Broadband Optical Frequency Comb Generation Utilizing a Gain-Switched Weak-Resonant-Cavity Fabry–Perot Laser Diode under Multi-Wavelength Optical Injection
Abstract
1. Introduction
2. Experimental Setup and Theory
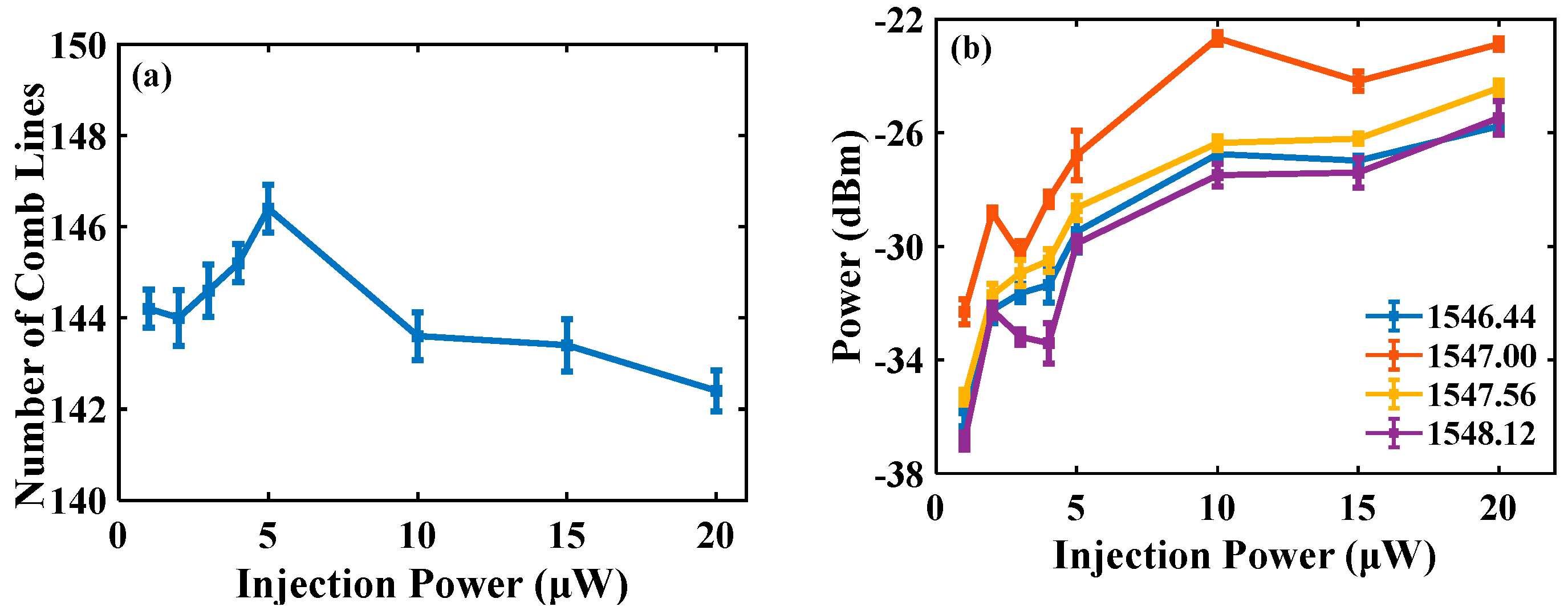
3. Results and Discussion
4. Conclusions
Author Contributions
Funding
Institutional Review Board Statement
Informed Consent Statement
Data Availability Statement
Conflicts of Interest
References
- Fortier, T.; Baumann, E. 20 years of developments in optical frequency comb technology and applications. Commun. Phys. 2019, 2, 153. [Google Scholar] [CrossRef]
- Holzwarth, R.; Udem, T.; Hänsch, T.W.; Knight, J.C.; Wadsworth, W.J.; Russell, P.S.J. Optical frequency synthesizer for precision spectroscopy. Phys. Rev. Lett. 2000, 85, 2264–2267. [Google Scholar] [CrossRef]
- Wang, Q.; Wang, Z.; Zhang, H.; Jiang, S.L.; Wang, Y.Y.; Jin, W.; Ren, W. Dual-comb photothermal spectroscopy. Nat. Commun. 2022, 13, 2181. [Google Scholar] [CrossRef] [PubMed]
- Newman, Z.L.; Maurice, V.; Drake, T.; Stone, J.R.; Briles, T.C.; Spencer, D.T.; Fredrick, C.; Li, Q.; Westly, D.; Ilic, B.R.; et al. Architecture for the photonic integration of an optical atomic clock. Optica 2019, 6, 680–685. [Google Scholar] [CrossRef]
- Udem, T.; Holzwarth, R.; Hänsch, T.W. Optical frequency metrology. Nature 2002, 416, 233–237. [Google Scholar] [CrossRef]
- Pfeifle, J.; Vujicic, V.; Watts, R.T.; Schindler, P.C.; Weimann, C.; Zhou, R.; Freude, W.; Barry, L.P.; Koos, C. Flexible terabit/s Nyquist-WDM super-channels using a gain-switched comb source. Opt. Express 2015, 23, 724–738. [Google Scholar] [CrossRef] [PubMed]
- Browning, C.; Elwan, H.H.; Martin, E.P.; O’Duill, S.; Poette, J.; Sheridan, P.; Farhang, A.; Cabon, B.; Barry, L.P. Gain-Switched Optical Frequency Combs for Future Mobile Radio-Over-Fiber Millimeter-Wave Systems. J. Light. Technol. 2018, 36, 4602–4610. [Google Scholar] [CrossRef]
- Zhou, X.; Zheng, X.P.; Wen, H.; Zhang, H.Y.; Guo, Y.L.; Zhou, B.K. All optical arbitrary waveform generation by optical frequency comb based on cascading intensity modulation. Opt. Commun. 2011, 284, 3706–3710. [Google Scholar] [CrossRef]
- Li, P.L.; Ma, X.L.; Shi, W.H.; Xu, E.M. Optical arbitrary waveform generation based on multi-wavelength semiconductor fiber ring laser. Opt. Laser Technol. 2017, 94, 228–233. [Google Scholar] [CrossRef]
- Haus, H.A. Mode-locking of lasers. IEEE J. Sel. Top. Quantum Electron. 2000, 6, 1173–1185. [Google Scholar] [CrossRef]
- Jones, D.J.; Diddams, S.A.; Ranka, J.K.; Stentz, A.; Windeler, R.S.; Hall, J.L.; Cundiff, S.T. Carrier-Envelope Phase Control of Femtosecond Mode-Locked Lasers and Direct Optical Frequency Synthesis. Science 2000, 288, 635–639. [Google Scholar] [CrossRef] [PubMed]
- Li, D.; Wu, S.B.; Liu, Y.; Guo, Y.F. Flat optical frequency comb generation based on a dual-parallel Mach–Zehnder modulator and a single recirculation frequency shift loop. Appl. Opt. 2020, 59, 1916–1923. [Google Scholar] [CrossRef] [PubMed]
- Ujjwal; Kumar, R. Optical Frequency Comb Generator Employing Two Cascaded Frequency Modulators and Mach–Zehnder Modulator. Electronics 2023, 12, 2762. [Google Scholar] [CrossRef]
- Yang, W.Y.; Xia, G.Q.; Jiang, Z.F.; Deng, T.; Lin, X.D.; Jin, Y.H.; Xiao, Z.Z.; Yue, D.Z.; Hu, C.X.; Cui, B.; et al. Experimental investigation on wideband optical frequency comb generation based on a gain-switched 1550 nm multi-transverse mode vertical-cavity surface-emitting laser subject to dual optical injection. IEEE Access 2020, 8, 170203–170210. [Google Scholar] [CrossRef]
- Lakshmijayasimha, P.D.; Anandarajah, P.M.; Landais, P.; Kaszubowska-Anandarajah, A. Optical Frequency Comb Expansion Using Mutually Injection-Locked Gain-Switched Lasers. Appl. Sci. 2021, 11, 7108. [Google Scholar] [CrossRef]
- Jain, G.; Gutierrez-Pascual, D.; Wallace, M.; Donegan, J.; Anandarajah, P. Experimental Investigation of External Optical Injection and its Application in Gain-Switched Wavelength Tunable Optical Frequency Comb Generation. J. Light. Technol. 2021, 39, 5884–5895. [Google Scholar] [CrossRef]
- Zhang, J.H.; Fan, L.; Wu, Z.M.; Gou, C.H.; Luo, Y.; Xia, G.Q. Broadband and tunable optical frequency comb based on 1550 nm verticalcavity surface-emitting laser under pulsed current modulation and optical injection. Acta Phys. Sin. 2023, 72, 014207. [Google Scholar] [CrossRef]
- Ren, H.P.; Fan, L.; Liu, N.; Wu, Z.M.; Xia, G.Q. Generation of Broadband Optical Frequency Comb Based on a Gain-Switching 1550 nm Vertical-Cavity Surface-Emitting Laser under Optical Injection. Photonics 2020, 7, 95. [Google Scholar] [CrossRef]
- Pan, S.L.; Yao, J.P. Wideband and frequency-tunable microwave generation using an optoelectronic oscillator incorporating a Fabry–Perot laser diode with external optical injection. Opt. Lett. 2010, 35, 1911–1913. [Google Scholar] [CrossRef]
- Zhou, R.; Latkowski, S.; O’Carroll, J.; Phelan, R.; Barry, L.P.; Anandarajah, P. 40nm wavelength tunable gain-switched optical comb source. Opt. Express 2011, 19, B415–B420. [Google Scholar] [CrossRef]
- Pascual, M.D.G.; Zhou, R.; Smyth, F.; Shao, T.; Anandarajah, P.M.; Barry, L. Dual mode injection locking of a Fabry-Pérot laser for tunable broadband gain switched comb generation. In Proceedings of the 2015 European Conference on Optical Communication, Valencia, Spain, 27 September 2015. [Google Scholar]
- Lakshmijayasimha, P.D.; Kaszubowska-Anandarajah, A.; Srivastava, M.; Martin, E.P.; Anandarajah, P.M. Generation of a Wideband OFC by the Correlation of Multiple Modes of a Gain-Switched Fabry Pérot Laser. J. Light. Technol. 2023, 41, 5084–5090. [Google Scholar] [CrossRef]
- Lin, G.R.; Wang, H.L.; Lin, G.C.; Huang, Y.H.; Lin, Y.H.; Cheng, T.K. Comparison on Injection-Locked Fabry–Perot Laser Diode With Front-Facet Reflectivity of 1% and 30% for Optical Data Transmission in WDM-PON System. J. Light. Technol. 2009, 27, 2779–2785. [Google Scholar]
- Lin, S.Y.; Chi, Y.C.; Su, Y.C.; Li, Y.C.; Lin, G.R. An Injection-Locked Weak-Resonant-Cavity Laser Diode for Beyond-Bandwidth Encoded 10-Gb/s OOK Transmission. IEEE Photonics J. 2015, 7, 7200309. [Google Scholar] [CrossRef]
- Aldaya, I.; Gosset, C.; Wang, C.; Campuzano, G.; Grillot, F.; Castañón, G. Periodic and aperiodic pulse generation using optically injected DFB laser. Electron. Lett. 2015, 51, 280–282. [Google Scholar] [CrossRef]
- Zhang, T.T.; Xiong, J.T.; Zheng, J.L.; Chen, X.F.; Pu, T. Wideband tunable single bandpass microwave photonic filter based on FWM dynamics of optical-injected DFB laser. Electron. Lett. 2016, 52, 57–59. [Google Scholar] [CrossRef]
- Shih, T.T.; Tseng, P.H.; Lai, Y.Y.; Cheng, W.H. Compact TO-CAN Header With Bandwidth Excess 40 GHz. J. Light. Technol. 2011, 29, 2538–2544. [Google Scholar] [CrossRef]
- Chi, Y.C.; Li, Y.C.; Lin, G.R. Specific Jacket SMA-Connected TO-Can Package FPLD Transmitter With Direct Modulation Bandwidth Beyond 6 GHz for 256-QAM Single or Multisubcarrier OOFDM up to 15 Gb/s. J. Light. Technol. 2013, 31, 28–35. [Google Scholar] [CrossRef]
- Cheng, M.C.; Chi, Y.C.; Tsai, C.T.; Lin, C.Y.; Lin, G.R. TO-56-can packaged colorless WRC-FPLD for QAM OFDM transmission at 42 Gbit/s over 25-km SMF. Opt. Express 2015, 23, 22676–22690. [Google Scholar] [CrossRef]
- Yang, Q.; Wu, Z.M.; Wu, J.G.; Xia, G.Q. Influence of injection patterns on chaos synchronization performance between a multimode laser diode and a single-mode laser. Opt. Commun. 2008, 281, 5025–5030. [Google Scholar] [CrossRef]
- Rosado, A.; Pérez-Serrano, A.; Tijero, J.M.G.; Valle, Á.; Pesquera, L.; Esquivias, I. Experimental study of optical frequency comb generation in gain-switched semiconductor lasers. Opt. Laser Technol. 2018, 108, 542–550. [Google Scholar] [CrossRef]
- Peng, B.Y.; Yuan, C.Z.; Zhang, R.M.; Shen, S.; Zhang, Z.C.; Li, J.R.; Lin, Y.; Deng, G.W.; Wang, Y.; Song, H.Z.; et al. Progress in Gain-Switched Semiconductor Lasers for Quantum Communication. Acta Opt. Sin. 2022, 42, 0327007. [Google Scholar]
- Liu, Y.D.; Xia, G.Q.; Fan, L.; Zhang, J.H.; Lin, G.R.; Liu, J.Q.; Wu, Z.M. Optical Frequency Comb Generation Based on a Current-modulated Weak-resonant-cavity Fabry-Perot Laser Diode Subject to Optical Injection. Acta Photonica Sin. 2024, 53, 0553112. [Google Scholar]
- Rosado, A.; Pérez-Serrano, A.; Tijero, J.M.G.; Valle, Á.; Pesquera, L.; Esquivias, I. Enhanced optical frequency comb generation by pulsed gain-switching of optically injected semiconductor lasers. Opt. Express 2019, 27, 9155–9163. [Google Scholar] [CrossRef] [PubMed]







| Ref. | Year | Key Expansion Component | Number of Wavelengths Contained in Injected Light | OFC FSR (GHz) | OFC Bandwidth (GHz) | NCL |
|---|---|---|---|---|---|---|
| [20] | 2011 | OI-GS FP-LD + phase modulator | 1 | 10 | ~160 | 16 |
| [21] | 2015 | OI-GS two-mode FP-LD | 1 | 6.25 | ~325 | 52 |
| [16] | 2021 | OI-GS FP-LD | 1 | 12.5 | ~100 | 9 |
| [22] | 2023 | MWIL introduction to GS FP-LD | 13 | 6.25 | ~275 | 44 |
| This work | 2024 | MWIL introduction to GS WRC-FPLD | 4 | 2 | ~292 | 147 |
Disclaimer/Publisher’s Note: The statements, opinions and data contained in all publications are solely those of the individual author(s) and contributor(s) and not of MDPI and/or the editor(s). MDPI and/or the editor(s) disclaim responsibility for any injury to people or property resulting from any ideas, methods, instructions or products referred to in the content. |
© 2024 by the authors. Licensee MDPI, Basel, Switzerland. This article is an open access article distributed under the terms and conditions of the Creative Commons Attribution (CC BY) license (https://creativecommons.org/licenses/by/4.0/).
Share and Cite
Tao, Y.; Wang, Q.; Ou, P.; Xia, G.; Wu, Z. Broadband Optical Frequency Comb Generation Utilizing a Gain-Switched Weak-Resonant-Cavity Fabry–Perot Laser Diode under Multi-Wavelength Optical Injection. Photonics 2024, 11, 912. https://doi.org/10.3390/photonics11100912
Tao Y, Wang Q, Ou P, Xia G, Wu Z. Broadband Optical Frequency Comb Generation Utilizing a Gain-Switched Weak-Resonant-Cavity Fabry–Perot Laser Diode under Multi-Wavelength Optical Injection. Photonics. 2024; 11(10):912. https://doi.org/10.3390/photonics11100912
Chicago/Turabian StyleTao, Yuhong, Qiupin Wang, Pu Ou, Guangqiong Xia, and Zhengmao Wu. 2024. "Broadband Optical Frequency Comb Generation Utilizing a Gain-Switched Weak-Resonant-Cavity Fabry–Perot Laser Diode under Multi-Wavelength Optical Injection" Photonics 11, no. 10: 912. https://doi.org/10.3390/photonics11100912
APA StyleTao, Y., Wang, Q., Ou, P., Xia, G., & Wu, Z. (2024). Broadband Optical Frequency Comb Generation Utilizing a Gain-Switched Weak-Resonant-Cavity Fabry–Perot Laser Diode under Multi-Wavelength Optical Injection. Photonics, 11(10), 912. https://doi.org/10.3390/photonics11100912

