Temperature-Dependent Optical Properties of Bismuth Triborate Crystal in the Terahertz Range: Simulation of Terahertz Generation by Collinear Three-Wave Mixing in the Main Crystal Planes
Abstract
1. Introduction
2. Materials and Methods
2.1. Properties of Samples under Test
2.2. Temperature-Dependent THz Polarimetry
3. Results
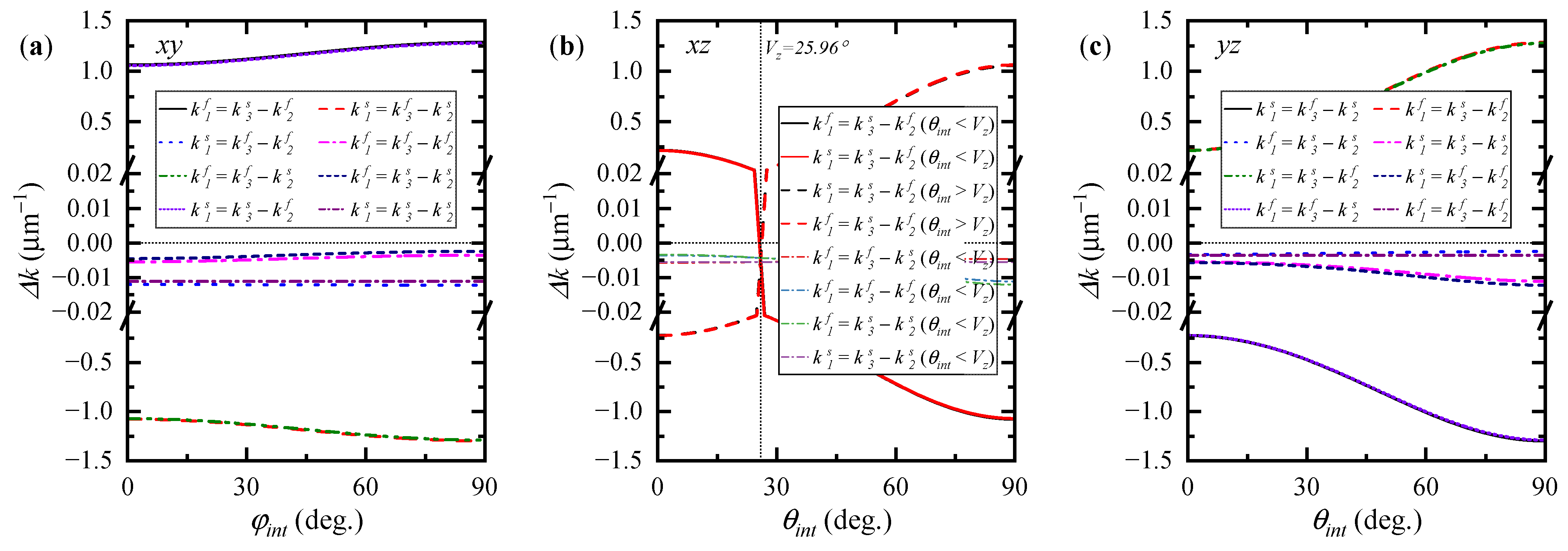
3.1. Optical Properties of BIBO Crystal in the THz Range at Room Temperature
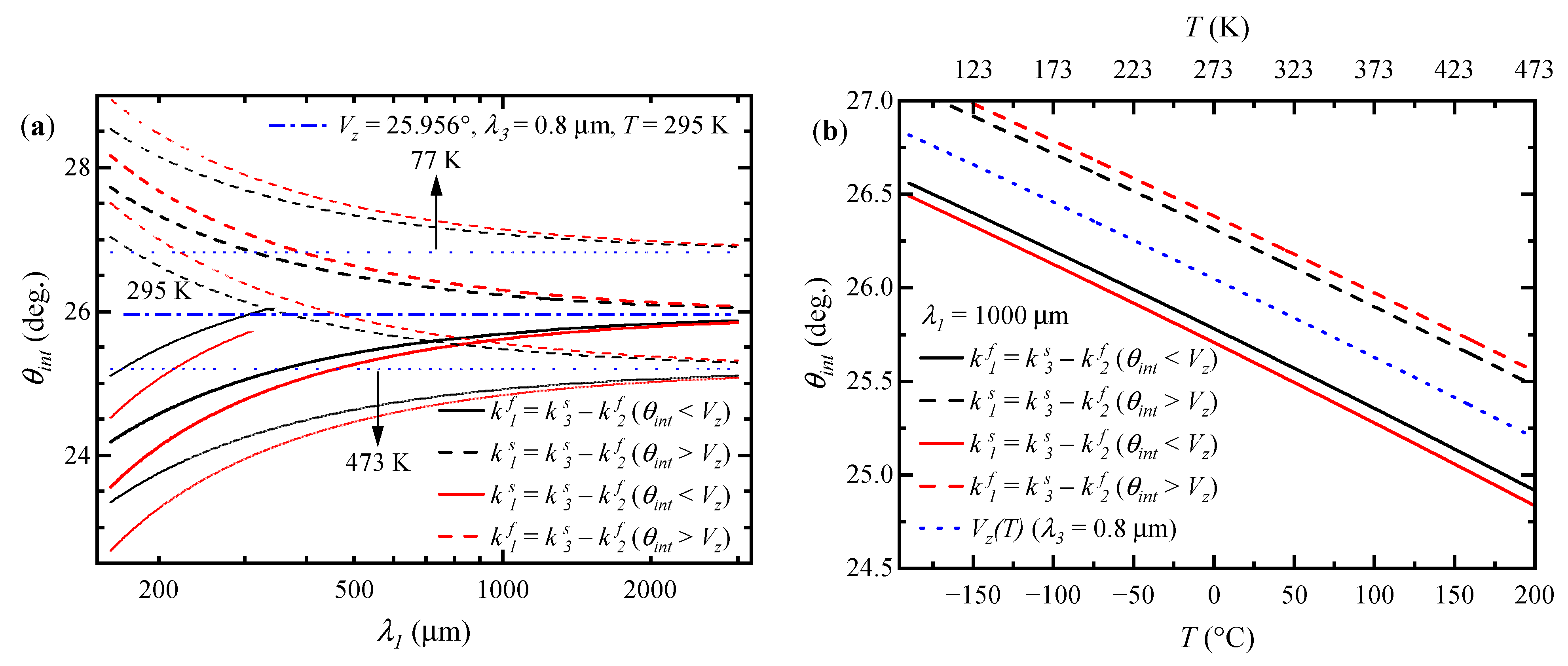
3.2. Temperature-Dependent Optical Properties
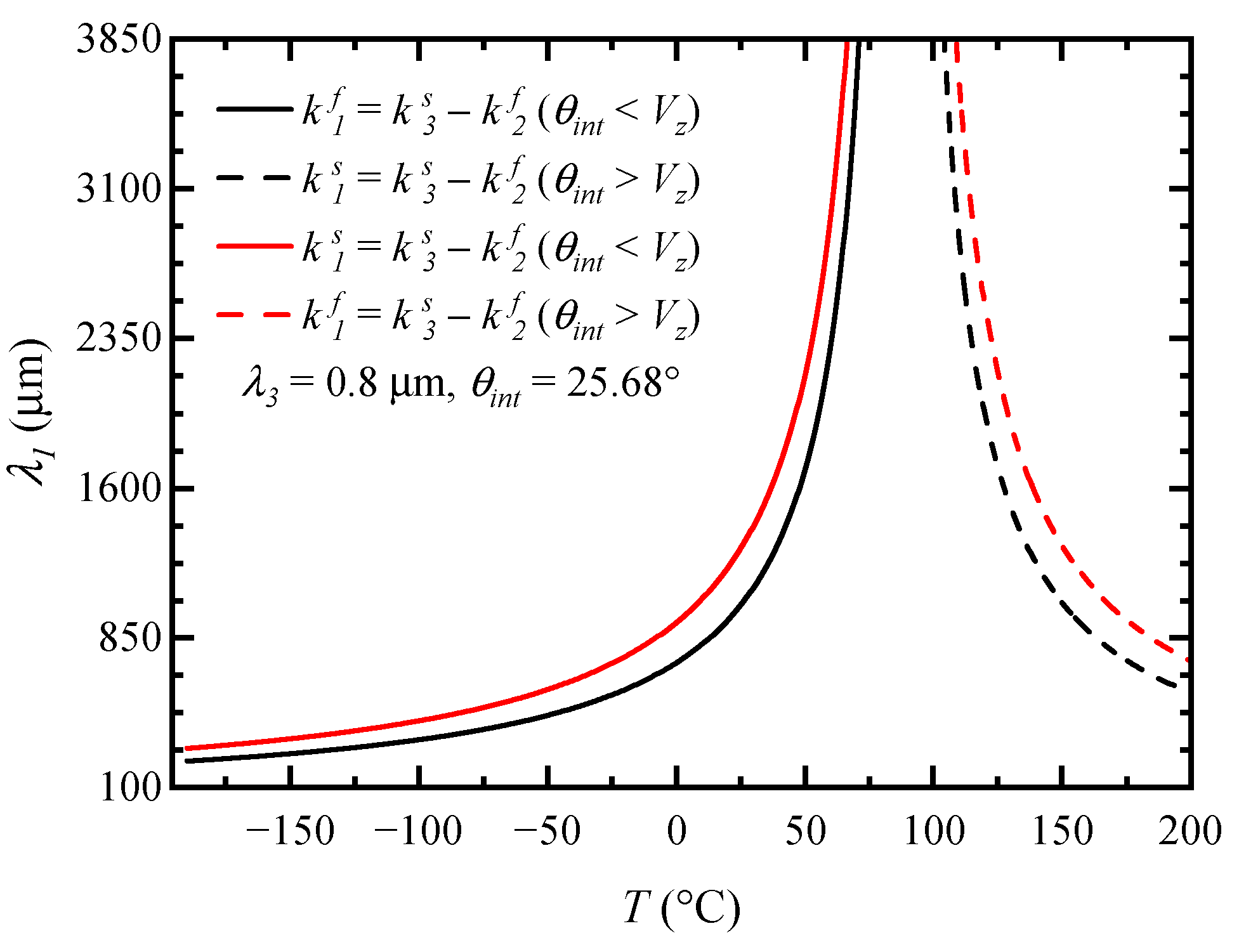
4. Discussion
5. Conclusions
Author Contributions
Funding
Institutional Review Board Statement
Informed Consent Statement
Data Availability Statement
Acknowledgments
Conflicts of Interest
References
- Son, J.-H. Terahertz: Biomedical Science & Technology; CRC Press: Boca Raton, FL, USA, 2014; ISBN 9780367576127. [Google Scholar]
- Chen, X.; Lindley-Hatcher, H.; Stantchev, R.I.; Wang, J.; Li, K.; Hernandez Serrano, A.; Taylor, Z.D.; Castro-Camus, E.; Pickwell-MacPherson, E. Terahertz (THz) biophotonics technology: Instrumentation, techniques, and biomedical applications. Chem. Phys. Rev. 2022, 3, 011311. [Google Scholar] [CrossRef]
- Takida, Y.; Nawata, K.; Minamide, H. Security screening system based on terahertz-wave spectroscopic gas detection. Opt. Express 2021, 29, 2529–2537. [Google Scholar] [CrossRef]
- Brown, E.R. Fundamentals of terrestrial millimeter-wave and THz remote sensing. Int. J. High Speed Electron. Syst. 2003, 13, 995–1097. [Google Scholar] [CrossRef]
- Kim, G.-R.; Moon, K.; Park, K.H.; O’Hara, J.F.; Grischkowsky, D.; Jeon, T.-I. Remote N2O gas sensing by enhanced 910-m propagation of THz pulses. Opt. Express 2019, 27, 27514. [Google Scholar] [CrossRef] [PubMed]
- Liu, L.; Weng, C.; Li, S.; Husi, L.; Hu, S.; Dong, P. Passive remote sensing of ice cloud properties at terahertz wavelengths based on genetic algorithm. Remote Sens. 2021, 13, 735. [Google Scholar] [CrossRef]
- Hwu, S.U.; Desilva, K.B.; Jih, C.T. Terahertz (THz) wireless systems for space applications. In Proceedings of the 2013 IEEE Sensors Applications Symposium Proceedings, Galveston, TX, USA, 19–21 February 2013; pp. 171–175. [Google Scholar] [CrossRef]
- Huang, Y.; Shen, Y.; Wang, J. From Terahertz Imaging to Terahertz Wireless Communications. Engineering 2023, 22, 106–124. [Google Scholar] [CrossRef]
- Naftaly, M.; Vieweg, N.; Deninger, A. Industrial Applications of Terahertz Sensing: State of Play. Sensors 2019, 19, 4203. [Google Scholar] [CrossRef]
- Naftaly, M. Characterisation of Emitters and Detectors. In Next Generation Wireless Terahertz Communication Networks; CRC Press: Boca Raton, FL, USA, 2021; pp. 89–111. ISBN 9781003001140. [Google Scholar]
- Ahn, J.; Efimov, A.; Averitt, R.; Taylor, A. Terahertz waveform synthesis via optical rectification of shaped ultrafast laser pulses. Opt. Express 2003, 11, 2486. [Google Scholar] [CrossRef]
- Bernerd, C.; Segonds, P.; Debray, J.; Roux, J.-F.; Hérault, E.; Coutaz, J.-L.; Shoji, I.; Minamide, H.; Ito, H.; Lupinski, D.; et al. Evaluation of eight nonlinear crystals for phase-matched Terahertz second-order difference-frequency generation at room temperature. Opt. Mater. Express 2020, 10, 561–576. [Google Scholar] [CrossRef]
- Lanin, A.A.; Voronin, A.A.; Stepanov, E.A.; Fedotov, A.B.; Zheltikov, A.M. Frequency-tunable sub-two-cycle 60-MW-peak-power free-space waveforms in the mid-infrared. Opt. Lett. 2014, 39, 6430. [Google Scholar] [CrossRef]
- Hafez, H.A.; Chai, X.; Ibrahim, A.; Mondal, S.; Férachou, D.; Ropagnol, X.; Ozaki, T. Intense terahertz radiation and their applications. J. Opt. 2016, 18, 093004. [Google Scholar] [CrossRef]
- Dong, Y.Q.; Yin, Y.; Huang, J.J.; Zhang, X.L.; Andreev, Y.M.; Ezhov, D.M.; Grechin, S.G. Optimization on the frequency conversion of LiGaS2 crystal. Laser Phys. 2019, 29, 095403. [Google Scholar] [CrossRef]
- Kokh, A.; Kononova, N.; Mennerat, G.; Villeval, P.; Durst, S.; Lupinski, D.; Vlezko, V.; Kokh, K. Growth of high quality large size LBO crystals for high energy second harmonic generation. J. Cryst. Growth 2010, 312, 1774–1778. [Google Scholar] [CrossRef]
- Shi, W.; Ding, Y.J.; Fernelius, N.; Vodopyanov, K. Efficient, tunable, and coherent 0.18–5.27-THz source based on GaSe crystal. Opt. Lett. 2002, 27, 1454–1456. [Google Scholar] [CrossRef]
- Rowley, J.D.; Wahlstrand, J.K.; Zawilski, K.T.; Schunemann, P.G.; Giles, N.C.; Bristow, A.D. Terahertz generation by optical rectification in uniaxial birefringent crystals. Opt. Express 2012, 20, 16958–16965. [Google Scholar] [CrossRef]
- Lubenko, D.M.; Losev, V.F.; Andreev, Y.M.; Lanskii, G.V. Model studies of THz-range generation via down conversion of the radiation of Ti:Sapphire lasers in LBO crystals. Bull. Russ. Acad. Sci. Phys. 2017, 81, 1239–1243. [Google Scholar] [CrossRef]
- Mamrashev, A.; Nikolaev, N.; Antsygin, V.; Andreev, Y.; Lanskii, G.; Meshalkin, A. Optical properties of KTP crystals and their potential for Terahertz generation. Crystals 2018, 8, 310. [Google Scholar] [CrossRef]
- Lubenko, D.M.; Lansky, G.V.; Nikolaev, N.A.; Sandabkin, E.A.; Losev, V.F.; Andreev, Y.M. Generation of THz emission in nonlinear BBO crystal at room temperature. In Proceedings of the XIV International Conference on Pulsed Lasers and Laser Applications, Tomsk, Russia, 15–20 September 2019; SPIE: Bellingham, Washington, USA, 2019; Volume 11322, pp. 498–503. [Google Scholar]
- Rybak, A.; Antsygin, V.; Mamrashev, A.; Nikolaev, N. Terahertz optical properties of KTiOPO4 crystal in the temperature range of (−192)–150 °C. Crystals 2021, 11, 125. [Google Scholar] [CrossRef]
- Sutherland, R.L. Handbook of Nonlinear Optics; CRC Press: Boca Raton, FL, USA, 2003; ISBN 9781135541194. [Google Scholar]
- Hellwig, H.; Liebertz, J.; Bohatý, L. Exceptional large nonlinear optical coefficients in the monoclinic bismuth borate BiB3O6 (BIBO). Solid State Commun. 1999, 109, 249–251. [Google Scholar] [CrossRef]
- Kroupa, J.; Kasprowicz, D.; Majchrowski, A.; Michalski, E.; Drozdowski, M. Optical properties of Bismuth Triborate (BIBO) single crystals. Ferroelectrics 2005, 318, 77–82. [Google Scholar] [CrossRef]
- Jang, J.H.; Yoon, I.H.; Yoon, C.S. Cause and repair of optical damage in nonlinear optical crystals of BiB3O6. Opt. Mater. 2009, 31, 781–783. [Google Scholar] [CrossRef]
- Apurv Chaitanya, N.; Aadhi, A.; Singh, R.P.; Samanta, G.K. Type-I frequency-doubling characteristics of high-power, ultrafast fiber laser in thick BIBO crystal. Opt. Lett. 2014, 39, 5419–5422. [Google Scholar] [CrossRef]
- Galletti, M.; Pires, H.; Hariton, V.; Alves, J.; Oliveira, P.; Galimberti, M.; Figueira, G. Ultra-broadband near-infrared NOPAs based on the nonlinear crystals BiBO and YCOB. High Power Laser Sci. Eng. 2020, 8, e29. [Google Scholar] [CrossRef]
- Petrov, V.; Ghotbi, M.; Kokabee, O.; Esteban-Martin, A.; Noack, F.; Gaydardzhiev, A.; Nikolov, I.; Tzankov, P.; Buchvarov, I.; Miyata, K.; et al. Femtosecond nonlinear frequency conversion based on BiB3O6. Laser Photon. Rev. 2010, 4, 53–98. [Google Scholar] [CrossRef]
- Bubnova, R.; Volkov, S.; Albert, B.; Filatov, S. Borates—Crystal Structures of Prospective Nonlinear Optical Materials: High Anisotropy of the Thermal Expansion Caused by Anharmonic Atomic Vibrations. Crystals 2017, 7, 93. [Google Scholar] [CrossRef]
- Li, Y.; Huang, J.; Huang, Z.; Nikolaev, N.; Lanskii, G.; Mamrashev, A.; Andreev, Y. Optical properties of BiB3O6 in the terahertz range. Results Phys. 2020, 16, 102815. [Google Scholar] [CrossRef]
- Nikolaev, N.A.; Mamrashev, A.A.; Antsygin, V.D.; Ezhov, D.M.; Lubenko, D.M.; Svetlichnyi, V.A.; Andreev, Y.M.; Losev, V.F. Millimetre-wave range optical properties of BIBO. J. Phys. Conf. Ser. 2021, 2067, 012011. [Google Scholar] [CrossRef]
- Ghorui, C.; Rudra, A.M.; Chatterjee, U.; Chaudhary, A.K.; Ganesh, D. Efficient second-harmonic and terahertz generation from single BiB3O6 crystal using nanosecond and femtosecond lasers. Appl. Opt. 2021, 60, 5643–5651. [Google Scholar] [CrossRef] [PubMed]
- Tzankov, P.; Petrov, V. Effective second-order nonlinearity in acentric optical crystals with low symmetry. Appl. Opt. 2005, 44, 6971–6985. [Google Scholar] [CrossRef]
- Mamrashev, A.; Minakov, F.; Maximov, L.; Nikolaev, N.; Chapovsky, P. Correction of Optical Delay Line Errors in Terahertz Time-Domain Spectroscopy. Electronics 2019, 8, 1408. [Google Scholar] [CrossRef]
- Mamrashev, A.A.; Nikolaev, N.A.; Kuznetsov, S.A.; Gelfand, A.V. Broadband metal-grid polarizers on polymeric films for terahertz applications. In AIP Conference Proceedings, Proceedings of the 5th International Conference on Metamaterials and Nanophotonics Metanano 2020, St. Petersburg, Russia, 14–18 September 2020; AIP Publishing LLC: Melville, NY, USA, 2020; Volume 2300, p. 020083. [Google Scholar]
- Mamrashev, A.; Minakov, F.; Nikolaev, N.; Antsygin, V. Terahertz Time-Domain Polarimetry for Principal Optical Axes of Anisotropic Crystals. Photonics 2021, 8, 213. [Google Scholar] [CrossRef]
- Duvillaret, L.; Garet, F.; Coutaz, J.-L. A reliable method for extraction of material parameters in terahertz time-domain spectroscopy. IEEE J. Sel. Top. Quantum Electron. 1996, 2, 739–746. [Google Scholar] [CrossRef]
- Naftaly, M. Terahertz Metrology; Naftaly, M., Ed.; Artech House: Boston, MA, USA; London, UK, 2015; ISBN 9781608077779. [Google Scholar]
- Liu, J.; Zhang, X.C. Birefringence and absorption coefficients of alpha barium borate in terahertz range. J. Appl. Phys. 2009, 106, 023107. [Google Scholar] [CrossRef]
- Xia, H.R.; Li, L.X.; Teng, B.; Zheng, W.Q.; Lu, G.W.; Jiang, H.D.; Wang, J.Y. Raman scattering from bismuth triborate. J. Raman Spectrosc. 2002, 33, 278–282. [Google Scholar] [CrossRef]
- Kasprowicz, D.; Runka, T.; Szybowicz, M.; Ziobrowski, P.; Majchrowski, A.; Michalski, E.; Drozdowski, M. Characterization of bismuth triborate single crystal using Brillouin and Raman spectroscopy. Cryst. Res. Technol. 2005, 40, 459–465. [Google Scholar] [CrossRef]
- Umemura, N.; Miyata, K.; Kato, K. New data on the optical properties of BiB3O6. Opt. Mater. 2007, 30, 532–534. [Google Scholar] [CrossRef]
- Nazarov, M.M.; Sarkisov, S.Y.; Shkurinov, A.P.; Tolbanov, O.P. Efficient terahertz generation in GaSe via eee-interaction type. In Proceedings of the 2011 International Conference on Infrared, Millimeter, and Terahertz Waves, Houston, TX, USA, 2–7 October 2011; pp. 1–2. [Google Scholar]
- Powers, P.E. Field Guide to Nonlinear Optics; SPIE: Bellingham, WA, USA, 2013; ISBN 9780819496362. [Google Scholar]
- Schneider, A.; Neis, M.; Stillhart, M.; Ruiz, B.; Khan, R.U.A.; Günter, P. Generation of terahertz pulses through optical rectification in organic DAST crystals: Theory and experiment. J. Opt. Soc. Am. B 2006, 23, 1822–1835. [Google Scholar] [CrossRef]









| Principle Axis (ni) | T (°C) | T (K) | Ai (a.u.) | Bi (a.u.) | Ci (µm2) |
|---|---|---|---|---|---|
| nx | −196 | 77 | 4.888 | 0.720 | 3532 |
| 22 | 295 | 4.940 | 0.700 | 3777 | |
| 110 | 383 | 4.979 | 0.690 | 3841 | |
| 200 | 473 | 5.028 | 0.678 | 3881 | |
| ny | −196 | 77 | 6.326 | 1.004 | 6808 |
| 22 | 295 | 6.372 | 0.992 | 7100 | |
| 110 | 383 | 6.409 | 0.985 | 7477 | |
| 200 | 473 | 6.463 | 0.977 | 7646 | |
| nz | −196 | 77 | 7.569 | 6.492 | 6345 |
| 22 | 295 | 7.610 | 6.456 | 6515 | |
| 110 | 383 | 7.630 | 6.480 | 6410 | |
| 200 | 473 | 7.658 | 6.506 | 7020 |
| Principle Axis (ni) | dAi × 105 (K−1) | dBi × 104 (K−1) | dCi (µm2·K−1) |
|---|---|---|---|
| nx | 0.127∙T + 0.69 | −1.053 | 0.91 |
| ny | 0.155∙T − 8.30 | −0.667 | 2.16 |
| nz | 21.9 | 0.214 | 1.33 |
Disclaimer/Publisher’s Note: The statements, opinions and data contained in all publications are solely those of the individual author(s) and contributor(s) and not of MDPI and/or the editor(s). MDPI and/or the editor(s) disclaim responsibility for any injury to people or property resulting from any ideas, methods, instructions or products referred to in the content. |
© 2023 by the authors. Licensee MDPI, Basel, Switzerland. This article is an open access article distributed under the terms and conditions of the Creative Commons Attribution (CC BY) license (https://creativecommons.org/licenses/by/4.0/).
Share and Cite
Ezhov, D.; Nikolaev, N.; Antsygin, V.; Bychkova, S.; Andreev, Y.; Svetlichnyi, V. Temperature-Dependent Optical Properties of Bismuth Triborate Crystal in the Terahertz Range: Simulation of Terahertz Generation by Collinear Three-Wave Mixing in the Main Crystal Planes. Photonics 2023, 10, 713. https://doi.org/10.3390/photonics10070713
Ezhov D, Nikolaev N, Antsygin V, Bychkova S, Andreev Y, Svetlichnyi V. Temperature-Dependent Optical Properties of Bismuth Triborate Crystal in the Terahertz Range: Simulation of Terahertz Generation by Collinear Three-Wave Mixing in the Main Crystal Planes. Photonics. 2023; 10(7):713. https://doi.org/10.3390/photonics10070713
Chicago/Turabian StyleEzhov, Dmitry, Nazar Nikolaev, Valery Antsygin, Sofia Bychkova, Yury Andreev, and Valery Svetlichnyi. 2023. "Temperature-Dependent Optical Properties of Bismuth Triborate Crystal in the Terahertz Range: Simulation of Terahertz Generation by Collinear Three-Wave Mixing in the Main Crystal Planes" Photonics 10, no. 7: 713. https://doi.org/10.3390/photonics10070713
APA StyleEzhov, D., Nikolaev, N., Antsygin, V., Bychkova, S., Andreev, Y., & Svetlichnyi, V. (2023). Temperature-Dependent Optical Properties of Bismuth Triborate Crystal in the Terahertz Range: Simulation of Terahertz Generation by Collinear Three-Wave Mixing in the Main Crystal Planes. Photonics, 10(7), 713. https://doi.org/10.3390/photonics10070713

