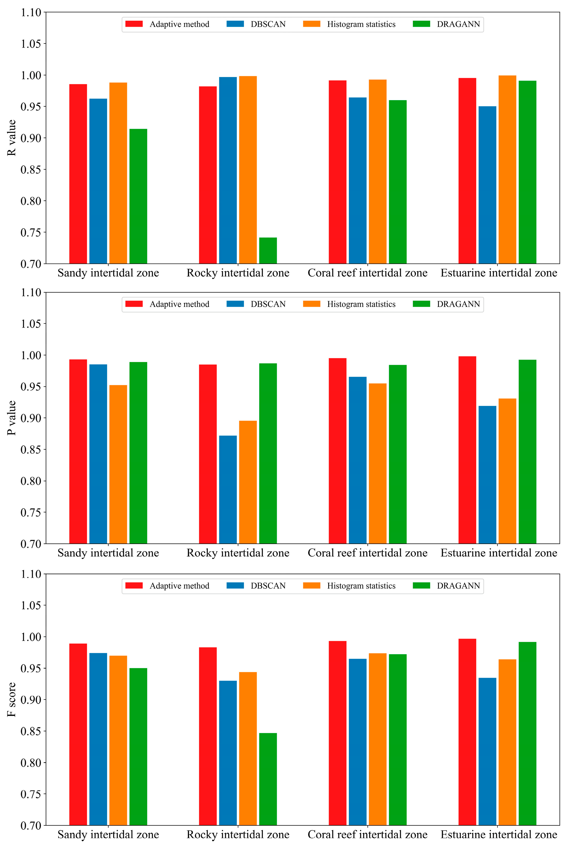
- The proposed adaptive denoising method achieved excellent performance across the four typical intertidal zones, with average recall, precision, and F-score values reaching 0.9885, 0.9927, and 0.9906, respectively, demonstrating high overall accuracy. This indicates that the method can comprehensively remove noise while retaining the integrity of signal photons.
- Compared to single traditional denoising algorithms, the adaptive denoising method exhibits significant advantages in handling complex terrain features. In areas with dramatic terrain changes, such as water–land boundaries, in particular, the method can more accurately identify and retain key topographic features while efficiently removing surrounding noise points.
Author Contributions
Funding
Institutional Review Board Statement
Informed Consent Statement
Data Availability Statement
Acknowledgments
Conflicts of Interest
References
- Noujas, V.; Thomas, K.V.; Badarees, K.O. Shoreline management plan for a mudbank dominated coast. Ocean Eng. 2016, 112, 47–65. [Google Scholar] [CrossRef]
- Xu, N.; Ma, Y.; Yang, J.; Wang, X.H.; Wang, Y.; Xu, R. Deriving Tidal Flat Topography Using ICESat-2 Laser Altimetry and Sentinel-2 Imagery. Geophys. Res. Lett. 2022, 49, e2021GL096813. [Google Scholar] [CrossRef]
- Fitton, J.M.; Rennie, A.F.; Hansom, J.D.; Muir, F.M.E. Remotely sensed mapping of the intertidal zone: A Sentinel-2 and Google Earth Engine methodology. Remote Sens. Appl. Soc. Environ. 2021, 22, 100499. [Google Scholar] [CrossRef]
- Kim, H.; Lee, S.B.; Min, K.S. Shoreline change analysis using airborne LiDAR bathymetry for coastal monitoring. J. Coast. Res. 2017, 79, 269–273. [Google Scholar] [CrossRef]
- Renga, A.; Rufino, G.; D’Errico, M.; Moccia, A.; Boccia, V.; Graziano, M.D.; Aragno, C.; Zoffoli, S. SAR bathymetry in the Tyrrhenian Sea by COSMO-SkyMed data: A novel approach. IEEE J. Sel. Top. Appl. Earth Obs. Remote Sens. 2014, 7, 2834–2847. [Google Scholar] [CrossRef]
- Li, J.; Zheng, K.; Li, Z.; Gao, L.; Jia, X. X-shaped interactive autoencoders with cross-modality mutual learning for unsupervised hyperspectral image super-resolution. IEEE Trans. Geosci. Remote Sens. 2023, 61, 5518317. [Google Scholar] [CrossRef]
- Li, J.; Zheng, K.; Gao, L.; Ni, L.; Huang, M.; Chanussot, J. Model-informed multistage unsupervised network for hyperspectral image super-resolution. IEEE Trans. Geosci. Remote Sens. 2024, 62, 5516117. [Google Scholar] [CrossRef]
- Zhong, J.; Sun, J.; Lai, Z. ICESat-2 and Multispectral Images Based Coral Reefs Geomorphic Zone Mapping Using a Deep Learning Approach. IEEE J. Sel. Top. Appl. Earth Obs. Remote Sens. 2024, 17, 6085–6098. [Google Scholar] [CrossRef]
- Smith, B.; Fricker, H.A.; Holschuh, N.; Gardner, A.S.; Adusumilli, S.; Brunt, K.M.; Csatho, B.; Harbeck, K.; Huth, A.; Neumann, T.; et al. Land ice height-retrieval algorithm for NASA’s ICESat-2 photon-counting laser altimeter. Remote Sens. Environ. 2019, 233, 111352. [Google Scholar] [CrossRef]
- Neumann, T.A.; Martino, A.J.; Markus, T.; Bae, S.; Bock, M.R.; Brenner, A.C.; Brunt, K.M.; Cavanaugh, J.; Fernandes, S.T.; Hancock, D.W.; et al. The Ice, Cloud, and Land Elevation Satellite-2 mission: A global geolocated photon product derived from the Advanced Topographic Laser Altimeter System. Remote Sens. Environ. 2019, 233, 111325. [Google Scholar] [CrossRef]
- Parrish, C.E.; Magruder, L.A.; Neuenschwander, A.L.; Forfinski-Sarkozi, N.; Alonzo, M.; Jasinski, M. Validation of ICESat-2 ATLAS Bathymetry and Analysis of ATLAS’s Bathymetric Mapping Performance. Remote Sens. 2019, 11, 1634. [Google Scholar] [CrossRef]
- Liu, J.; Liu, J.; Xie, H.; Ye, D.; Li, P. A Multi-Level Auto-Adaptive Noise-Filtering Algorithm for Land ICESat-2 Photon-Counting Data. Remote Sens. 2023, 15, 5176. [Google Scholar] [CrossRef]
- Ester, M.; Kriegel, H.P.; Sander, J.; Xu, X. A density-based algorithm for discovering clusters in large spatial databases with noise. In Proceedings of the 2nd International Conference on Knowledge Discovery and Data Mining (KDD’96), Portland, OR, USA, 2–4 August 1996; pp. 226–231. Available online: https://dl.acm.org/doi/10.5555/3001460.3001507 (accessed on 22 May 2024).
- Kui, M.; Xu, Y.; Wang, J.; Cheng, F. Research on the Adaptability of Typical Denoising Algorithms Based on ICESat-2 Data. Remote Sens. 2023, 15, 3884. [Google Scholar] [CrossRef]
- Magruder, L.A.; Wharton, M.E.; Stout, K.D.; Neuenschwander, A.L. Noise filtering techniques for photon-counting ladar data. In Proceedings of the SPIE Defense, Security, and Sensing, Baltimore, MD, USA, 23–27 April 2012; p. 8379. [Google Scholar] [CrossRef]
- Huang, X.; Cheng, F.; Wang, J.; Duan, P.; Wang, J. Forest Canopy Height Extraction Method Based on ICESat-2/ATLAS Data. IEEE Trans. Geosci. Remote Sens. 2023, 61, 1–14. [Google Scholar] [CrossRef]
- Wang, L.; Zhang, X.; Zhang, Y.; Chen, F.; Dang, S.; Sun, T. A Density-Based Multilevel Terrain-Adaptive Noise Removal Method for ICESat-2 Photon-Counting Data. Sensors 2023, 23, 9742. [Google Scholar] [CrossRef] [PubMed]
- Neuenschwander, A.; Pitts, K. The ATL08 land and vegetation product for the ICESat-2 Mission. Remote Sens. Environ. 2019, 221, 247–259. [Google Scholar] [CrossRef]
- Leng, Z.; Zhang, J.; Ma, Y.; Zhang, J.; Zhu, H. A novel bathymetry signal photon extraction algorithm for photon-counting LiDAR based on adaptive elliptical neighborhood. Int. J. Appl. Earth Obs. Geoinf. 2022, 115, 103080. [Google Scholar] [CrossRef]
- Xie, H.; Ye, D.; Xu, Q.; Sun, Y.; Huang, P.; Tong, X.; Guo, Y.; Liu, X.; Liu, S. A density-based adaptive ground and canopy detecting method for ICESat-2 photon-counting data. IEEE Trans. Geosci. Remote Sens. 2022, 60, 4411813. [Google Scholar] [CrossRef]
- He, L.; Pang, Y.; Zhang, Z.; Liang, X.; Chen, B. ICESat-2 data classification and estimation of terrain height and canopy height. Int. J. Appl. Earth Obs. Geoinf. 2023, 118, 103233. [Google Scholar] [CrossRef]
- Wang, K.; Li, H.; Zhang, N.; Zhang, J.; Zhang, X.; Gong, Z. Study on the Erosion and Deposition Changes of Tidal Flat in Jiangsu Province Using ICESat-2 and Sentinel-2 Data. Remote Sens. 2023, 15, 3598. [Google Scholar] [CrossRef]
- Li, J.; Chu, S.; Hu, Q.; Cong, Y.; Cheng, J.; Chen, H.; Cheng, L.; Zhang, G.; Xing, S. Land-sea classification based on the fast feature detection model for ICESat-2 ATL03 datasets. Int. J. Appl. Earth Obs. Geoinf. 2024, 130, 103916. [Google Scholar] [CrossRef]
- Zhong, J.; Liu, X.; Shen, X.; Jiang, L. A Robust Algorithm for Photon Denoising and Bathymetric Estimation Based on ICESat-2 Data. Remote Sens. 2023, 15, 2051. [Google Scholar] [CrossRef]
- Wang, B.; Ma, Y.; Zhang, J.; Zhang, H.; Zhu, H.; Leng, Z.; Zhang, X.; Cui, A. A noise removal algorithm based on adaptive elevation difference thresholding for ICESat-2 photon-counting data. Int. J. Appl. Earth Obs. Geoinf. 2023, 117, 103207. [Google Scholar] [CrossRef]
- Zhang, G.; Lian, W.; Li, S.; Cui, H.; Jing, M.; Chen, Z. A Self-Adaptive Denoising Algorithm Based on Genetic Algorithm for Photon-Counting Lidar Data. IEEE Geosci. Remote Sens. Lett. 2022, 19, 3067609. [Google Scholar] [CrossRef]
- Lian, W.; Li, S.; Zhang, G.; Chen, X.; Li, Z. Denoising Algorithm Based on Local Distance Weighted Statistics for Photon Counting Lidar Point Data. In Proceedings of the IGARSS 2019–2019 IEEE International Geoscience and Remote Sensing Symposium, Yokohama, Japan, 28 July–2 August 2019; pp. 8988–8991. [Google Scholar] [CrossRef]
- Zhang, J.; Kerekes, J.; Csatho, B.; Schenk, T.; Wheelwright, R. A clustering approach for detection of ground in micropulse photon-counting lidar altimeter data. In Proceedings of the Geoscience and Remote Sensing Symposium, Quebec City, QC, Canada, 13–18 July 2014; pp. 177–180. [Google Scholar] [CrossRef]
- Zhu, X.; Nie, S.; Wang, C.; Xi, X.; Wang, J.; Li, D.; Zhou, H. A noise removal algorithm based on OPTICS for photon-counting LiDAR data. IEEE Geosci. Remote Sens. Lett. 2020, 18, 1471–1475. [Google Scholar] [CrossRef]
- Xie, J.; Zhong, J.; Mo, F.; Liu, R.; Li, X.; Yang, X.; Zeng, J. Denoising and Accuracy Evaluation of ICESat-2/ATLAS Photon Data for Nearshore Waters Based on Improved Local Distance Statistics. Remote Sens. 2023, 15, 2828. [Google Scholar] [CrossRef]
- Zheng, X.; Hou, C.; Huang, M.; Ma, D.; Li, M. A density and distance-based method for ICESat-2 photon-counting data denoising. IEEE Geosci. Remote Sens. Lett. 2023, 20, 6500405. [Google Scholar] [CrossRef]













| Parameters | Values | Parameters | Values |
|---|---|---|---|
| Track repeat period | 91 days | Along-track separation | 0.7 m |
| Laser wavelength | 532 nm | Number of beams | 6 |
| Transmitted pulse width | 1.5 ns | Distance with a pair | ~90 m |
| Pulse repetition rate | 10 kHz | Distance between beam pairs | ~3.3 km |
| Footprint size | ~11 m | Beam energy per pulse (strong, weak) | 175 ± 17 μJ, 45 ± 5 μJ |
| Intertidal Zone Types | Study Areas | ATL03 Data | Day/Night | Track Used |
|---|---|---|---|---|
| Sandy intertidal zone | Hayma, Oman | ATL03_20231216172359_13552101_006_02_h5 | night | gt1r |
| Rocky intertidal zone | Qingdao, Shandong | ATL03_20220917105543_13371602_006_01.h5 | night | gt2r |
| Coral reef intertidal zone | Sansha, Hainan | ATL03_20210717075633_03621201_006_01.h5 | day | gt1r |
| Estuarine intertidal zone | Guangxi Beihai | ATL03_20190929152507_00420501_006_02.h5 | night | gt1r |
| Study Areas | Denoising Method | R | P | F |
|---|---|---|---|---|
| Sandy intertidal zone | Adaptive | 0.9853 | 0.9930 | 0.9891 |
| DBSCAN | 0.9625 | 0.9853 | 0.9738 | |
| Statistical histogram | 0.9878 | 0.9522 | 0.9697 | |
| DRAGANN | 0.9141 | 0.9888 | 0.9500 | |
| Rocky intertidal zone | Adaptive | 0.9818 | 0.9848 | 0.9833 |
| DBSCAN | 0.9968 | 0.8716 | 0.9300 | |
| Statistical histogram | 0.9984 | 0.8953 | 0.9440 | |
| DRAGANN | 0.7415 | 0.9870 | 0.8468 | |
| Coral reef intertidal zone | Adaptive | 0.9916 | 0.9949 | 0.9932 |
| DBSCAN | 0.9643 | 0.9653 | 0.9648 | |
| Statistical histogram | 0.9928 | 0.9548 | 0.9734 | |
| DRAGANN | 0.9600 | 0.9841 | 0.9719 | |
| Estuarine intertidal zone | Adaptive | 0.9953 | 0.9980 | 0.9967 |
| DBSCAN | 0.9502 | 0.9191 | 0.9344 | |
| Statistical histogram | 0.9994 | 0.9308 | 0.9639 | |
| DRAGANN | 0.9907 | 0.9925 | 0.9916 |
| Denoising Method | R | P | F |
|---|---|---|---|
| Adaptive | 0.9885 | 0.9927 | 0.9906 |
| DBSCAN | 0.9684 | 0.9353 | 0.9508 |
| Statistical histogram | 0.9946 | 0.9333 | 0.9628 |
| DRAGANN | 0.9016 | 0.9881 | 0.9401 |
Disclaimer/Publisher’s Note: The statements, opinions and data contained in all publications are solely those of the individual author(s) and contributor(s) and not of MDPI and/or the editor(s). MDPI and/or the editor(s) disclaim responsibility for any injury to people or property resulting from any ideas, methods, instructions or products referred to in the content. |
© 2024 by the authors. Licensee MDPI, Basel, Switzerland. This article is an open access article distributed under the terms and conditions of the Creative Commons Attribution (CC BY) license (https://creativecommons.org/licenses/by/4.0/).
Share and Cite
Wu, C.; Ding, L.; Cong, L.; Li, S. An Adaptive Denoising Method for Photon-Counting LiDAR Point Clouds: Application in Intertidal Zones. Photonics 2025, 12, 13. https://doi.org/10.3390/photonics12010013
Wu C, Ding L, Cong L, Li S. An Adaptive Denoising Method for Photon-Counting LiDAR Point Clouds: Application in Intertidal Zones. Photonics. 2025; 12(1):13. https://doi.org/10.3390/photonics12010013
Chicago/Turabian StyleWu, Cheng, Lei Ding, Lin Cong, and Shaoning Li. 2025. "An Adaptive Denoising Method for Photon-Counting LiDAR Point Clouds: Application in Intertidal Zones" Photonics 12, no. 1: 13. https://doi.org/10.3390/photonics12010013
APA StyleWu, C., Ding, L., Cong, L., & Li, S. (2025). An Adaptive Denoising Method for Photon-Counting LiDAR Point Clouds: Application in Intertidal Zones. Photonics, 12(1), 13. https://doi.org/10.3390/photonics12010013

