Detection of Atmospheric Wind Speed by Lidar Based on Quadrichannel Mach–Zehnder Interferometer
Abstract
1. Introduction
2. Working Principle
2.1. QMZ Frequency Discrimination Principle
2.2. Performance Evaluation of Doppler Wind Lidar
3. Lidar Design
3.1. General Architecture
3.2. QMZ Design
4. Experiment
4.1. QMZ Calibration
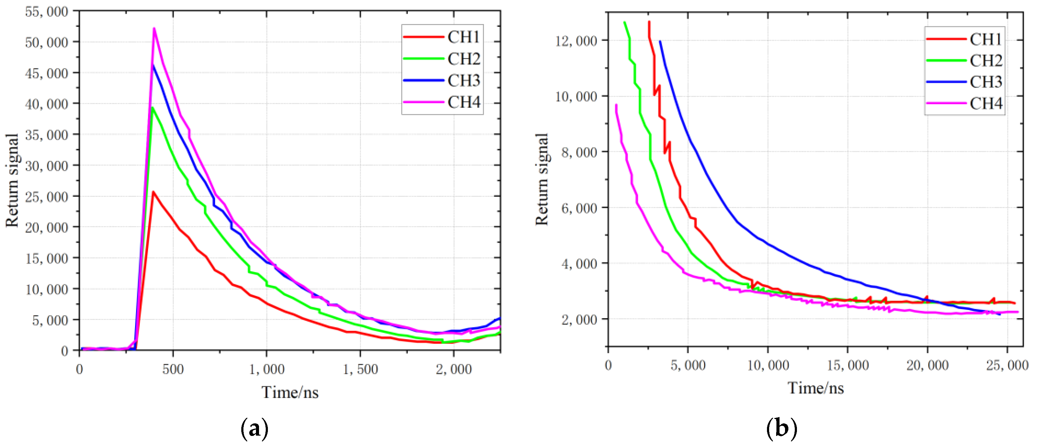
4.2. Acquisition of Echo Signal
4.3. Atmospheric Wind Speed Inversion Profile
4.4. Temperature Detection of Troposphere Atmosphere
5. Experimental Error Analysis
6. Conclusions
Author Contributions
Funding
Institutional Review Board Statement
Informed Consent Statement
Data Availability Statement
Conflicts of Interest
Appendix A. Signal Processing and Noise-Dependent Measurement Errors
Appendix A.1. Signal Processing
Appendix A.2. Preliminary Evaluation of Mpar and Mmol
Appendix A.3. Noise-Dependent Statistical Error
References
- Abedin, M.N.; Bradley, A.T.; Sharma, S.K.; Misra, A.K.; Lucey, P.G.; McKay, C.P.; Ismail, S.; Sandford, S.P. Mineralogy and astrobiology detection using laser remote sensing instrument. Appl. Opt. 2015, 54, 7598–7611. [Google Scholar] [CrossRef] [PubMed]
- Mohanakumar, K.; Kottayil, A.; Anandan, V.K.; Samson, T.; Thomas, L.; Satheesan, K.; Rebello, R.; Manoj, M.G.; Varadarajan, R.; Santosh, K.R.; et al. Technical Details of a Novel Wind Profiler Radar at 205 MHz. J. Atmospheric Ocean. Technol. 2017, 34, 2659–2671. [Google Scholar] [CrossRef]
- Liu, Z.; Barlow, J.F.; Chan, P.-W.; Fung, J.C.H.; Li, Y.; Ren, C.; Mak, H.W.L.; Ng, E. A Review of Progress and Applications of Pulsed Doppler Wind LiDARs. Remote Sens. 2019, 11, 2522. [Google Scholar] [CrossRef]
- Song, M.; Wang, Y.; Mamtimin, A.; Gao, J.; Aihaiti, A.; Zhou, C.; Yang, F.; Huo, W.; Wen, C.; Wang, B. Applicability Assessment of Coherent Doppler Wind LiDAR for Monitoring during Dusty Weather at the Northern Edge of the Tibetan Plateau. Remote Sens. 2022, 14, 5264. [Google Scholar] [CrossRef]
- Smith, J.A.; Chu, X. Investigation of a field-widened Mach–Zehnder receiver to extend Fe Doppler lidar wind measurements from the thermosphere to the ground. Appl. Opt. 2016, 55, 1366. [Google Scholar] [CrossRef] [PubMed]
- Wolken-Möhlmann, G.; Bischoff, O.; Gottschall, J. Analysis of wind speed deviations between floating lidars, fixed lidar and cup anemometry based on experimental data. J. Phys. Conf. Ser. 2022, 2362, 012042. [Google Scholar] [CrossRef]
- Wang, L.; Gao, F.; Wang, J.; Yan, Q.; Chang, B.; Hua, D. Design and experimental verification of a novel Mie Doppler wind lidar based on all-fiber Mach-Zehnder frequency discriminator. Opt. Commun. 2016, 389, 5–9. [Google Scholar] [CrossRef]
- Zhou, Y.; Li, L.; Wang, K.; Zhang, X.; Gao, C. Coherent Doppler wind lidar signal denoising adopting variational mode decomposition based on honey badger algorithm. Opt. Express 2022, 30, 25774–25787. [Google Scholar] [CrossRef]
- Cañadillas, B.; Beckenbauer, M.; Trujillo, J.J.; Dörenkämper, M.; Foreman, R.; Neumann, T.; Lampert, A. Offshore wind farm cluster wakes as observed by long-range-scanning wind lidar measurements and mesoscale modeling. Wind. Energy Sci. 2022, 7, 1241–1262. [Google Scholar] [CrossRef]
- Jiang, P.; Yuan, J.; Wu, K.; Wang, L.; Xia, H. Turbulence Detection in the Atmospheric Boundary Layer Using Coherent Doppler Wind Lidar and Microwave Radiometer. Remote Sens. 2022, 14, 2951. [Google Scholar] [CrossRef]
- Witschas, B.; Vieitez, M.O.; van Duijn, E.J.; Reitebuch, O.; van de Water, W.; Ubachs, W. Spontaneous Rayleigh–Brillouin scattering of ultraviolet light in nitrogen, dry air, and moist air. Appl. Opt. 2010, 49, 4217–4227. [Google Scholar] [CrossRef] [PubMed]
- Kidambi Sekar, A.P.; van Dooren, M.F.; Rott, A.; Kühn, M. Lower Order Description and Reconstruction of Sparse Scanning Lidar Measurements of Wind Turbine Inflow Using Proper Orthogonal Decomposition. Remote Sens. 2022, 14, 2681. [Google Scholar] [CrossRef]
- Cheng, Z.; Liu, D.; Zhang, Y.; Yang, Y.; Zhou, Y.; Luo, J.; Bai, J.; Shen, Y.; Wang, K.; Liu, C.; et al. Field-widened Michelson interferometer for spectral discrimination in high-spectral-resolution lidar: Practical development. Opt. Express 2016, 24, 7232–7245. [Google Scholar] [CrossRef] [PubMed]
- Misaka, T.; Nakabayashi, F.K.; Obayashi, S.; Inokuchi, H. Filtering Algorithm of Airborne Doppler Lidar Measurements for Improved Wind Estimation. Trans. Jpn. Soc. Aeronaut. Space Sci. 2015, 58, 149–155. [Google Scholar] [CrossRef]
- Gräfe, M.; Pettas, V.; Cheng, P.W. Wind field reconstruction using nacelle based lidar measurements for floating wind turbines. J. Phys. Conf. Ser. 2022, 2265, 042022. [Google Scholar] [CrossRef]
- Smith, J.A.; Chu, X. Exploration of Whole Atmosphere Lidar: Mach-zehnder Receiver to Extend Fe Doppler Lidar Wind Measurements from the Thermosphere to the Ground. EPJ Web Conf. 2016, 119, 12004. [Google Scholar] [CrossRef]
- Viselli, A.; Faessler, N.; Filippelli, M. LiDAR Measurements of Wind Shear Exponents and Turbulence Intensity Offshore the Northeast United States. J. Offshore Mech. Arct. Eng. 2022, 144, 042001. [Google Scholar] [CrossRef]
- Kliebisch, O.; Uittenbosch, H.; Thurn, J.; Mahnke, P. Coherent Doppler wind lidar with real-time wind processing and low signal-to-noise ratio reconstruction based on a convolutional neural network. Opt. Express 2022, 30, 5540–5552. [Google Scholar] [CrossRef]
- Cheng, Z.; Liu, D.; Luo, J.; Yang, Y.; Zhou, Y.; Zhang, Y.; Duan, L.; Su, L.; Yang, L.; Shen, Y.; et al. Field-widened Michelson interferometer for spectral discrimination in high-spectral-resolution lidar: Theoretical framework. Opt. Express 2015, 23, 12117–12134. [Google Scholar] [CrossRef]
- Tang, S.; Li, T.; Guo, Y.; Zhu, R.; Qu, H. Correction of various environmental influences on Doppler wind lidar based on multiple linear regression model. Renew. Energy 2022, 184, 933–947. [Google Scholar] [CrossRef]
- Dai, H.; Gao, C.; Lin, Z.; Wang, K.; Zhang, X. Wind lidar signal denoising method based on singular value decomposition and variational mode decomposition. Appl. Opt. 2021, 60, 10721–10726. [Google Scholar] [CrossRef]
- Kim, J.Y.; Kim, M.S. A comparison of offshore met-mast and lidar wind measurements at various heights. J. Korean Soc. Coast. Ocean. Eng. 2017, 29, 12–19. [Google Scholar] [CrossRef]
- Ma, Y.; Zhu, Y.; Liu, B.; Li, H.; Jin, S.; Zhang, Y.; Fan, R.; Gong, W. Estimation of the vertical distribution of particle matter (PM2.5) concentration and its transport flux from lidar measurements based on machine learning algorithms. Atmos. Chem. Phys. 2021, 21, 17003–17016. [Google Scholar] [CrossRef]
- Tucker, S.C.; Weimer, C.; Hardesty, R.M. The Athena-OAWL Doppler Wind Lidar Mission. EPJ Web Conf. 2016, 119, 1002. [Google Scholar] [CrossRef]
- Filimonov, P.A.; Ivanov, S.E.; Gorodnichev, V.A.; Belov, M.L.; Fedotov, Y.V. Measurements of Wind Speed and Direction with an Aerosol UV Lidar. Atmos. Ocean. Opt. 2021, 34, 443–446. [Google Scholar] [CrossRef]
- Liu, D.; Zhao, T.; Boiyo, R.; Chen, S.; Lu, Z.; Wu, Y.; Zhao, Y. Vertical Structures of Dust Aerosols over East Asia Based on CALIPSO Retrievals. Remote Sens. 2019, 11, 701. [Google Scholar] [CrossRef]
- Yuan, J.; Wu, K.; Wei, T.; Wang, L.; Shu, Z.; Yang, Y.; Xia, H. Cloud Seeding Evidenced by Coherent Doppler Wind Lidar. Remote Sens. 2021, 13, 3815. [Google Scholar] [CrossRef]
- Cremons, D.R.; Abshire, J.; Allan, G.; Sun, X.; Riris, H.; Smith, M.; Guzewich, S.; Yu, A.; Hovis, F. Development of a Mars lidar (MARLI) for measuring wind and aerosol profiles from orbit. In Proceedings of the Lidar Technologies, Techniques, and Measurements for Atmospheric Remote Sensing XIV, Berlin, Germany, 11–12 September 2018. [Google Scholar]
- Yang, S.; Peng, F.; von Löwis, S.; Petersen, G.N.; Finger, D.C. Using Machine Learning Methods to Identify Particle Types from Doppler Lidar Measurements in Iceland. Remote Sens. 2021, 13, 2433. [Google Scholar] [CrossRef]
- Daniel, M.; Carey, N. LiDAR for Wind Measurement. Sea Technol. 2019, 60, 10–13. [Google Scholar]
- Mahdizadeh, A.; Tofighi, E.; Schmid, R. Comparison between the NMPC and EOR control of wind turbines using LIDAR wind measurements. J. Physics: Conf. Ser. 2018, 1037, 032046. [Google Scholar] [CrossRef]
- Hristova-Veleva, S.; Zhang, S.Q.; Turk, F.J.; Haddad, Z.S.; Sawaya, R.C. Assimilation of DAWN Doppler wind lidar data during the 2017 Convective Processes Experiment (CPEX): Impact on precipitation and flow structure. Atmos. Meas. Tech. 2021, 14, 3333–3350. [Google Scholar] [CrossRef]
- Angelou, N.; Mann, J.; Dellwik, E. Scanning Doppler lidar measurements of drag force on a solitary tree. J. Fluid Mech. 2021, 917, A30. [Google Scholar] [CrossRef]
- He, Y.; Ren, C.; Mak, H.W.L.; Lin, C.; Wang, Z.; Fung, J.C.H.; Li, Y.; Lau, A.K.H.; Ng, E. Investigations of high-density urban boundary layer under summer prevailing wind conditions with Doppler LiDAR: A case study in Hong Kong. Urban Clim. 2021, 38, 100884. [Google Scholar] [CrossRef]
- Nomokonova, T.; Griewank, P.J.; Löhnert, U.; Miyoshi, T.; Necker, T.; Weissmann, M. Estimating the benefit of Doppler wind lidars for short-term low-level wind ensemble forecasts. Q. J. R. Meteorol. Soc. 2022, 149, 192–210. [Google Scholar] [CrossRef]




























| Design Indicators | Parameters |
|---|---|
| Nominal wavelength | 1064 nm |
| Output power | 3.0 mW ± 15% |
| Monopulse energy | 1200 mJ |
| Spatial model | >70% Gaussian correlation coefficient (at 1 m) |
| Beam diameter | 9 mm |
| Divergence angle | 0.4 mrad |
| Pulse duration | 20 ns |
| Energy stability between pulses | ±1% |
| Frequency width | <0.003 cm−1 |
| Frequency modulation | <±10 MHZ |
| Warmup time | 15 min |
| Optimum operating temperature | 22 °C |
| Design Index | Parameter |
|---|---|
| The side length of the cube | 1”(25.4 mm) |
| Transparent aperture | >20.3 × 20.3 mm |
| Wave front error of transmission | <λ/4 |
| Transmitted beam deviation | ≤5 arcmin |
| Damage threshold | 0.25 J/cm2 |
| Design Index | Parameter |
|---|---|
| Cube size | 1” × 1” × 1” |
| Texture of material | N-SF1 |
| Transmission rate | TP > 90% |
| Reflectivity | RS, Avg > 95% |
| Sensitivity ai | Interference Contrast Mi | ||
|---|---|---|---|
| a1 | 0.203 | M1 | 0.869 |
| a2 | 0.294 | M2 | 0.843 |
| a3 | 0.276 | M3 | 0.873 |
| a4 | 0.217 | M4 | 0.791 |
| Parameter | Result |
|---|---|
| Monopulse energy | 1200 mJ |
| Maximum emission energy | 255 mJ |
| Maximum SNR | 1433 (@maximum emission energy) |
| Wind speed detection range | 0–8 km |
| Effective wind speed detection range | 0–2 km |
| Accuracy of wind speed measurement | 1.6 m∙s−1 (@H = 2 km) |
| Effective measurement range of atmospheric molecules and aerosols | 0–8 km |
| Atmospheric temperature detection range | 0–8 km |
| Measurement accuracy of extinction coefficient of aerosol | ±0.001 m−1 |
| Accuracy of atmospheric temperature measurement | ±2 K |
Disclaimer/Publisher’s Note: The statements, opinions and data contained in all publications are solely those of the individual author(s) and contributor(s) and not of MDPI and/or the editor(s). MDPI and/or the editor(s) disclaim responsibility for any injury to people or property resulting from any ideas, methods, instructions or products referred to in the content. |
© 2023 by the authors. Licensee MDPI, Basel, Switzerland. This article is an open access article distributed under the terms and conditions of the Creative Commons Attribution (CC BY) license (https://creativecommons.org/licenses/by/4.0/).
Share and Cite
Li, J.; Lu, Y.; Yang, H.; Li, Z.; Liu, J.; Qiang, J.; Chen, Y. Detection of Atmospheric Wind Speed by Lidar Based on Quadrichannel Mach–Zehnder Interferometer. Photonics 2023, 10, 726. https://doi.org/10.3390/photonics10070726
Li J, Lu Y, Yang H, Li Z, Liu J, Qiang J, Chen Y. Detection of Atmospheric Wind Speed by Lidar Based on Quadrichannel Mach–Zehnder Interferometer. Photonics. 2023; 10(7):726. https://doi.org/10.3390/photonics10070726
Chicago/Turabian StyleLi, Jun, Yusheng Lu, Haima Yang, Zeng Li, Jin Liu, Jia Qiang, and Yuwei Chen. 2023. "Detection of Atmospheric Wind Speed by Lidar Based on Quadrichannel Mach–Zehnder Interferometer" Photonics 10, no. 7: 726. https://doi.org/10.3390/photonics10070726
APA StyleLi, J., Lu, Y., Yang, H., Li, Z., Liu, J., Qiang, J., & Chen, Y. (2023). Detection of Atmospheric Wind Speed by Lidar Based on Quadrichannel Mach–Zehnder Interferometer. Photonics, 10(7), 726. https://doi.org/10.3390/photonics10070726

