Electrical Relaxation and Transport Properties of ZnGeP2 and 4H-SiC Crystals Measured with Terahertz Spectroscopy
Abstract
1. Introduction
2. Experimental Methods
2.1. Sample Preparation
2.2. Optical Pump–Terahertz Probe Measurements
2.3. Terahertz Photoconductivity Measurements
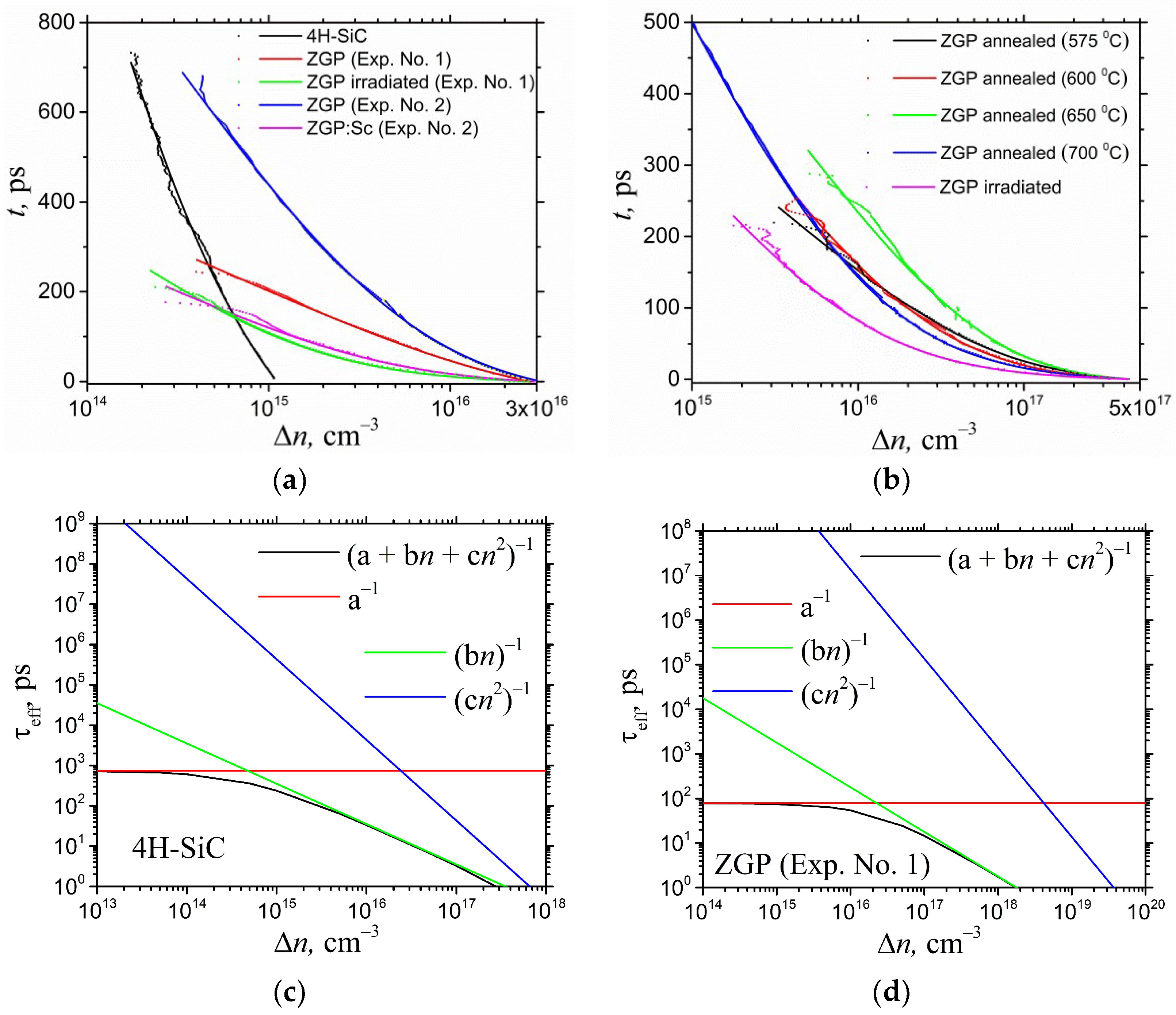
3. Results and Discussion
4. Conclusions
Supplementary Materials
Author Contributions
Funding
Institutional Review Board Statement
Informed Consent Statement
Data Availability Statement
Conflicts of Interest
References
- Jepsen, P.U.; Cooke, D.G.; Koch, M. Terahertz spectroscopy and imaging—Modern techniques and applications. Las. Phot. Rev. 2011, 5, 124–166. [Google Scholar] [CrossRef]
- Wahlstrand, J.K.; Heilweil, E.J. Contactless THz-based bulk semiconductor mobility measurements using two-photon excitation. Opt. Express 2018, 26, 29848–29853. [Google Scholar] [CrossRef]
- Rud’, V.Y.; Rud’, Y.V. ZnGeP2 heterocontact with layered III–VI semiconductors. Tech. Phys. Lett. 1997, 23, 415–416. [Google Scholar] [CrossRef]
- Bacewicz, R.; Pietnoczka, A.; Gehlhoff, W.; Voevodin, V.G. Local order in ZnGeP2:Mn crystals. Phys. Status Solidi A 2007, 204, 2296–2301. [Google Scholar] [CrossRef]
- Sarkisov, S.Y.; Picozzi, S. Transition-metals doping of semiconducting chalcopyrites: Half-metallicity and magnetism. J. Phys. Condens. Matter 2007, 19, 016210. [Google Scholar] [CrossRef]
- Ray, B.; Payne, A.J.; Burell, G.J. Preparation and some physical properties of ZnGeP2. Phys. Status Solidi 1969, 35, 197–204. [Google Scholar] [CrossRef]
- Grigoreva, V.S.; Prochukhan, V.D.; Rud, Y.V.; Yakovenko, A.A. Some electrical properties of high-resistance ZnGeP2 single crystals. Phys. Status Solidi 1973, 17, K69–K74. [Google Scholar] [CrossRef]
- Brudnyi, V.N.; Budnitskii, D.L.; Krivov, M.A.; Masagutova, R.V.; Prochukhan, V.D.; Rud, Y.V. The electrical and optical properties of 2.0 MeV electron-irradiated ZnGeP2. Phys. Status Solidi 1978, 50, 379–384. [Google Scholar] [CrossRef]
- Sooriyagoda, R.; Piyathilaka, H.P.; Zawilski, K.T.; Schunemann, P.G.; Bristow, A.D. Carrier transport and electron–lattice interactions of nonlinear optical crystals CdGeP2, ZnGeP2, and CdSiP2. J. Opt. Soc. Am. B 2021, 38, 769–775. [Google Scholar] [CrossRef]
- Pan, X.; Wang, Y.; Bai, H.; Ren, C.; Peng, J.; Jing, F.; Qiu, H.; Lei, Z.; Liu, H.; Yang, C.; et al. Atomic structures and carrier dynamics of defects in a ZnGeP2 crystal. Chin. Opt. Lett. 2023, 21, 041604. [Google Scholar] [CrossRef]
- Voevodin, V.I.; Bereznaya, S.A.; Sarkisov, Y.S.; Yudin, N.N.; Sarkisov, S.Y. Terahertz generation by optical rectification of 780 nm laser pulses in pure and Sc-doped ZnGeP2 crystals. Photonics 2022, 9, 863. [Google Scholar] [CrossRef]
- Yang, Y.; Zhang, Y.; Gu, Q.; Zhang, H.; Tao, X. Growth and annealing characterization of ZnGeP2 crystal. J. Cryst. Growth 2011, 318, 721–724. [Google Scholar] [CrossRef]
- Zawilski, K.T.; Schuneman, P.G.; Setzler, S.D.; Pollak, T.M. Large aperture single crystal ZnGeP2 for high-energy applications. J. Cryst. Growth 2008, 310, 1891–1896. [Google Scholar] [CrossRef]
- Lei, Z.; Zhu, C.; Xu, C.; Yao, B.; Yang, C. Growth of crack-free ZnGeP2 large single crystals for high-power mid-infrared OPO applications. J. Cryst. Growth 2014, 389, 23–29. [Google Scholar] [CrossRef]
- Gribenyukov, A.I.; Voevodin, V.I. Influence of the preparation conditions on optical properties of single crystals ZnGeP2 in THz range. J. Phys. Conf. Ser. 2018, 1115, 052030. [Google Scholar] [CrossRef]
- Li, F.; Zhong, K.; Qiao, H.; Liu, K.; Zhang, X.; Xu, D.; Yao, J. Efficient tunable terahertz generation via noncollinear phase matching in the ZnGeP2 crystal. J. Opt. Soc. Am. B 2020, 37, 3857–3864. [Google Scholar] [CrossRef]
- Pernot, J.; Contreras, S.; Camassel, J.; Robert, J.L.; Zawadzki, W.; Neyret, E.; Di Cioccio, L. Free electron density and mobility in high-quality 4H–SiC. Appl. Phys. Lett. 2000, 77, 4359–4361. [Google Scholar] [CrossRef]
- Strokan, N.B.; Ivanov, A.M.; Lebedev, A.A. SiC nuclear-radiation detectors. In SiC Power Materials. Springer Series in Materials Science; Feng, Z.C., Ed.; Springer: Berlin/Heidelberg, Germany, 2004; Volume 73. [Google Scholar] [CrossRef]
- Kolesnikova, I.A.; Kobtsev, D.A.; Redkin, R.A.; Voevodin, V.I.; Tyazhev, A.V.; Tolbanov, O.P.; Sarkisov, Y.S.; Sarkisov, S.Y.; Atuchin, V.V. Optical pump—THz probe study of HR GaAs:Cr and SI GaAs:EL2 structures with long charge carrier lifetimes. Photonics 2021, 8, 575. [Google Scholar] [CrossRef]
- Li, G.; Nie, X.; Liao, Y.; Yin, W.; Zhou, W.; Gao, Y.; Xia, N.; Cui, H. Photogenerated carrier density dependence of ultrafast carrier dynamics in intrinsic 6H-SiC measured by optical-pump terahertz-probe spectroscopy. Opt. Commun. 2022, 511, 127979. [Google Scholar] [CrossRef]
- Verozubova, G.A.; Gribenyukov, A.I.; Korotkova, V.V.; Ruzaikin, M.P. ZnGeP2 synthesis and growth from melt. Mater. Sci. Eng. B 1997, 48, 191–197. [Google Scholar] [CrossRef]
- Redkin, R.A.; Kobtsev, D.A.; Bereznaya, S.A.; Korotchenko, Z.V.; Sarkisov, Y.S.; Mihaylov, T.A.; Sarkisov, S.Y. GaSe crystals with antireflection coatings for terahertz generation. Mater. Res. Express 2019, 6, 126201. [Google Scholar] [CrossRef]
- Voevodin, V.I.; Yudin, N.N.; Sarkisov, S.Y. Influence of thermal annealing on terahertz dielectric properties of ZnGeP2 crystals. Russ. Phys. J. 2021, 64, 1513–1516. [Google Scholar] [CrossRef]
- Wang, S.; Zhan, M.; Wang, G.; Xuan, H.; Zhang, W.; Liu, C.; Xu, C.; Liu, Y.; Wei, Z.; Chen, X. 4H-SiC: A new nonlinear material for midinfrared lasers. Las. Phot. Rev. 2013, 7, 831–838. [Google Scholar] [CrossRef]
- Guo, X.; Peng, Z.; Ding, P.; Li, L.; Chen, X.; Wei, H.; Tong, Z.; Guo, L. Nonlinear optical properties of 6H-SiC and 4H-SiC in an extensive spectral range. Opt. Mater. Express 2021, 11, 1080–1092. [Google Scholar] [CrossRef]
- Dubinkin, R.S.; Mu, X.; Ding, Y.J. Spectrum of two-photon absorption coefficients for ZnGeP2. In Proceedings of the Conference on Lasers and Electro-Optics/International Quantum Electronics Conference and Photonic Applications Systems Technologies, Technical Digest (CD) (Optica Publishing Group, 2004), San Francisco, CA, USA, 17 May 2004. paper IMD6. [Google Scholar] [CrossRef]
- Boyd, G.D.; Buehler, E.; Storz, F.G. Linear and nonlinear optical properties of ZnGeP2 and CdSe. Appl. Phys. Lett. 1971, 18, 301–304. [Google Scholar] [CrossRef]
- Shi, Y.; Zhou, Q.; Zhang, C.; Jin, B. Ultrafast high-field carrier transport in GaAs measured by femtosecond pump-probe terahertz spectroscopy. Appl. Phys. Lett. 2008, 93, 121115. [Google Scholar] [CrossRef]
- Patrick, L.; Choyke, W.J. Static dielectric constant of SiC. Phys. Rev. B 1970, 2, 2255–2256. [Google Scholar] [CrossRef]
- Shportko, K.V.; Otto, A.; Venger, E.F. Dispersion of phonon surface polaritons in ZnGeP2: Anisotropy and temperature impacts. Nanoscale Res. Lett. 2016, 11, 76. [Google Scholar] [CrossRef]
- Son, N.T.; Chen, W.M.; Kordina, O.; Konstantinov, A.O.; Monemar, B.; Janzen, E.; Hofman, D.M.; Volm, D.; Drechsler, M.; Meyer, B.K. Electron effective masses in 4H SiC. Appl. Phys. Lett. 1995, 66, 1074–1076. [Google Scholar] [CrossRef]
- Chuchupal, S.V.; Komandin, G.A.; Zhukova, E.S.; Porodinkov, O.E.; Spektor, I.E.; Gribenyukov, A.I. Effect of electron irradiation of ZnGeP2 single crystals on terahertz losses in a wide temperature range. Phys. Solid State 2015, 57, 1607–1612. [Google Scholar] [CrossRef]
- Chuchupal, S.V.; Komandin, G.A.; Zhukova, E.S.; Prokhorov, A.S.; Porodinkov, O.E.; Spektor, I.E.; Shakir, Y.A.; Gribenyukov, A.I. Mechanisms of loss formation in nonlinear optical crystals ZnGeP2 in the terahertz frequency range. Phys. Solid State 2014, 56, 1391–1396. [Google Scholar] [CrossRef]





| Sample | α (λ = 800 nm), cm−1 | L, μm | Pav, mW | d, mm | Δn, cm−3 | Δne-h_pairs, cm−3 | |
|---|---|---|---|---|---|---|---|
| Front Surface | Outflow Surface | ||||||
| ZGP (Exp. No. 1) annealed, irradiated | 7.3 | 202 | 150 | 6 | 2.77 × 1016 | 9.77 × 1016 | 7.82 × 1015 |
| ZGP (Exp. No. 2) | 21 | 199 | 150 | 6 | 2.85 × 1016 | 1.01 × 1017 | 8.03 × 1015 |
| ZGP:Sc (Exp. No. 2) | 11.3 | 193 | 150 | 6 | 3.03 × 1016 | 1.08 × 1017 | 8.4 × 1015 |
| ZGP (Exp. No. 1) annealed, irradiated | 7.3 | (δ) 47 | 250 | 4 | 4.2 × 1017 | 1.3 × 1018 | 1.3 × 1017 |
| 4H-SiC | - | 376 | 140 | 3 | 1.07 × 1015 | 1.1 × 1015 | 1.04 × 1015 |
| Sample | L, μm | −ΔT (t = 0)/T0 | Δn (t = 0), cm−3 | μ, cm2/V·s | a, ps−1 | b, ps−1cm3 | c, ps−1cm6 |
|---|---|---|---|---|---|---|---|
| ZGP (Exp. No. 1) | 202 | 0.17 | 2.77 × 1016 | 37 | 0.013 | 5.62 × 10−19 | 7.3 × 10−40 |
| ZGP (Exp. No. 1) irradiated | 202 | 0.18 | 2.77 × 1016 | 36 | 0.008 | 5.5 × 10−18 | 1.9 × 10−40 |
| ZGP (Exp. No. 2) | 199 | 0.17 | 2.85 × 1016 | 33 | 0.004 | 6.9 × 10−19 | 2.4 × 10−40 |
| ZGP:Sc (Exp. No. 2) | 193 | 0.12 | 3.03 × 1016 | 23 | 0.013 | 3.1 × 10−18 | 4.4 × 10−39 |
| ZGP (Exp. No. 1) irradiated | 6300 | 0.53 | 4.17 × 1017 | 42 | 0.008 | 8.2 × 10−19 | 4.4 × 10−39 |
| ZGP annealed T = 575 °C | 2010 | 0.39 | 4.17 × 1017 | 24 | 0.011 | 2 × 10−19 | 3.3 × 10−38 |
| ZGP annealed T = 600 °C | 2030 | 0.25 | 4.17 × 1017 | 12 | 0.008 | 2.7 × 10−19 | 7.7 × 10−38 |
| ZGP annealed T = 650 °C | 2013 | 0.24 | 4.17 × 1017 | 12 | 0.007 | 1.1 × 10−19 | 8.3 × 10−38 |
| ZGP annealed T = 700 °C | 2015 | 0.59 | 4.17 × 1017 | 55 | 0.005 | 4.6 × 10−19 | 1.9 × 10−39 |
| 4H-SiC | 376 | 0.18 | 1.07 × 1015 | 453 | 0.001 | 2.8 × 10−18 | 2.3 × 10−36 |
| Sample | L, μm | Photoexcitation Delay | μ, cm2/V·s | Δn, cm−3 | τ, fs | cb |
|---|---|---|---|---|---|---|
| ZGP (Exp. No. 1) | 202 | Δt1 | 197 | 2.77 × 1016 | 12.1 | −0.45 |
| Δt2 | 161 | 1.39 × 1016 | 9.9 | −0.37 | ||
| ZGP (Exp. No. 1) irradiated | 202 | Δt1 | 182 | 2.77 × 1016 | 11.2 | −0.57 |
| Δt2 | 182 | 1.39 × 1016 | 11.2 | −0.58 | ||
| ZGP (Exp. No. 2) | 199 | Δt1 | 36 | 3.03 × 1016 | 2.2 | 0 |
| Δt2 | 41 | 1.52 × 1016 | 2.5 | 0 | ||
| ZGP:Sc (Exp. No. 2) | 193 | Δt1 | 31 | 2.85 × 1016 | 1.9 | 0 |
| Δt2 | 36 | 1.43 × 1016 | 2.2 | 0 | ||
| 4H-SiC | 376 | Δt1 | 588 | 1.07 × 1015 | 141 | −0.51 |
| Δt2 | 741 | 0.51 × 1015 | 177 | −0.5 |
Disclaimer/Publisher’s Note: The statements, opinions and data contained in all publications are solely those of the individual author(s) and contributor(s) and not of MDPI and/or the editor(s). MDPI and/or the editor(s) disclaim responsibility for any injury to people or property resulting from any ideas, methods, instructions or products referred to in the content. |
© 2023 by the authors. Licensee MDPI, Basel, Switzerland. This article is an open access article distributed under the terms and conditions of the Creative Commons Attribution (CC BY) license (https://creativecommons.org/licenses/by/4.0/).
Share and Cite
Voevodin, V.I.; Brudnyi, V.N.; Sarkisov, Y.S.; Su, X.; Sarkisov, S.Y. Electrical Relaxation and Transport Properties of ZnGeP2 and 4H-SiC Crystals Measured with Terahertz Spectroscopy. Photonics 2023, 10, 827. https://doi.org/10.3390/photonics10070827
Voevodin VI, Brudnyi VN, Sarkisov YS, Su X, Sarkisov SY. Electrical Relaxation and Transport Properties of ZnGeP2 and 4H-SiC Crystals Measured with Terahertz Spectroscopy. Photonics. 2023; 10(7):827. https://doi.org/10.3390/photonics10070827
Chicago/Turabian StyleVoevodin, Vladimir I., Valentin N. Brudnyi, Yury S. Sarkisov, Xinyang Su, and Sergey Yu. Sarkisov. 2023. "Electrical Relaxation and Transport Properties of ZnGeP2 and 4H-SiC Crystals Measured with Terahertz Spectroscopy" Photonics 10, no. 7: 827. https://doi.org/10.3390/photonics10070827
APA StyleVoevodin, V. I., Brudnyi, V. N., Sarkisov, Y. S., Su, X., & Sarkisov, S. Y. (2023). Electrical Relaxation and Transport Properties of ZnGeP2 and 4H-SiC Crystals Measured with Terahertz Spectroscopy. Photonics, 10(7), 827. https://doi.org/10.3390/photonics10070827

