Structural, Mechanical, and Optoelectronic Properties of CH3NH3PbI3 as a Photoactive Layer in Perovskite Solar Cell
Abstract
1. Introduction
2. Computational Details
3. Results and Discussion
3.1. Structural Parameters
3.2. Mechanical Parameters
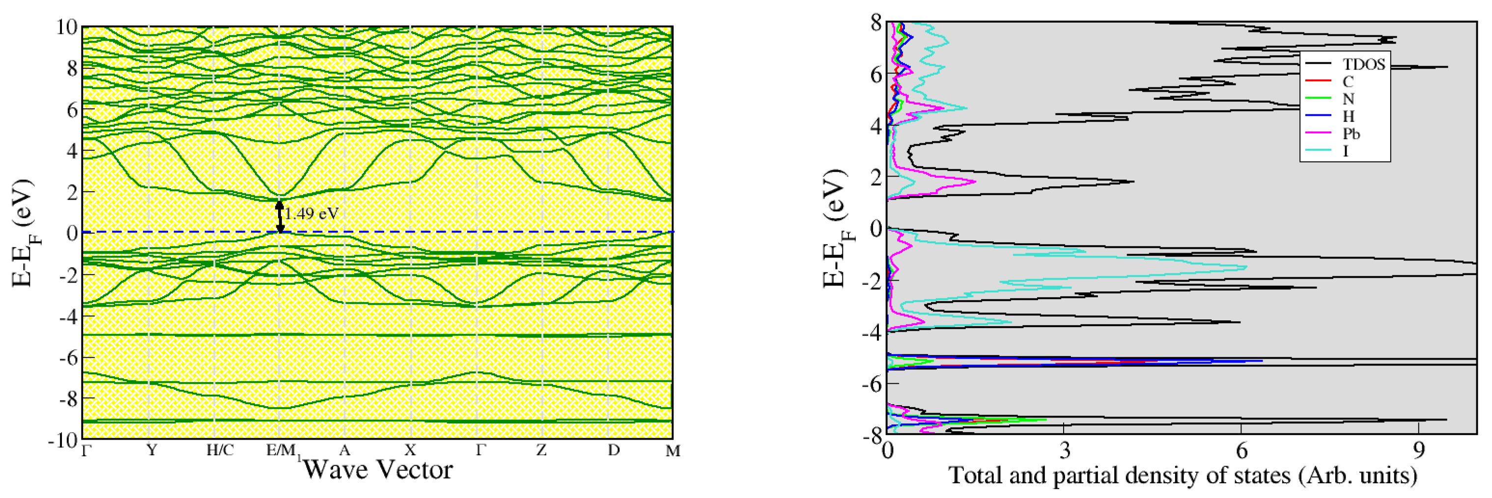
3.3. Electronic Band Structure and Density of States for Pseudo-Cubic CH3NH3PbI3
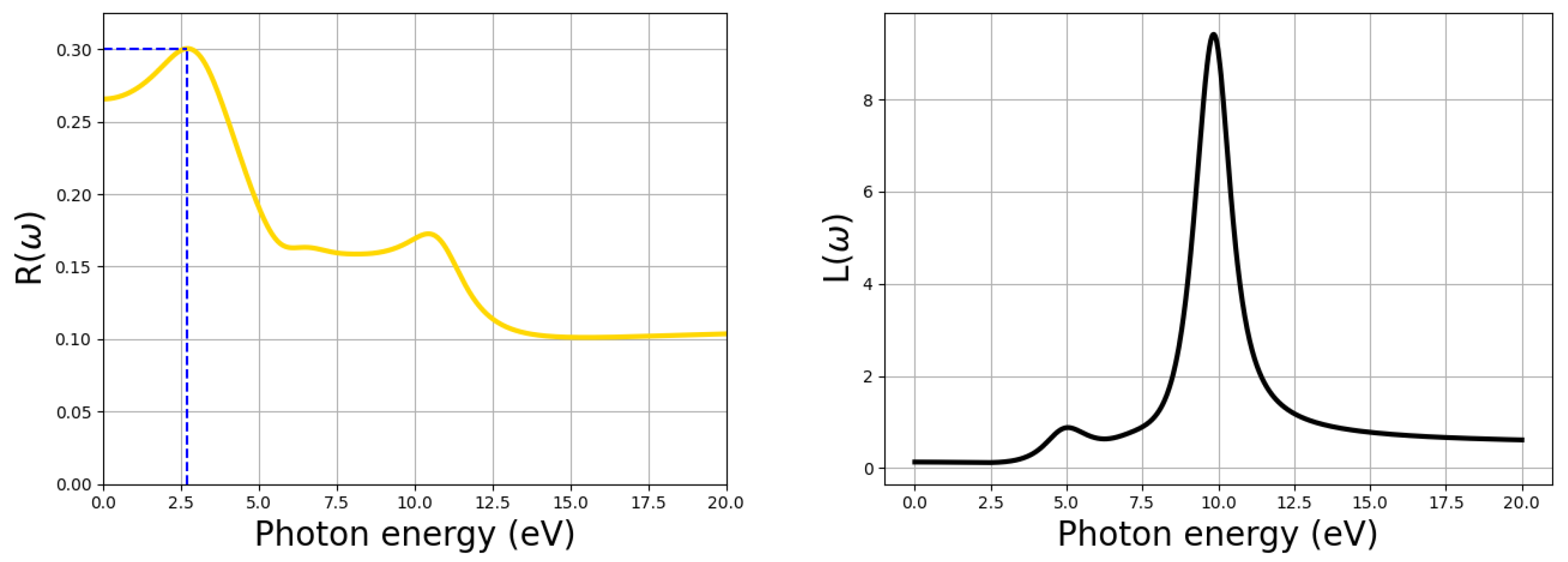
3.4. Optical Properties
4. Conclusions
Author Contributions
Funding
Data Availability Statement
Acknowledgments
Conflicts of Interest
References
- Liu, C.; Li, W.; Zhang, C.; Ma, Y.; Fan, J.; Mai, Y. All-inorganic CsPbI2Br perovskite solar cells with high efficiency exceeding 13%. J. Am. Chem. Soc. 2018, 140, 3825–3828. [Google Scholar] [CrossRef]
- Ullah, S.; Liu, P.; Wang, J.; Yang, P.; Liu, L.; Yang, S.; Guo, H.; Xia, T.; Chen, Y. Optimizing the working mechanism of the CsPbBr3-based inorganic perovskite solar cells for enhanced efficiency. Sol. Energy 2020, 209, 79–84. [Google Scholar] [CrossRef]
- Alsalloum, A.; Turedi, B.; Zheng, X.; Mitra, S.; Zhumekenov, A.; Lee, K.; Maity, P.; Gereige, I.; AlSaggaf, A.; Roqan, I. Low-temperature crystallization enables 21.9% efficient single-crystal MAPbI3 inverted perovskite solar cells. ACS Energy Lett. 2020, 5, 657–662. [Google Scholar] [CrossRef]
- Husainat, A.; Ali, W.; Cofie, P.; Attia, J.; Fuller, J. Simulation and analysis of methylammonium lead iodide (CH3NH3PbI3) perovskite solar cell with Au contact using SCAPS 1D simulator. Am. J. Opt. Photon 2019, 7, 33. [Google Scholar] [CrossRef]
- Zhang, Y.; Yi, Y.; Li, W.; Liang, S.; Ma, J.; Cheng, S.; Yang, W.; Yi, Y. High Absorptivity and Ultra-Wideband Solar Absorber Based on Ti-Al2O3 Cross Elliptical Disk Arrays. Coatings 2023, 13, 531. [Google Scholar] [CrossRef]
- Kaulachs, I.; Ivanova, A.; Tokmakov, A.; Roze, M.; Mihailovs, I.; Rutkis, M. Perovskite CHNHPbICl Solar Cells and their Degradation (Part 1: A Short Review). Latv. J. Phys. Tech. Sci. 2021, 58, 44–52. [Google Scholar] [CrossRef]
- Mangrulkar, M.; Stevenson, K. The progress of additive engineering for CH3NH3PbI3 photo-active layer in the context of perovskite solar cells. Crystals 2021, 11, 814. [Google Scholar] [CrossRef]
- Wu, Y.; Xie, F.; Chen, H.; Yang, X.; Su, H.; Cai, M.; Zhou, Z.; Noda, T.; Han, L. Thermally stable MAPbI3 perovskite solar cells with efficiency of 19.19% and area over 1 cm2 achieved by additive engineering. Adv. Mater. 2017, 29, 1701073. [Google Scholar] [CrossRef]
- Yu, L.; Zunger, A. Identification of potential photovoltaic absorbers based on first-principles spectroscopic screening of materials. Phys. Rev. Lett. 2012, 108, 068701. [Google Scholar] [CrossRef]
- Shockley, W.; Queisser, H. Detailed balance limit of efficiency of p-n junction solar cells. Appl. Phys. 1961, 32, 510–519. [Google Scholar] [CrossRef]
- Kojima, A.; Teshima, K.; Shirai, Y.; Miyasaka, T. Organometal halide perovskites as visible-light sensitizers for photovoltaic cells. J. Am. Chem. Soc. 2009, 131, 6050–6051. [Google Scholar] [CrossRef]
- Yang, W.; Noh, J.; Jeon, N.; Kim, Y.; Ryu, S.; Seo, J.; Seok, S. High-performance photovoltaic perovskite layers fabricated through intramolecular exchange. Science 2015, 348, 1234–1237. [Google Scholar] [CrossRef]
- Poglitsch, A.; Weber, D. Dynamic disorder in methylammoniumtrihalogenoplumbates (II) observed by millimeter-wave spectroscopy. J. Chem. Phys. 1987, 87, 6373–6378. [Google Scholar] [CrossRef]
- Lu, R.; Liu, Y.; Zhang, J.; Zhao, D.; Guo, X.; Li, C. Highly efficient (200) oriented MAPbI3 perovskite solar cells. Chem. Eng. J. 2022, 433, 133845. [Google Scholar] [CrossRef]
- Kawamura, Y.; Mashiyama, H.; Hasebe, K. Structural study on cubic-tetragonal transition of CH3NH3PbI3. J. Phys. Soc. Jpn. 2002, 71, 1694–1697. [Google Scholar] [CrossRef]
- Onoda-Yamamuro, N.; Matsuo, T.; Suga, H. Calorimetric and IR spectroscopic studies of phase transitions in methylammonium trihalogenoplumbates (II). J. Phys. Chem. Solids 1990, 51, 1383–1395. [Google Scholar] [CrossRef]
- Wu, J.; Chen, J.; Wang, H. Phase Transition Kinetics of MAPbI3 for Tetragonal-to-Orthorhombic Evolution. JACS Au 2023, 3, 1205–1212. [Google Scholar] [CrossRef]
- Yun, S.; Zhou, X.; Even, J.; Hagfeldt, A. Theoretical treatment of CH3NH3PbI3 perovskite solar cells. Angew. Chem. Int. Ed. 2017, 56, 15806–15817. [Google Scholar] [CrossRef]
- Jiang, Y.; Tu, L.; Li, H.; Li, S.; Yang, S.; Chen, Y. A feasible and effective post-treatment method for high-quality CH3NH3PbI3 films and high-efficiency perovskite solar cells. Crystals 2018, 8, 44. [Google Scholar] [CrossRef]
- Faghihnasiri, M.; Izadifard, M.; Ghazi, M. DFT study of mechanical properties and stability of cubic methylammonium lead halide perovskites (CH3NH3PbI3, X = I, Br, Cl). J. Phys. Chem. C 2017, 121, 27059–27070. [Google Scholar] [CrossRef]
- Roy, P.; Sinha, N.; Tiwari, S.; Khare, A. A review on perovskite solar cells: Evolution of architecture, fabrication techniques, commercialization issues and status. Sol. Energy 2020, 198, 665–688. [Google Scholar] [CrossRef]
- Shen, D.; Yu, X.; Cai, X.; Peng, M.; Ma, Y.; Su, X.; Xiao, L.; Zou, D. Understanding the solvent-assisted crystallization mechanism inherent in efficient organic–inorganic halide perovskite solar cells. J. Mater. Chem. A 2014, 2, 20454–20461. [Google Scholar] [CrossRef]
- Burschka, J.; Pellet, N.; Moon, S.; Humphry-Baker, R.; Gao, P.; Nazeeruddin, M.; Grätzel, M. Sequential deposition as a route to high-performance perovskite-sensitized solar cells. Nature 2013, 499, 316–319. [Google Scholar] [CrossRef]
- Xiao, M.; Huang, F.; Huang, W.; Dkhissi, Y.; Zhu, Y.; Etheridge, J.; Gray-Weale, A.; Bach, U.; Cheng, Y.B.; Spiccia, L. A fast deposition-crystallization procedure for highly efficient lead iodide perovskite thin-film solar cells. Angew. Chem. Int. Ed. 2014, 53, 9898–9903. [Google Scholar] [CrossRef]
- Ahn, N.; Son, D.; Jang, I.; Kang, S.; Choi, M.; Park, N. Highly reproducible perovskite solar cells with average efficiency of 18.3% and best efficiency of 19.7% fabricated via Lewis base adduct of lead (II) iodide. J. Am. Chem. Soc. 2015, 137, 8696–8699. [Google Scholar] [CrossRef]
- Chen, Q.; Zhou, H.; Hong, Z.; Luo, S.; Duan, H.; Wang, H.; Liu, Y.; Li, G.; Yang, Y. Planar heterojunction perovskite solar cells via vapor-assisted solution process. J. Am. Chem. Soc. 2014, 136, 622–625. [Google Scholar] [CrossRef] [PubMed]
- Liu, M.; Johnston, M.; Snaith, H. Efficient planar heterojunction perovskite solar cells by vapour deposition. Nature 2013, 501, 395–398. [Google Scholar] [CrossRef]
- Terada, S.; Oku, T.; Suzuki, A.; Okita, M.; Fukunishi, S.; Tachikawa, T.; Hasegawa, T. Ethylammonium bromide-and potassium-added CH3NH3PbI3 perovskite solar cells. Photonics 2022, 9, 791. [Google Scholar] [CrossRef]
- Hedayati, M.; Olyaee, S. High-efficiency pn homojunction perovskite and CIGS tandem solar cell. Crystals 2022, 12, 703. [Google Scholar] [CrossRef]
- Semchenko, A.; Ayvazyan, G.Y.; Malyutina-Bronskaya, V.V.; Khakhomov, S.A.; Kovalenko, D.L.; Boiko, A.A.; Sidski, V.V.; Nestsiaronak, A.V.; Mayevsky, A.A.; Danilchenko, K.D.; et al. Photoactive properties of transport sol-gel layers based on strontium titanate for perovskite solar cells. Photonics 2023, 10, 845. [Google Scholar] [CrossRef]
- Hafner, J. Ab-initio simulations of materials using VASP: Density-functional theory and beyond. J. Comput. Chem. 2008, 29, 2044–2078. [Google Scholar] [CrossRef]
- Scrocco, M. X-ray photoemission spectra of Pb (II) halides: A study of the satellites on the core and valence bands. Phys. Rev. B 1982, 25, 1535. [Google Scholar] [CrossRef]
- Perdew, J.; Burke, K.; Ernzerhof, M. Generalized gradient approximation made simple. Phys. Rev. Lett. 1996, 77, 3865. [Google Scholar] [CrossRef]
- Perdew, J.; Ruzsinszky, A.; Csonka, G.; Vydrov, O.; Scuseria, G.; Constantin, L.; Zhou, X.; Burke, K. Restoring the density-gradient expansion for exchange in solids and surfaces. Phys. Rev. Lett. 2008, 100, 136406. [Google Scholar] [CrossRef]
- Choudhary, K.; Garrity, K.; Reid, A.; DeCost, B.; Biacchi, A.; Hight, W.; Trautt, Z.; Hattrick-Simpers, J.; Kusne, A.; Centrone, A. The joint automated repository for various integrated simulations (JARVIS) for data-driven materials design. npj Comput. Mater. 2020, 6, 173. [Google Scholar] [CrossRef]
- Kokalj, A. XCrySDen-a new program for displaying crystalline structures and electron densities. J. Mol. Graph. Model. 1999, 17, 176–179. [Google Scholar] [CrossRef]
- Momma, K.; Izumi, F. VESTA 3 for three-dimensional visualization of crystal, volumetric and morphology data. J. Appl. Crystallogr. 2011, 44, 1272–1276. [Google Scholar] [CrossRef]
- Brivio, F.; Frost, J.; Skelton, J.; Jackson, A.; Weber, O.; Weller, M.; Goni, A.; Leguy, A.; Barnes, P.; Walsh, A. Lattice dynamics and vibrational spectra of the orthorhombic, tetragonal, and cubic phases of methylammonium lead iodide. Phys. Rev. B 2015, 92, 144308. [Google Scholar] [CrossRef]
- Batool, R.; Mahmood, T. A comparative study of cubic methylammonium lead iodide (CH3NH3PbI3) perovskite by using density functional theory. Mater. Today Commun. 2023, 35, 105814. [Google Scholar] [CrossRef]
- Kipkwarkwar, T.; Nyawere, P.; Maghanga, C. First-principles calculations to investigate the mechanical structure and optical properties of lead halide perovskite. Adv. Condens. Matter Phys. 2022, 2022, 1565268. [Google Scholar] [CrossRef]
- Luan, M.; Song, J.; Wei, X.; Chen, F.; Liu, J. Controllable growth of bulk cubic-phase CH3NH3PbI3 single crystal with exciting room-temperature stability. CrystEngComm 2016, 18, 5257–5261. [Google Scholar] [CrossRef]
- Weber, D. CH3NH3PbI3 a Pb (II)-system with cubic perovskite structure. Z. Naturforschung B 1978, 33, 1443–1445. [Google Scholar] [CrossRef]
- Oku, T. Crystal structures of CH3NH3PbI3 and related perovskite compounds used for solar cells. Sol.-Cells-New Approaches Rev. 2015, 1, 77–92. [Google Scholar] [CrossRef]
- Hill, R. The elastic behaviour of a crystalline aggregate. Proc. Phys. Soc. Sect. A 1952, 65, 349. [Google Scholar] [CrossRef]
- Feng, J. Mechanical properties of hybrid organic-inorganic CH3NH3BX3 (B = Sn, Pb; X = Br, I) perovskites for solar cell absorbers. APL Mater. 2014, 2, 081801. [Google Scholar] [CrossRef]
- Rakita, Y.; Cohen, S.; Kedem, N.; Hodes, G.; Cahen, D. Mechanical properties of APbX3 (A = Cs or CH3NH3; X = I or Br) perovskite single crystals. MRS Commun. 2015, 5, 623–629. [Google Scholar] [CrossRef]
- Mouhat, F.; Coudert, F. Necessary and sufficient elastic stability conditions in various crystal systems. Phys. Rev. B 2014, 90, 224104. [Google Scholar] [CrossRef]
- Qian, J.; Bin, T. A comprehensive theoretical study of halide perovskites ABX3. Org. Electron. 2016, 37, 61–73. [Google Scholar] [CrossRef]
- Noh, J.; Im, S.; Heo, J.; Mandal, T.; Seok, S. Chemical management for colorful, efficient and stable inorganic–organic hybrid nanostructured solar cells. Nano Lett. 2013, 13, 1764–1769. [Google Scholar] [CrossRef]
- Stoumpos, C.; Malliakas, C.; Kanatzidis, M. Semiconducting tin and lead iodide perovskites with organic cations: Phase transitions, high mobilities, and near-infrared photoluminescent properties. Inorg. Chem. 2013, 52, 9019–9038. [Google Scholar] [CrossRef]
- Eperon, G.; Stranks, S.; Menelaou, C.; Johnston, M.; Herz, L.; Snaith, H. Formamidinium lead trihalide: A broadly tunable perovskite for efficient planar heterojunction solar cells. Energy Environ. Sci. 2014, 7, 982–988. [Google Scholar] [CrossRef]
- Qiu, J.; Qiu, Y.; Yan, K.; Zhong, M.; Mu, C.; Yan, H.; Yang, S. All-solid-state hybrid solar cells based on a new organometal halide perovskite sensitizer and one-dimensional TiO2 nanowire arrays. Nanoscale 2013, 5, 3245–3248. [Google Scholar] [CrossRef]
- Umari, P.; Mosconi, E.; Angelis, F.D. Relativistic GW calculations on CH3NH3PbI3 and CH3NH3SnI3 perovskites for solar cell applications. Sci. Rep. 2014, 4, 4467. [Google Scholar] [CrossRef]
- Lucarini, V.; Saarinen, J.; Peiponen, K.; Vartiainen, E. Kramers-Kronig Relations in Optical Materials Research; Springer Science & Business Media: Berlin/Heidelberg, Germany, 2005; Volume 110. [Google Scholar] [CrossRef]
- Sun, J.; Wang, H.; He, J.; Tian, Y. Ab initio investigations of optical properties of the high-pressure phases of ZnO. Phys. Rev. B 2005, 71, 125132. [Google Scholar] [CrossRef]
- Saleh, G. Opto-electronic properties of organic-inorganic Tin-based perovskite: A theoretical investigations. World J. Adv. Res. Rev. 2023, 17, 836–845. [Google Scholar] [CrossRef]
- Farhadi, B.; Zabihi, F.; Lugoloobi, I.; Liu, A. A hypothesis on optoelectronic behaviour of CH3NH3SnIxBr3−x perovskite: Density functional theory approach. Sol. Energy 2022, 233, 11–17. [Google Scholar] [CrossRef]
- Wang, Y.; Zhang, Y.; Zhang, P.; Zhang, W. High intrinsic carrier mobility and photon absorption in the perovskite CH3NH3PbI3. Phys. Chem. Chem. Phys. 2015, 17, 11516–11520. [Google Scholar] [CrossRef]
- Kesavan, A.; Rao, A.; Ramamurthy, P. Tailoring optoelectronic properties of CH3NH3PbI3 perovskite photovoltaics using al nanoparticle modified PC61BM layer. Sol. Energy 2020, 201, 621–627. [Google Scholar] [CrossRef]
- Choudhary, K.; Bercx, M.; Jiang, J.; Pachter, R.; Lamoen, D.; Tavazza, F. Accelerated discovery of efficient solar cell materials using quantum and machine-learning methods. Chem. Mater. 2019, 31, 5900–5908. [Google Scholar] [CrossRef] [PubMed]






| Functional | a | b | c | V | ||||
|---|---|---|---|---|---|---|---|---|
| Calc. (PBE) | 6.465 | 6.385 | 6.516 | 90.0 | 90.0 | 88.80 | 268.95 | 3.828 |
| Calc. (PBEsol) | 6.258 | 6.207 | 6.346 | 90.0 | 90.0 | 89.17 | 246.49 | 4.177 |
| Others (PBEsol) [38] | 6.290 | 6.230 | 6.370 | - | - | - | - | - |
| Others (PBEsol) [20] | 6.280 | 6.220 | 6.370 | - | - | - | - | - |
| Others (PBE) [39] | 6.400 | 6.370 | 6.470 | 89.9 | 89.9 | 90.20 | 264.14 | - |
| Others (PBEsol) [39] | 6.280 | 6.250 | 6.350 | 89.6 | 89.8 | 91.90 | 249.42 | - |
| B | G | B/G | E | |||||
|---|---|---|---|---|---|---|---|---|
| Calc (PBEsol) | 33.72 | 7.85 | 3.06 | 16.47 | 5.71 | 2.88 | 15.35 | 0.34 |
| Others (PBEsol) [20] | 30.90 | 7.90 | 3.20 | 15.60 | 6.50 | 2.48 | 17.20 | 0.31 |
| Others(PBE) [39] | 38.97 | 9.30 | 6.18 | 17.96 | 8.63 | 2.08 | 22.32 | 0.29 |
| Others(PBEsol) [39] | 43.62 | 7.91 | 4.16 | 18.18 | 7.02 | 2.58 | 18.67 | 0.33 |
| Others (PBE) [40] | 26.87 | 8.60 | 10.57 | 15.80 | 7.60 | 2.08 | 20.60 | 0.25 |
| Others (PBE) [45] | 27.11 | 11.10 | 9.20 | 16.40 | 8.70 | 1.89 | 22.20 | 0.28 |
| Expt. [46] | - | - | - | 13.90 | 5.40 | 2.57 | 14.30 | 0.33 |
Disclaimer/Publisher’s Note: The statements, opinions and data contained in all publications are solely those of the individual author(s) and contributor(s) and not of MDPI and/or the editor(s). MDPI and/or the editor(s) disclaim responsibility for any injury to people or property resulting from any ideas, methods, instructions or products referred to in the content. |
© 2024 by the authors. Licensee MDPI, Basel, Switzerland. This article is an open access article distributed under the terms and conditions of the Creative Commons Attribution (CC BY) license (https://creativecommons.org/licenses/by/4.0/).
Share and Cite
Rugut, E.K.; Maluta, N.E.; Maphanga, R.R.; Mapasha, R.E.; Kirui, J.K. Structural, Mechanical, and Optoelectronic Properties of CH3NH3PbI3 as a Photoactive Layer in Perovskite Solar Cell. Photonics 2024, 11, 372. https://doi.org/10.3390/photonics11040372
Rugut EK, Maluta NE, Maphanga RR, Mapasha RE, Kirui JK. Structural, Mechanical, and Optoelectronic Properties of CH3NH3PbI3 as a Photoactive Layer in Perovskite Solar Cell. Photonics. 2024; 11(4):372. https://doi.org/10.3390/photonics11040372
Chicago/Turabian StyleRugut, Elkana K., Nnditshedzeni E. Maluta, Regina R. Maphanga, Refilwe E. Mapasha, and Joseph K. Kirui. 2024. "Structural, Mechanical, and Optoelectronic Properties of CH3NH3PbI3 as a Photoactive Layer in Perovskite Solar Cell" Photonics 11, no. 4: 372. https://doi.org/10.3390/photonics11040372
APA StyleRugut, E. K., Maluta, N. E., Maphanga, R. R., Mapasha, R. E., & Kirui, J. K. (2024). Structural, Mechanical, and Optoelectronic Properties of CH3NH3PbI3 as a Photoactive Layer in Perovskite Solar Cell. Photonics, 11(4), 372. https://doi.org/10.3390/photonics11040372

