Modification of Thermal Network Parameters for Aerial Cameras via Integrated Monte-Carlo and Least-Squares Methods
Abstract
1. Introduction
2. Thermal Network Model of the Aerial Camera
2.1. Introduction of the Aerial Camera
2.2. Lumped-Parameter Thermal Network
2.3. Thermal Mathematical Model
- A.
- Conduction thermal resistance
- B.
- Contact thermal resistance
- C.
- Convection thermal resistance
- D.
- Radiation thermal resistance
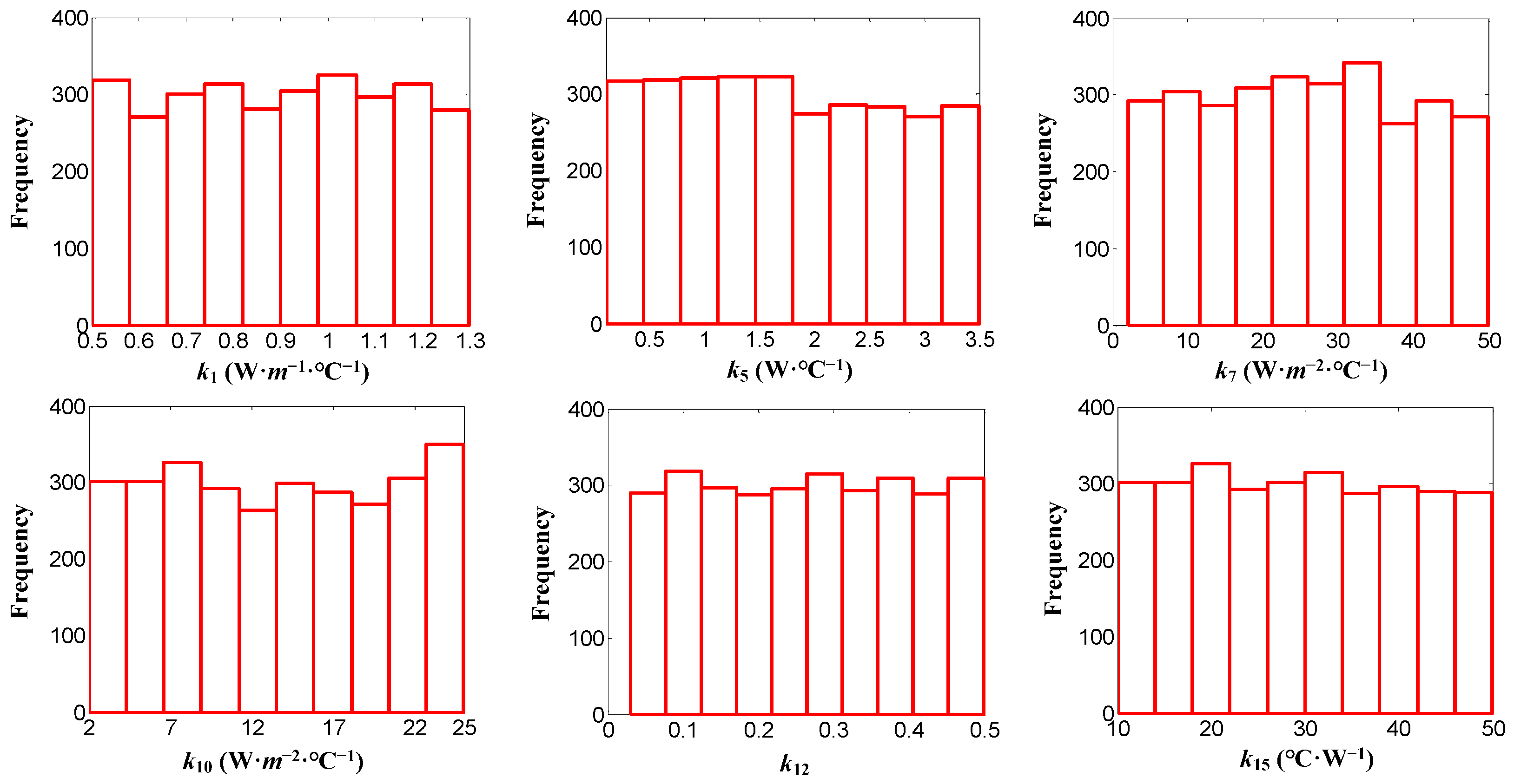
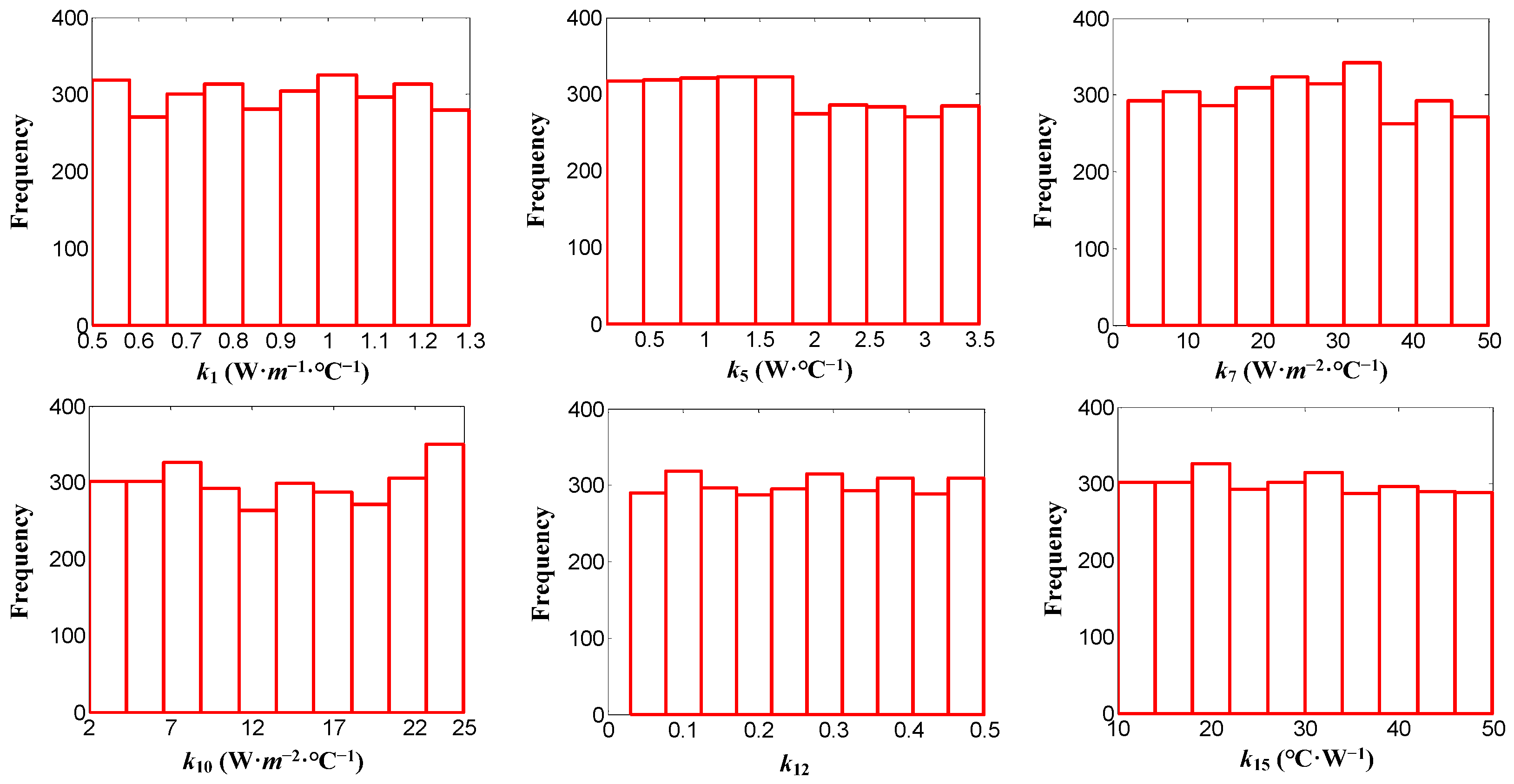
3. Sensitive Parameter Identification
4. Experimental Data Acquisition and Analysis
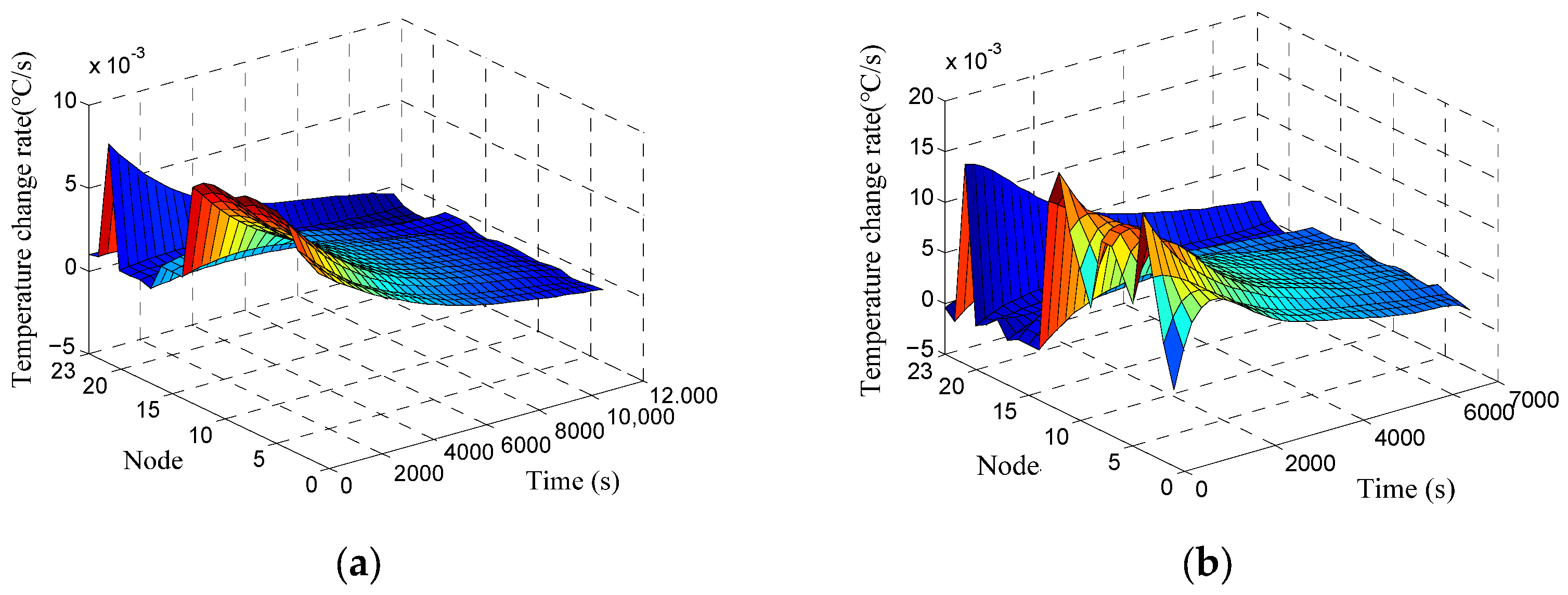
4.1. Transient Thermal Test
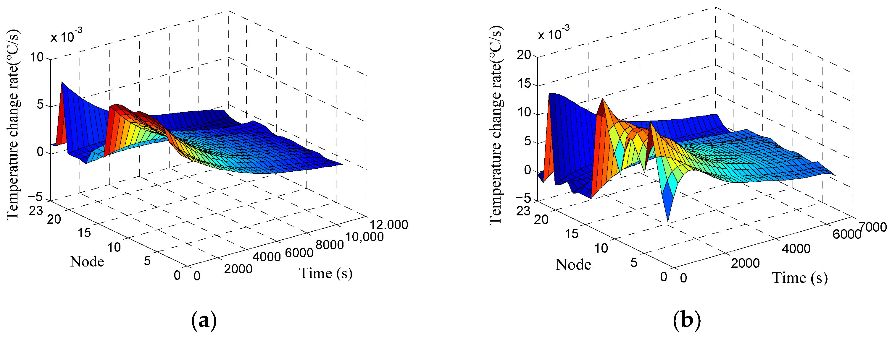
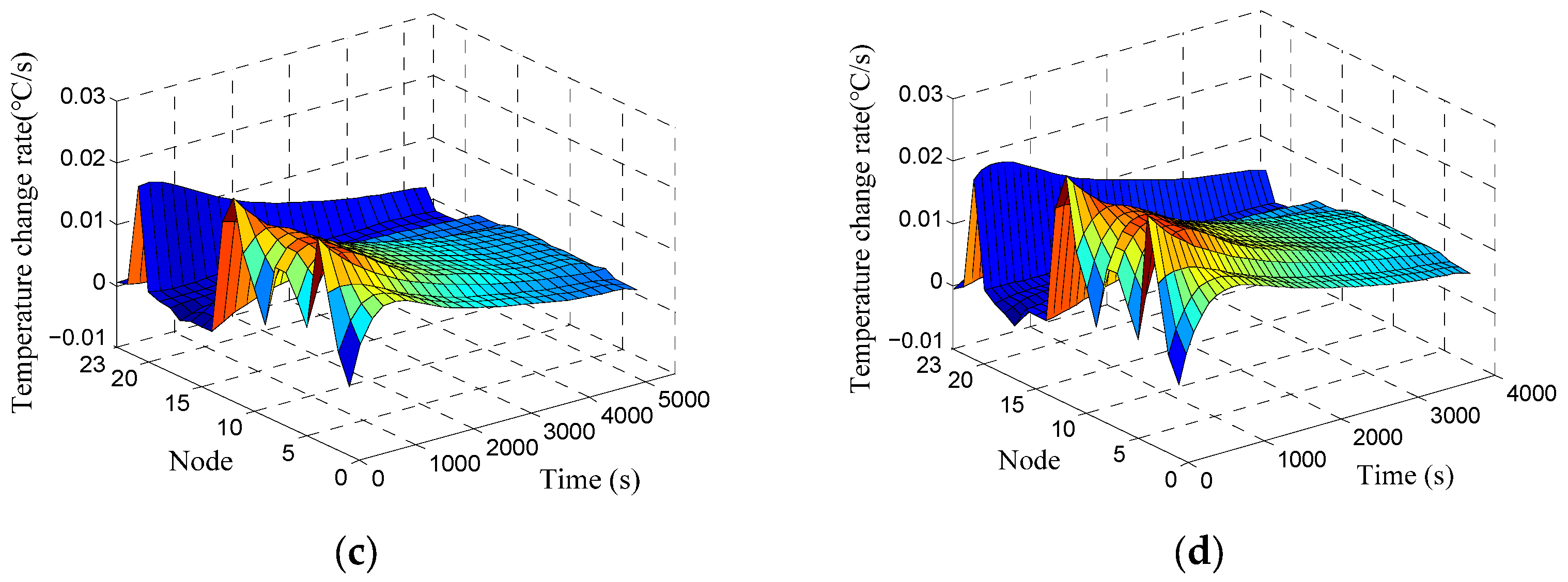
4.2. Temperature Error Analysis
5. Thermal Network Modification
5.1. Least-Squares Modification Process
5.2. Modification Results
5.3. Discussion
6. Conclusions
Author Contributions
Funding
Institutional Review Board Statement
Informed Consent Statement
Data Availability Statement
Conflicts of Interest
Appendix A
| R1 | 16.8/k1 | R2 | 11.7/k1 | R3 | 4.9/k1 + 2.4/k2 + 1194.7/k3 + 313.8/k4 |
| R4 | 22.5/k1 | R5 | 17.3/k1 | R6 | 8.6/k1 + 5.3/k2 +2144/k3 + 458.5/k4 |
| R7 | 13.5/k1 | R8 | 8/k1 | R9 | 2.7/k1 + 1.7/k2 + 684.8/k3 + 235.2/k4 |
| R10 | 43/k2 | R11 | 59.7/k2 | R12 | 10.3/k2 + 482.3/k4 |
| R13 | |||||
| R14 | 23.6/k2 | R15 | 17.9/k2 | R16 | k15 |
| R17 | |||||
| R18 | k14 | R19 | 35.2/k2 | R20 | 35.2/k2 |
| R21 | k15 | R22 | |||
| R23 | k15 | R24 | 31.1/k2 | R25 | 36/k2 |
| R26 | |||||
| R27 | |||||
| R28 | |||||
| R29 | |||||
| R30 | |||||
| R31 | |||||
| R32 | |||||
| R33 | 11/k1 + 4.6/k2 + 1/(0.1 + 0.0015k3) | ||||
| R34 | |||||
| R35 | k16 | R36 | |||
| R37 | |||||
| R38 | |||||
| R39 | |||||
| R40 | 40.9/k2 + 89.4/k4 | ||||
| R41 | |||||
| R42 | |||||
| R43 | |||||
References
- Liu, W.; Ding, Y.; Wu, Q.; Jia, J.; Guo, L.; Wang, L. Thermal analysis and design of the aerial camera’s primary optical system components. Appl. Therm. Eng. 2012, 38, 40–47. [Google Scholar] [CrossRef]
- Jakel, E.; Erne, W.; Soulat, G. The thermal control system of the Faint Object Camera/FOC. In Proceedings of the AIAA, 15th Thermophysics Conference, Snowmass, CO, USA, 14–16 July 1980; p. 1501. [Google Scholar]
- Yang, H.; Yuan, G.; Pan, J.; Zhou, D. Environmental Stability Design of the Aerial Mapping Camera Based on Multi-Dimensional Compound Structure. Sensors 2023, 23, 4421. [Google Scholar] [CrossRef] [PubMed]
- Li, Y.; Yuan, G.; Xie, X.; Dong, L.; Yin, L. Multilayer thermal control for high-altitude vertical imaging aerial cameras. Appl. Opt. 2022, 61, 5205–5214. [Google Scholar] [CrossRef] [PubMed]
- Liu, F.; Cheng, Z.; Jia, P.; Zhang, B.; Hu, R. Impact of thermal control measures on the imaging quality of an aerial optoelectronic sensor. Sensors 2019, 19, 2753. [Google Scholar] [CrossRef] [PubMed]
- Liu, W.; Shen, H.; Xu, Y.; Song, Y.; Li, H.; Jia, J.; Ding, Y. Developing a thermal control strategy with the method of integrated analysis and experimental verification. Optik 2015, 126, 2378–2382. [Google Scholar] [CrossRef]
- Cheng, Z.; Sun, L.; Liu, F.; Liu, X.; Li, L.; Li, Q.; Hu, R. Engineering design of an active–passive combined thermal control technology for an aerial optoelectronic platform. Sensors 2019, 19, 5241. [Google Scholar] [CrossRef] [PubMed]
- Gao, Y.; Zhang, B.; Chen, L.; Xu, B.; Gu, G. Thermal design and analysis of the high resolution MWIR/LWIR aerial camera. Optik 2019, 179, 37–46. [Google Scholar] [CrossRef]
- Edeson, R.L.; Shaughnessy, B.M.; Whalley, M.S.; Burke, K.; Lucas, J. The mechanical and thermal design and analysis of the VISTA infrared camera. In Modeling and Systems Engineering for Astronomy; SPIE: Glasgow, UK, 2004; pp. 508–519. [Google Scholar]
- Fan, Y.; Liang, W.; Ma, W. Thermal design of the optical system in an aerial camera. Opt. Electron. Eng. 2013, 40, 51–58. [Google Scholar]
- Xue, Z.; Wang, C.; Yu, Y.; Wang, P.; Zhang, H.; Sui, Y.; Li, M.; Luo, Z. Integrated optomechanical analyses and experimental verification for a thermal system of an aerial camera. Appl. Opt. 2019, 58, 6996–7005. [Google Scholar] [CrossRef]
- Ishimoto, T.; Pan, H.M. Thermal network optimization techniques. In Proceedings of the 5th Thermophysics Conference, Los Angeles, CA, USA, 29 June–1 July 1970; p. AIAA-70-821. [Google Scholar]
- Li, Y.H.; Yang, B.Y.; Wu, Y.N.; Zhang, Q.; Tang, X. Research on Parameters Calibration Method for Thermal Model of Satellite Optical Mechanical Load. Acta Aeronaut. Astronaut. Sin. 2023, 420. [Google Scholar]
- Toussaint, M. Verification of the Thermal Mathematical Model for Artificial Satellite: A New Test Philosophy. In Proceedings of the AIAA, 2nd Thermophysics Specialist Conference, New Orleans, LA, USA, 17–20 April 1967; p. 304. [Google Scholar]
- Shimoji, S.; Oshima, K. A new thermal network optimization method by the statistical regression analysis. In Proceedings of the 2nd AIAA/ASME Thermo-Physics and Heat Transfer 5th Thermophysics Conference, Palo Alto, CA, USA, 24–27 May 1978; Volume 78-882, pp. 344–365. [Google Scholar]
- Weng, J.; Pan, Z. A optimization method for spacecraft thermal network and its coefficients. Chin. Space Sci. Technol. 1995, 4, 10–14. [Google Scholar]
- Papalexandris, M.V.; Milman, M.H. Active control and parameter updating techniques for nonlinear thermal network models. Comput. Mech. 2001, 27, 11–22. [Google Scholar] [CrossRef][Green Version]
- Beck, T.; Bieler, A.; Thomas, N. Numerical thermal mathematical model correlation to thermal balance test using adaptive particle swarm optimization (APSO). Appl. Therm. Eng. 2012, 38, 168–174. [Google Scholar] [CrossRef]
- Torralbo, I.; Perez-Grande, I.; Sanz-Andres, A.; Piqueras, J. Correlation of spacecraft thermal mathematical models to reference data. Acta Astronaut. 2018, 144, 305–319. [Google Scholar] [CrossRef]
- Cui, Q.; Lin, G.; Cao, D.; Zhang, Z.; Wang, S.; Huang, Y. Thermal design parameters analysis and model updating using Kriging model for space instruments. Int. J. Therm. Sci. 2022, 171, 107239. [Google Scholar] [CrossRef]
- Li, S.; Chen, L.; Liu, S. Thermal analysis model optimization method based on Latin hypercube sampling and coordinate rotation method. J. Therm. Stresses 2023, 46, 857–870. [Google Scholar] [CrossRef]
- Herrera, F.L.; Sepúlveda, A. Stochastic Approach to Spacecraft Thermal Control Subsystem. In Proceedings of the International Conference on Environmental Systems, Toulouse, France, 21–25 July 2000. [Google Scholar]
- Cheng, W.; Liu, N.; Li, Z.; Zhong, Q.; Wang, A.; Zhang, Z.; He, Z. Application study of a correction method for a spacecraft thermal model with a Monte-Carlo hybrid algorithm. Chinese Sci. Bull. 2011, 56, 1407–1412. [Google Scholar] [CrossRef]
- Zhang, J.Y.; Chang, H.P.; Wang, L.G. Optimization method for transient thermal analysis model of small satellite. Chin. Space Sci. Technol. 2013, 4, 24–30. [Google Scholar]
- Shi, Y.; Xie, H. A predictor–corrector Monte Carlo method for thermal radiative transfer equations. Ann. Nucl. Energy 2024, 197, 110252. [Google Scholar] [CrossRef]
- Gómez-San-Juan, A.; Pérez-Grande, I.; Sanz-Andrés, A. Uncertainty calculation for spacecraft thermal models using a generalized SEA method. Acta Astronaut. 2018, 151, 691–702. [Google Scholar] [CrossRef]
- Anglada, E.; Garmendia, I. Correlation of thermal mathematical models for thermal control of space vehicles by means of genetic algorithms. Acta Astronaut. 2015, 108, 1–17. [Google Scholar] [CrossRef]
- Garmendia, I.; Anglada, E. Thermal mathematical model correlation through genetic algorithms of an experiment conducted on board the International Space Station. Acta Astronaut. 2016, 122, 63–75. [Google Scholar] [CrossRef]
- Incropera, F.; DeWitt, D.; Bergman, T.; Lavine, A. Fundamentals of Heat and Mass Transfer; Chemistry Industry Press: Beijing, China, 2009. [Google Scholar]












| Type | Parameter | Description | Initial Value | Range |
|---|---|---|---|---|
| Thermal conductivity (W·m−1·°C−1) | k1 | Optical components | 1.0 | 0.5–1.3 |
| k2 | Frame | 160 | 8–200 | |
| Contact heat transfer coefficient (W·m−2·°C−1) | k3 | Between lens and lens frame | 5000 | 100–8000 |
| k4 | Between lens frame and lens barrel | 4000 | 100–7000 | |
| Convective heat transfer coefficient of cylindrical structures (W·°C−1) | k5 | Between lens barrel and inner frame | 0.2 | 0.1–3.5 |
| k6 | Between inner frame and outer frame | 0.3 | 0.1–4 | |
| Convective heat transfer coefficient of planar structures (W·m−2·°C−1) | k7 | Between lens1 and optical window | 7.8 | 2–50 |
| k8 | Between lens barrel and rear cover | 6.7 | 2–50 | |
| k9 | Between lens3 and lens insulation cover | 8.2 | 3–50 | |
| External convective heat transfer coefficient (W·m−2·°C−1) | k10 | Between camera surface and environment | 5 | 2–25 |
| Emissivity | k11 | Lens barrel surface | 0.8 | 0.5–1 |
| k12 | Frame surface | 0.1 | 0.03–0.5 | |
| k13 | Lens surface | 0.9 | 0.3–1 | |
| k14 | Optical window surface | 0.4 | 0.2–1 | |
| Thermal resistance of insulation structure (°C·W−1) | k15 | Insulation structure of frames | 50 | 10–50 |
| k16 | Insulation structure of the optical window | 5 | 1–5 |
| Condition Number | Voltage (V) | Initial Temperature of the Lens (°C) | Ambient Temperature (°C) | Heating Time (s) |
|---|---|---|---|---|
| 1 | 8.6 | 30 | 20 | 10,900 |
| 2 | 10 | 21 | 16 | 6730 |
| 3 | 11 | 18 | 16 | 5170 |
| 4 | 12 | 20 | 17 | 3920 |
| 5 | 13 | 17 | 16 | 3140 |
| 6 | 14 | 19 | 16 | 2640 |
| 7 | 15 | 20 | 16 | 2610 |
| 8 | 16 | 22 | 20 | 1510 |
| 9 | 17 | 18 | 15 | 2310 |
| 10 | 18 | 21 | 19 | 1570 |
| 11 | 10 | 74 | 18 | 0 |
| Parameters | Initial Value | Corrected Value | Change Percentage |
|---|---|---|---|
| k1 (W·m−1·°C−1) | 1.0 | 0.92 | −8.0% |
| k2 (W·m−1·°C−1) | 160 | 148.8 | −7.0% |
| k5 (W·°C−1) | 0.2 | 0.63 | 215.0% |
| k6 (W·°C−1) | 0.3 | 0.74 | 146.7% |
| k7 (W·m−2·°C−1) | 7.8 | 10.4 | 33.3% |
| k8 (W·m−2·°C−1) | 6.7 | 9.46 | 41.2% |
| k10 (W·m−2·°C−1) | 5 | 7.52 | 50.4% |
| k11 | 0.8 | 0.76 | −5.0% |
| k12 | 0.1 | 0.09 | −10.0% |
| k14 | 0.4 | 0.56 | 40.0% |
| k15 (°C·W−1) | 50 | 35.6 | −28.8% |
| k16 (°C·W−1) | 5 | 4.1 | −18.0% |
Disclaimer/Publisher’s Note: The statements, opinions and data contained in all publications are solely those of the individual author(s) and contributor(s) and not of MDPI and/or the editor(s). MDPI and/or the editor(s) disclaim responsibility for any injury to people or property resulting from any ideas, methods, instructions or products referred to in the content. |
© 2024 by the authors. Licensee MDPI, Basel, Switzerland. This article is an open access article distributed under the terms and conditions of the Creative Commons Attribution (CC BY) license (https://creativecommons.org/licenses/by/4.0/).
Share and Cite
Fan, Y.; Feng, W.; Ren, Z.; Liu, B.; Wang, D. Modification of Thermal Network Parameters for Aerial Cameras via Integrated Monte-Carlo and Least-Squares Methods. Photonics 2024, 11, 641. https://doi.org/10.3390/photonics11070641
Fan Y, Feng W, Ren Z, Liu B, Wang D. Modification of Thermal Network Parameters for Aerial Cameras via Integrated Monte-Carlo and Least-Squares Methods. Photonics. 2024; 11(7):641. https://doi.org/10.3390/photonics11070641
Chicago/Turabian StyleFan, Yue, Wei Feng, Zhenxing Ren, Bingqi Liu, and Dazhi Wang. 2024. "Modification of Thermal Network Parameters for Aerial Cameras via Integrated Monte-Carlo and Least-Squares Methods" Photonics 11, no. 7: 641. https://doi.org/10.3390/photonics11070641
APA StyleFan, Y., Feng, W., Ren, Z., Liu, B., & Wang, D. (2024). Modification of Thermal Network Parameters for Aerial Cameras via Integrated Monte-Carlo and Least-Squares Methods. Photonics, 11(7), 641. https://doi.org/10.3390/photonics11070641

